Long-Term Electricity Load Forecasting Considering Volatility Using Multiplicative Error Model
Abstract
1. Introduction
- Firstly, moving towards a greener future is accredited with development in new technology and the integration of renewable energy into primary grid while discarding fossil fuels is becoming important. In the Paris Agreement 2016 [1], it was agreed upon to move towards renewable energy from the more conventional energy. Such a move is realized with an accurate and reliable forecast of the electrical energy demand. Despite advancements in battery technology, storing energy for the long-term purpose is not the viable option. Thus, accurate and reliable forecasting is required for planning the right tools.
- Secondly, considerable changes in weather factors, like temperature, rainfall, and hot/cold days. Any change in climatic variables will have a direct impact on the demand pattern. Erratic weather events posed due to climate change pose some serious burden on forecasters to accurately model load growth when considering the long-term horizon.
- Thirdly, maintaining the security of supply during the energy transition. In today’s date, existing grids are performing under stress to deliver the growing demand in the presence of variable stochastic renewable energy sources.
- Lastly, black swan events, like the great economic recession of 2008, jolted the economic backbone of many countries. Its effect was widespread and energy investment worldwide plunged into tougher financing environment and weakening final demand for energy [2]. This reminds the importance to study the financial aspects of long-term forecasting by energy forecasters in electric utilities.
- Reviews recent advancement in long-term electricity load forecasting in terms of techniques and models developed.
- Provides a comprehensive and critical evaluation of long-term electricity load forecasting while considering historical volatility.
- Proposes the use of multiplicative error model (MEM) to model conditional mean and to forecast aggregated zonal monthly load. In this research, we consider a forecast horizon of four years as a solution for electric utilities and planners based on the fact that construction of offshore wind farms takes approximately 3–4 years depending on the capacity [3].
2. Background on Long-Term Electricity Load Forecast
3. Multiplicative Error Model for Long-Term Electricity Load Forecast
4. Forecast Methodology Considering Real Data
4.1. Database Generation
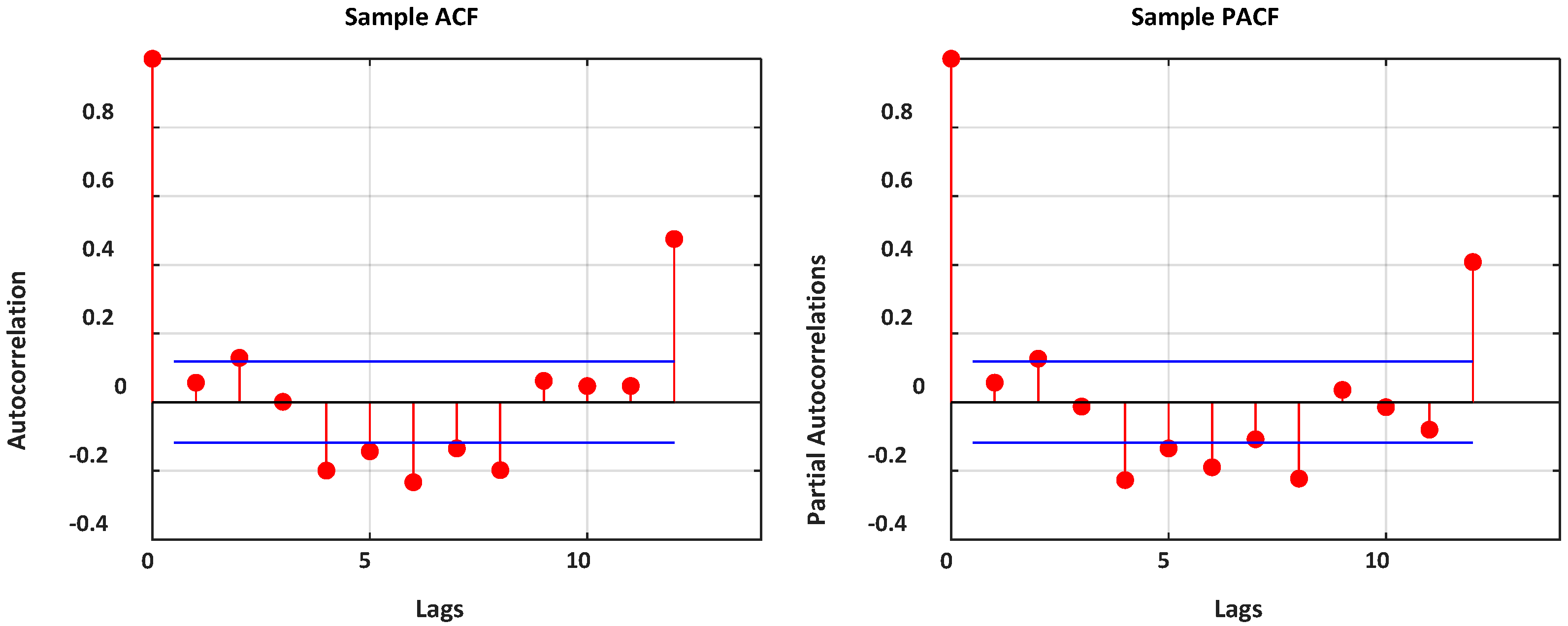
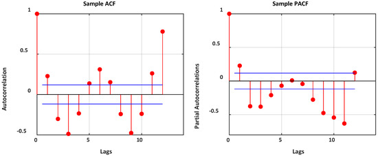
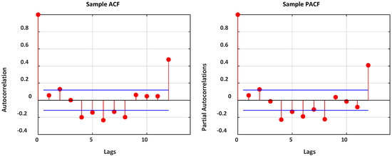
4.2. Stationarity and Autocorrelation Test
4.3. Volatility Check and Multiplicative Error Modeling
5. Results and Analysis
5.1. In-Sample Model Fit and Out-of-Sample Forecast
5.2. Directional Accuracy of Forecast Methodology
6. Conclusions
Author Contributions
Funding
Conflicts of Interest
References
- Available online: http://unfccc.int/paris_agreement/items/9485.php (accessed on 20 July 2018).
- Available online: https://www.iea.org/publications/freepublications/publication/impact.pdf (accessed on 20 July 2018).
- Khuntia, S.R.; Tuinema, B.W.; Rueda, J.L.; van der Meijden, M.A.M.M. Time-horizons in the planning and operation of transmission networks: An overview. IET Gen. Trans. Distr. 2016, 10, 841–848. [Google Scholar] [CrossRef]
- Khuntia, S.R.; Rueda, J.L.; van der Meijden, M.A.M.M. Forecasting the load of electrical power systems in mid-and long-term horizons: A review. IET Gen. Trans. Distr. 2016, 10, 3971–3977. [Google Scholar] [CrossRef]
- Hong, T. Energy forecasting: Past, present, and future. Foresight 2014, 32, 43–48. [Google Scholar]
- Feinberg, E.A.; Genethliou, D. Load Forecasting; Springer: New York, NY, USA, 2005. [Google Scholar]
- Hong, T.; Fan, S. Probabilistic electric load forecasting: A tutorial review. Int. J. Forecast. 2016, 32, 914–938. [Google Scholar] [CrossRef]
- Hong, T.; Wilson, J.; Xie, J. Long term probabilistic load forecasting and normalization with hourly information. IEEE Trans. Smart Grid 2014, 5, 456–462. [Google Scholar] [CrossRef]
- Saab, S.; Badr, E.; Nasr, G. Univariate modeling and forecasting of energy consumption: The case of electricity in Lebanon. Energy 2001, 26, 1–14. [Google Scholar] [CrossRef]
- Mohamed, Z.; Bodger, P. Forecasting electricity consumption in New Zealand using economic and demographic variables. Energy 2005, 30, 1833–1843. [Google Scholar] [CrossRef]
- Kandil, M.S.; El-Debeiky, S.M.; Hasanien, N.E. The implementation of long-term forecasting strategies using a knowledge-based expert system: Part-II. Elect. Power Syst. Res. 2001, 58, 19–25. [Google Scholar] [CrossRef]
- Ekonomou, L. Greek long-term energy consumption prediction using artificial neural networks. Energy 2010, 35, 512–517. [Google Scholar] [CrossRef]
- Abou El-Ela, A.A.; El-Zeftawy, A.A.; Allam, S.M.; Atta, G.M. Long-term load forecasting and economical operation of wind farms for Egyptian electrical network. Elect. Power Syst. Res. 2009, 79, 1032–1037. [Google Scholar] [CrossRef]
- Xia, C.; Wang, J.; McMenemy, K. Short, medium and long term load forecasting model and virtual load forecaster based on radial basis function neural networks. Int. J. Electr. Power Energy Syst. 2010, 32, 743–750. [Google Scholar] [CrossRef]
- Chen, T. A collaborative fuzzy-neural approach for long-term load forecasting in Taiwan. Comput. Ind. Eng. 2012, 63, 663–670. [Google Scholar] [CrossRef]
- Padmakumari, K.; Mohandas, K.P.; Thiruvengadam, S. Long term distribution demand forecasting using neuro fuzzy computations. Int. J. Electr. Power Energy Syst. 1999, 21, 315–322. [Google Scholar] [CrossRef]
- Chiodo, E.; Lauria, D. Probabilistic description and prediction of electric peak power demand. In Proceedings of the 2012 Electrical Systems for Aircraft, Railway and Ship Propulsion, Bologna, Italy, 16–18 October 2012. [Google Scholar]
- Rivero, C.R.; Sauchelli, V.; Daniel Patiño, H.; Pucheta, J.A.; Laboret, S. Long-term power consumption demand prediction: A comparison of energy associated and Bayesian modeling approach. In Proceedings of the 2015 Latin America Congress on Computational Intelligence (LA-CCI), Curitiba, Brazil, 13–16 October 2015. [Google Scholar]
- Hong, W.C. Electric load forecasting by support vector model. Appl. Math. Model. 2009, 33, 2444–2454. [Google Scholar] [CrossRef]
- Jianjun, W.; Li, L.; Ding, L. Application of SVR with backtracking search algorithm for long-term load forecasting. J. Intell. Fuzzy Syst. 2016, 31, 2341–2347. [Google Scholar] [CrossRef]
- Pai, P.F.; Hong, W.C. Support vector machines with simulated annealing algorithms in electricity load forecasting. Energy Convers. Manag. 2005, 46, 2669–2688. [Google Scholar] [CrossRef]
- Karabulut, K.; Alkan, A.; Yilmaz, A.S. Long term energy consumption forecasting using genetic programming. Math. Comput. Appl. 2008, 13, 71–80. [Google Scholar] [CrossRef]
- Li, H.Z.; Guo, S.; Li, C.J.; Sun, J.Q. A hybrid annual power load forecasting model based on generalized regression neural network with fruit fly optimization algorithm. Knowl-Based Syst. 2013, 37, 378–387. [Google Scholar] [CrossRef]
- Abdi, H.; Beigvand, S.D. Long-term load forecasting based on gravitational search algorithm. J. Intell. Fuzzy Syst. 2016, 30, 3633–3643. [Google Scholar] [CrossRef]
- Unler, A. Improvement of energy demand forecasts using swarm intelligence: The case of Turkey with projections to 2025. Energy Policy 2008, 36, 1937–1944. [Google Scholar] [CrossRef]
- AlRashidi, M.R.; El-Naggar, K.M. Long term electric load forecasting based on particle swarm optimization. Appl. Energy 2010, 87, 320–326. [Google Scholar] [CrossRef]
- Meng, M.; Niu, D. Annual electricity consumption analysis and forecasting of China based on few observations methods. Energy Convers. Manag. 2011, 52, 953–957. [Google Scholar] [CrossRef]
- Sun, J.W. Energy demand in the fifteen European Union countries by 2010—A forecasting model based on the decomposition approach. Energy 2001, 26, 549–560. [Google Scholar] [CrossRef]
- Moral-Carcedo, J.; Pérez-García, J. Integrating long-term economic scenarios into peak load forecasting: An application to Spain. Energy 2017, 140, 682–695. [Google Scholar] [CrossRef]
- Angelopoulos, D.; Psarras, J.; Siskos, Y. Long-term electricity demand forecasting via ordinal regression analysis: The case of Greece. In Proceedings of the IEEE PowerTech, Manchester, UK, 18–22 June 2017. [Google Scholar]
- Yumurtaci, Z.; Asmaz, E. Electric energy demand of Turkey for the year 2050. Energy Source 2004, 26, 1157–1164. [Google Scholar] [CrossRef]
- Dilaver, Z.; Hunt, L.C. Turkish aggregate electricity demand: An outlook to 2020. Energy 2011, 36, 6686–6696. [Google Scholar] [CrossRef]
- Hamzacebi, C.; Es, H.A. Forecasting the annual electricity consumption of Turkey using an optimized grey model. Energy 2014, 70, 165–171. [Google Scholar] [CrossRef]
- Kaboli, S.H.A.; Fallahpour, A.; Selvaraj, J.; Rahim, N.A. Long-term electrical energy consumption formulating and forecasting via optimized gene expression programming. Energy 2017, 126, 144–164. [Google Scholar] [CrossRef]
- Zareipour, H.; Bhattacharya, K.; Canizares, C. Electricity market price volatility: The case of Ontario. Energy Policy 2007, 35, 4739–4748. [Google Scholar] [CrossRef]
- Benini, M.; Marracci, M.; Pelacchi, P.; Venturini, A. Day-ahead market price volatility analysis in deregulated electricity markets. In Proceedings of the 2002 IEEE Power Engineering Society Summer Meeting, Chicago, IL, USA, 25 July 2002. [Google Scholar]
- Auer, B.R. How does Germany’s green energy policy affect electricity market volatility? An application of conditional autoregressive range models. Energy Policy 2016, 98, 621–628. [Google Scholar] [CrossRef]
- Boland, J.; Filar, J.A.; Mohammadian, G.; Nazari, A. Australian electricity market and price volatility. Ann. Oper. Res. 2016, 241, 357–372. [Google Scholar] [CrossRef]
- Li, Y.; Flynn, P.C. Deregulated power prices: Comparison of volatility. Energy Policy 2004, 32, 1591–1601. [Google Scholar] [CrossRef]
- Simonsen, I. Volatility of power markets. Phys. Stat. Mech. Appl. 2005, 335, 10–20. [Google Scholar] [CrossRef]
- Khuntia, S.R.; Rueda, J.L.; van der Meijden, M.A.M.M. Volatility in electrical load forecasting for long-term horizon—An ARIMA-GARCH approach. In Proceedings of the IEEE PMAPS, Beijing, China, 16–20 October 2016. [Google Scholar]
- Available online: https://www.thebalance.com/volatility-definition-and-types-3305968 (accessed on 17 October 2018).
- Engle, R.F. New frontiers for ARCH models. J. Appl. Econom. 2002, 17, 425–446. [Google Scholar] [CrossRef]
- Engle, R.F.; Russell, J.R. Autoregressive conditional duration: A new model for irregularly spaced transaction data. Econometrica 1998, 66, 1127–1162. [Google Scholar] [CrossRef]
- Lanne, M. A mixture multiplicative error model for realized volatility. J. Financ. Econom. 2006, 4, 594–616. [Google Scholar] [CrossRef]
- Han, H.; Park, M.D.; Zhang, S. A multiplicative error model with heterogeneous components for forecasting realized volatility. J. Forecast. 2015, 34, 209–219. [Google Scholar] [CrossRef]
- Caporin, M.; Rossi, E.; de Magistris, P.S. Chasing volatility: A persistent multiplicative error model with jumps. J. Econom. 2017, 198, 122–145. [Google Scholar] [CrossRef]
- Box, G.E.; Jenkins, G.M.; Reinsel, G.C. Time Series Analysis: Forecasting and Control; John Wiley & Sons: Hoboken, NJ, USA, 2011. [Google Scholar]
- Available online: http://www.pjm.com/markets-and-operations/ops-analysis/ (accessed on 20 July 2018).
- National Bureau of Economic Research (NBER). Business Cycle Expansions and Contractions. Available online: http://www.nber.org/cycles/cyclesmain.html (accessed on 20 July 2018).
- Elder, J.; Kennedy, P.E. Testing for unit roots: What should students be taught? J. Econ. Educ. 2001, 32, 137–146. [Google Scholar] [CrossRef]
- Ng, S.; Perron, P. Lag length selection and the construction of unit root tests with good size and power. Econometrica 2001, 69, 1519–1554. [Google Scholar] [CrossRef]
- Haldrup, N.; Jansson, M. Improving Size and Power in Unit Root Testing; Aarhus University Economics Paper No. 2005-02; Aarhus University: Aarhus, Denmark, 2005. [Google Scholar]
- Available online: http://people.bu.edu/perron/code.html (accessed on 6 October 2018).
- Johnson, A.C., Jr.; Johnson, M.B.; Buse, R.C. Econometrics: Basic and Applied; Academic Press: New York, NY, USA, 1987; p. 90. [Google Scholar]
- Ljung, G.M.; Box, G.E. On a measure of lack of fit in time series models. Biometrika 1978, 65, 297–303. [Google Scholar] [CrossRef]
- Brock, W.; Scheinkman, J.A.; Dechert, W.D.; LeBaron, B. A test for independence based on the correlation dimension. Econom. Rev. 1996, 15, 197–235. [Google Scholar] [CrossRef]
- Zivot, E.; Wang, J. Modeling Financial Time Series with S-PLUS; Springer: New York, NY, USA, 2007. [Google Scholar]
- Kanzler, L. BDS: MATLAB Module to Calculate Brock, Dechert & Scheinkman Test for Independence; Statistical Software Components T871803; Boston College Department of Economics: Chestnut Hill, MA, USA, 1998. [Google Scholar]
- Ahoniemi, K. Modeling and Forecasting Implied Volatility—An Econometric Analysis of the VIX Index; Working Paper; Helsinki Center of Economic Research: Helsinki, Finland, 2006. [Google Scholar]
- Bollerslev, T. Generalized autoregressive conditional heteroskedasticity. J. Econom. 1986, 31, 307–327. [Google Scholar] [CrossRef]
- Brooks, C.; Oozeer, M.C. Modelling the implied volatility of options on long gilt futures. J. Bus. Financ. Acc. 2002, 29, 111–137. [Google Scholar] [CrossRef]
- Armstrong, J.S.; Collopy, F. Error measures for generalizing about forecasting methods: Empirical comparisons. Inter. J. Forecast. 1992, 8, 69–80. [Google Scholar] [CrossRef]
- Hansen, P.R.; Timmermann, A. Choice of Sample Split in Out-of-Sample Forecast Evaluation; Working Paper; Stanford University: Stanford, CA, USA, 2012. [Google Scholar]
- Jarque, C.M.; Bera, A.K. A test for normality of observations and regression residuals. Int. Stat. Rev. 1987, 55, 163–172. [Google Scholar] [CrossRef]
- Taleb, N.N. Black swans and the domains of statistics. Am. Stat. 2007, 61, 198–200. [Google Scholar] [CrossRef]












| Original | Differenced | |
|---|---|---|
| Mean | 154,581.1 | 53.40888 |
| Max | 215,379.9 | 45,842.8 |
| Min | 123,786.5 | −49,286.9 |
| Median | 149,928.9 | 433.1667 |
| Standard Deviation | 20,514.4 | 17,879.6 |
| Skewness | 1.015012 | −0.10097 |
| Extra Kurtosis | 3.449577 | 3.005507 |
| Parameter | MEM Values | Standard Errors | t-Statistic |
|---|---|---|---|
| 1.368271 × 107 | 0.000153268 | 7.22314 × 1010 | |
| 0.703561 | 0.012491 | 40.1238 | |
| 0.0241376 | 0.0201932 | 1.5713 |
© 2018 by the authors. Licensee MDPI, Basel, Switzerland. This article is an open access article distributed under the terms and conditions of the Creative Commons Attribution (CC BY) license (http://creativecommons.org/licenses/by/4.0/).
Share and Cite
Khuntia, S.R.; Rueda, J.L.; Van der Meijden, M.A.M.M. Long-Term Electricity Load Forecasting Considering Volatility Using Multiplicative Error Model. Energies 2018, 11, 3308. https://doi.org/10.3390/en11123308
Khuntia SR, Rueda JL, Van der Meijden MAMM. Long-Term Electricity Load Forecasting Considering Volatility Using Multiplicative Error Model. Energies. 2018; 11(12):3308. https://doi.org/10.3390/en11123308
Chicago/Turabian StyleKhuntia, Swasti R., Jose L. Rueda, and Mart A.M.M. Van der Meijden. 2018. "Long-Term Electricity Load Forecasting Considering Volatility Using Multiplicative Error Model" Energies 11, no. 12: 3308. https://doi.org/10.3390/en11123308
APA StyleKhuntia, S. R., Rueda, J. L., & Van der Meijden, M. A. M. M. (2018). Long-Term Electricity Load Forecasting Considering Volatility Using Multiplicative Error Model. Energies, 11(12), 3308. https://doi.org/10.3390/en11123308

