A Fast Equalizer with Adaptive Balancing Current Control
Abstract
:1. Introduction
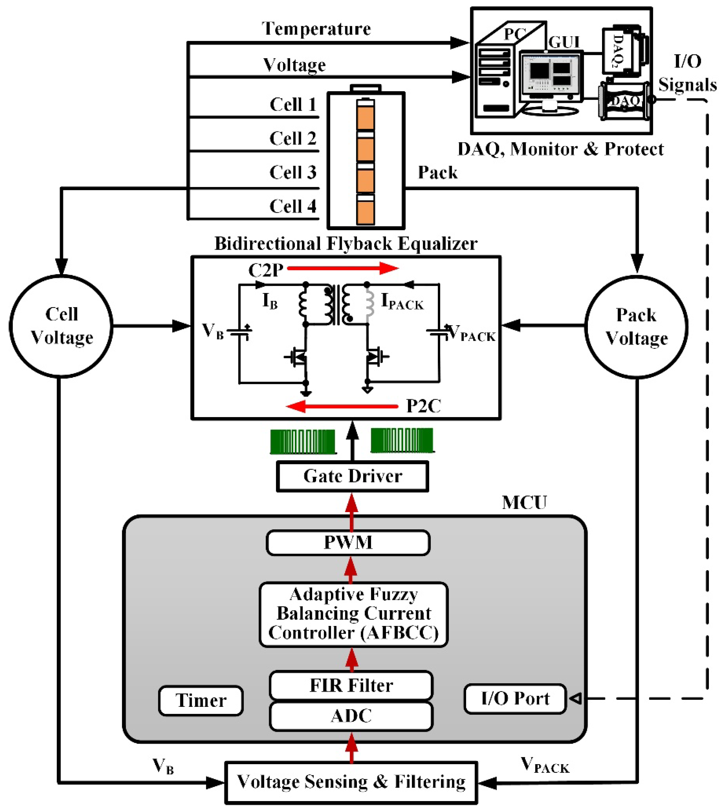
2. Equalizer Architecture and Operating Principle
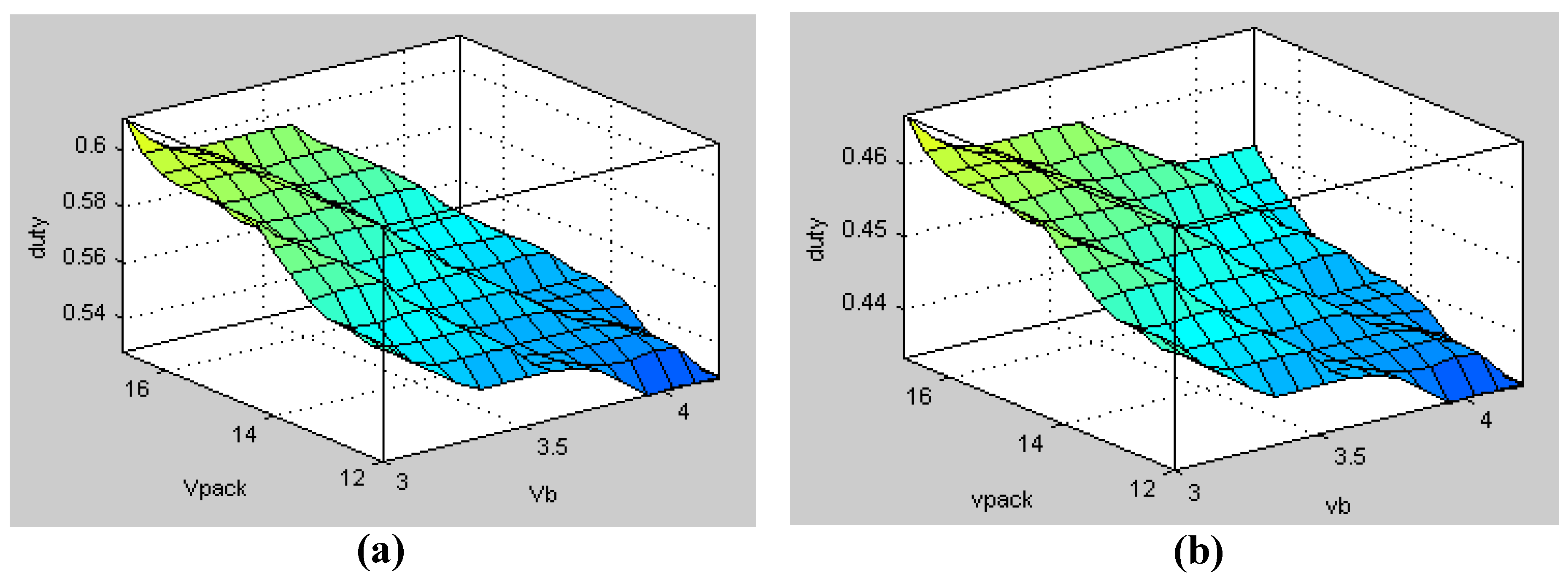
- C2P mode: when the voltage of any individual cell is higher than the averaged voltage of the whole pack, C2P mode is chosen. As shown in Figure 2a, in subinterval 1, the switch Q1 is turned on and Q2 is turned off. The cell energy is stored in the magnetization inductor Lm. In subinterval 2, the switch Q2 is turned on and Q1 is turned off as shown in Figure 2b. At this time, the energy stored in the magnetization inductor is transferred to the secondary winding to charge the battery pack.
- P2C mode: when the voltage of any individual cell is lower than the averaged voltage of the whole pack, P2C mode is adopted. As shown in Figure 3a, in the subinterval one, the switch Q2 is turned on and Q1 is turned off. The pack energizes the magnetization inductor Lm2. In subinterval two, as shown in Figure 3b, the switch Q1 is turned on and Q2 is turned off. At this time, the energy stored in the magnetization inductor is delivered to the primary winding to charge the cell.
3. Adaptive Fuzzy-Logic-Based Balancing Current Control
4. Experimental Results
5. Conclusions
Author Contributions
Acknowledgments
Conflicts of Interest
References
- Zanabria, C.; Tayyebi, A.; Pröstl Andrén, F.; Kathan, J.; Strasser, T. Engineering Support for Handling Controller Conflicts in Energy Storage Systems Applications. Energies 2017, 10, 1595. [Google Scholar] [CrossRef]
- Zhou, F.; Xiao, F.; Chang, C.; Shao, Y.; Song, C. Adaptive Model Predictive Control-Based Energy Management for Semi-Active Hybrid Energy Storage Systems on Electric Vehicles. Energies 2017, 10, 1063. [Google Scholar] [CrossRef]
- Hua, C.; Fang, Y.H. A charge equalizer with a combination of APWM and PFM control based on a modified half-bridge converter. IEEE Trans. Power Electron. 2016, 31, 2970–2979. [Google Scholar] [CrossRef]
- Guo, X.; Kang, L.; Huang, Z.; Yao, Y.; Yang, H. Research on a Novel Power Inductor-Based Bidirectional Lossless Equalization Circuit for Series-Connected Battery Packs. Energies 2015, 8, 5555–5576. [Google Scholar] [CrossRef]
- Baronti, F.; Bernardeschi, C.; Cassano, L.; Domenici, A.; Roncella, R.; Saletti, R. Design and safety verification of a distributed charge equalizer for modular Li-ion batteries. IEEE Trans. Ind. Inform. 2014, 10, 1003–1011. [Google Scholar] [CrossRef]
- Baronti, F.; Fantechi, G.; Roncella, R.; Saletti, R. High-efficiency digitally controlled charge equalizer for series-connected cells based on switching converter and super-capacitor. IEEE Trans. Ind. Inform. 2013, 9, 1139–1147. [Google Scholar] [CrossRef]
- Chatzakis, J.; Kalaitzakis, K.; Voulgaris, N.C.; Manias, S.N. Designing a new generalized battery management system. IEEE Trans. Ind. Electron. 2013, 50, 990–999. [Google Scholar] [CrossRef]
- Lim, C.-S.; Lee, K.-J.; Ku, N.-J.; Hyun, D.-S.; Kim, R.-Y. A modularized equalization method based on magnetizing energy for a series-connected lithium-ion battery string. IEEE Trans. Power Electron. 2014, 29, 1791–1799. [Google Scholar] [CrossRef]
- Liu, X.; Sun, Y.; He, Y.; Zheng, X.; Zeng, G.; Zhang, J. Battery Equalization by Flyback Transformers with Inductance, Capacitance and Diode Absorbing Circuits. Energies 2017, 10, 1482. [Google Scholar] [CrossRef]
- Wang, S.; Kang, L.; Guo, X.; Wang, Z.; Liu, M. A Novel Layered Bidirectional Equalizer Based on a Buck-Boost Converter for Series-Connected Battery Strings. Energies 2017, 10, 1011. [Google Scholar] [CrossRef]
- Wu, T.; Moo, C.; Hou, C. A Battery Power Bank with Series-Connected Buck–Boost-Type Battery Power Modules. Energies 2017, 10, 650. [Google Scholar] [CrossRef]
- Lin, J. Development of a New Battery Management System with an Independent Balance Module for Electrical Motorcycles. Energies 2017, 10, 1289. [Google Scholar] [CrossRef]
- Velho, R.; Beirão, M.; Calado, M.; Pombo, J.; Fermeiro, J.; Mariano, S. Management System for Large Li-Ion Battery Packs with a New Adaptive Multistage Charging Method. Energies 2017, 10, 605. [Google Scholar] [CrossRef]
- Lin, C.; Mu, H.; Zhao, L.; Cao, W. A New Data-Stream-Mining-Based Battery Equalization Method. Energies 2015, 8, 6543–6565. [Google Scholar] [CrossRef]
- Zhang, D.; Zhu, G.; He, S.; Qiu, S.; Ma, Y.; Wu, Q.; Chen, W. Balancing Control Strategy for Li-Ion Batteries String Based on Dynamic Balanced Point. Energies 2015, 8, 1830–1847. [Google Scholar] [CrossRef]
- Li, W.; Kang, L.; Guo, X.; Yao, Y. Multi-Objective Predictive Balancing Control of Battery Packs Based on Predictive Current. Energies 2016, 9, 298. [Google Scholar] [CrossRef]
- Gallardo-Lozano, J.; Romero-Cadaval, E.; Milanes-Montero, M.I.; Guerrero-Martinez, M.A. Review: Battery equalization active methods. J. Power Sources 2014, 246, 934–949. [Google Scholar] [CrossRef]
- Baronti, F.; Roncella, R.; Saletti, R. Performance comparison of active balancing techniques for lithium-ion batteries. J. Power Sources 2014, 267, 603–609. [Google Scholar] [CrossRef]
- Manenti, A.; Abba, A.; Merati, A.; Savaresi, S.; Geraci, A. A new BMS architecture based on cell redundancy. IEEE Trans. Ind. Electron. 2011, 58, 4314–4322. [Google Scholar] [CrossRef]
- Kim, M.Y.; Kim, J.H.; Moon, G.W. Center-cell concentration structure of a cell-to-cell balancing circuit with a reduced number of switches. IEEE Trans. Power Electron. 2014, 29, 5285–5297. [Google Scholar] [CrossRef]
- Lu, R.; Zhu, C.; Tian, L.; Wang, Q. Super-capacitor stacks management system with dynamic equalization techniques. IEEE Trans. Magn. 2007, 43, 254–258. [Google Scholar] [CrossRef]
- Ouyang, Q.; Chen, J.; Zheng, J.; Fang, H. Optimal Cell-to-Cell Balancing Topology Design for Serially Connected Lithium-Ion Battery Packs. IEEE Trans. Sustain. Energy 2017, 3029, 350–360. [Google Scholar] [CrossRef]
- Imtiaz, A.M.; Khan, F.H. Time shared flyback converter based regenerative cell balancing technique for series connected Li-ion battery strings. IEEE Trans. Power Electron. 2013, 28, 5960–5975. [Google Scholar] [CrossRef]
- Moo, C.; Hsieh, Y.; Tsai, I. Charge equalization for series-connected batteries. IEEE Trans. Aerosp. Electron. Syst. 2003, 39, 704–710. [Google Scholar] [CrossRef]
- Young, C.M.; Chu, N.Y.; Chen, L.R.; Hsiao, Y.C.; Li, C.Z. A single-phase multilevel inverter with battery balancing. IEEE Trans. Ind. Electron. 2013, 60, 1972–1978. [Google Scholar] [CrossRef]
- Kim, C.H.; Kim, M.Y.; Park, H.S.; Moon, G.W. A modularized two-stage charge equalizer with cell selection switches for series-connected Lithium-ion battery string in an HEV. IEEE Trans. Power Electron. 2012, 27, 3764–3774. [Google Scholar] [CrossRef]
- Zhang, C.; Shang, Y.; Li, Z.; Cui, N. An Interleaved Equalization Architecture with Self-Learning Fuzzy Logic Control for Series-Connected Battery Strings. IEEE Trans. Veh. Technol. 2017, 66, 10923–10934. [Google Scholar] [CrossRef]
- Yun, J.; Yeo, T.; Park, J. High efficiency active cell balancing circuit with soft-switching technique for series-connected battery string. In Proceedings of the IEEE Applied Power Electronics Conference and Exposition (APEC), Long Beach, CA, USA, 17–21 March 2013; pp. 3301–3304. [Google Scholar]
- Li, S.; Mi, C.; Zhang, M. A high-efficiency active battery-balancing circuit using multi-winding transformer. IEEE Trans. Ind. Appl. 2013, 49, 198–207. [Google Scholar] [CrossRef]
- Kim, C.H.; Kim, M.Y.; Moon, G.W. A modularized charge equalizer using a battery monitoring IC for series-connected Li-ion battery strings in electric vehicles. IEEE Trans. Power Electron. 2013, 28, 3779–3787. [Google Scholar] [CrossRef]
- Ye, Y.; Cheng, K. An Automatic Switched-Capacitor Cell Balancing Circuit for Series-Connected Battery Strings. Energies 2016, 9, 138. [Google Scholar] [CrossRef]
- Daowd, M.; Antoine, M.; Omar, N.; van den Bossche, P.; van Mierlo, J. Single Switched Capacitor Battery Balancing System Enhancements. Energies 2013, 6, 2149–2174. [Google Scholar] [CrossRef]
- Shang, Y.; Zhang, Q.; Cui, N.; Zhang, C. A Cell-to-Cell Equalizer Based on Three-Resonant-State Switched-Capacitor Converters for Series-Connected Battery Strings. Energies 2017, 10, 206. [Google Scholar] [CrossRef]
- Zhang, Z.; Gui, H.; Gu, D.J.; Yang, Y.; Ren, X. A hierarchical active balancing architecture for lithium-ion batteries. IEEE Trans. Power Electron. 2017, 32, 2757–2768. [Google Scholar] [CrossRef]
- Narayanaswamy, S.; Kauer, M.; Steinhorst, S.; Lukasiewycz, M.; Chakraborty, S. Modular Active Charge Balancing for Scalable Battery Packs. IEEE Trans. Very Large Scale Integr. Syst. 2017, 25, 974–987. [Google Scholar] [CrossRef]















| VPACK VB | L | ML | M | MH | H |
|---|---|---|---|---|---|
| H | L Rule1 | L Rule2 | ML Rule3 | ML Rule4 | M Rule5 |
| MH | L Rule6 | ML Rule7 | ML Rule8 | M Rule9 | M Rule10 |
| M | ML Rule11 | ML Rule12 | M Rule13 | M Rule14 | MH Rule15 |
| ML | ML Rule16 | M Rule17 | M Rule18 | MH Rule19 | MH Rule20 |
| L | M Rule21 | M Rule22 | MH Rule23 | MH Rule24 | H Rule25 |
| Item | Spec. | Item | Spec. |
|---|---|---|---|
| Turns ration (N1:N2) | 8:32 | Dead time | 0.83 (μs) |
| Switching frequency | 30 (kHz) | Magnetization inductance | 15 (μH) |
| Duty cycle range of C2P mode | 52%~62% | Leakage inductance | 1 (μH) |
| Duty cycle range of P2C mode | 43%~47% |
| Vcell | Before Equalization | After Equalization | |||||||
|---|---|---|---|---|---|---|---|---|---|
| Method | VB1 | VB2 | VB3 | VB4 | VB1 | VB2 | VB3 | VB4 | |
| FDC | 4.17 V | 3.94 V | 3.63 V | 3.44 V | 3.68 V | 3.68 V | 3.68 V | 3.67 V | |
| VDC | 4.17 V | 3.95 V | 3.62 V | 3.46 V | 3.71 V | 3.70 V | 3.69 V | 3.69 V | |
| AFBCC | 4.17 V | 3.94 V | 3.63 V | 3.44 V | 3.72 V | 3.71 V | 3.71 V | 3.70 V | |
| SOC | Before Equalization | After Equalization | |||||||
|---|---|---|---|---|---|---|---|---|---|
| Method | SOC1 | SOC2 | SOC3 | SOC4 | SOC1 | SOC2 | SOC3 | SOC4 | |
| FDC | 100% | 81% | 48% | 20% | 54% | 54% | 54% | 53% | |
| VDC | 100% | 82% | 46% | 22% | 56% | 55% | 55% | 55% | |
| AFBCC | 100% | 81% | 48% | 20% | 56% | 56% | 56% | 55% | |
| Method | Before Equalization | After Equalization | Results | |||
|---|---|---|---|---|---|---|
| ΔVdiff | Total SOC | ΔVdiff | Total SOC | Time (min) | Balancing Efficiency (%) | |
| FDC | 730 mV | 249% | 20 mV | 215% | 92 | 86.3% |
| VDC | 708 mV | 250% | 20 mV | 222% | 74 | 88.8% |
| AFBCC | 724 mV | 249% | 20 mV | 223% | 58 | 89.6% |
© 2018 by the authors. Licensee MDPI, Basel, Switzerland. This article is an open access article distributed under the terms and conditions of the Creative Commons Attribution (CC BY) license (http://creativecommons.org/licenses/by/4.0/).
Share and Cite
Wang, S.-C.; Liu, C.-Y.; Liu, Y.-H. A Fast Equalizer with Adaptive Balancing Current Control. Energies 2018, 11, 1052. https://doi.org/10.3390/en11051052
Wang S-C, Liu C-Y, Liu Y-H. A Fast Equalizer with Adaptive Balancing Current Control. Energies. 2018; 11(5):1052. https://doi.org/10.3390/en11051052
Chicago/Turabian StyleWang, Shun-Chung, Chun-Yu Liu, and Yi-Hua Liu. 2018. "A Fast Equalizer with Adaptive Balancing Current Control" Energies 11, no. 5: 1052. https://doi.org/10.3390/en11051052
APA StyleWang, S.-C., Liu, C.-Y., & Liu, Y.-H. (2018). A Fast Equalizer with Adaptive Balancing Current Control. Energies, 11(5), 1052. https://doi.org/10.3390/en11051052

