Densities for Ternary System of CaCl2–H2O–CO2 at Elevated P-T: An Experimental and Modeling Approach
Abstract
:1. Introduction
2. Experimental Work
2.1. Materials
2.2. Apparatus and Procedures
3. Model Development
3.1. Pure Water Density
3.2. CaCl2 Solution Density
3.3. CO2–H2O Density
3.4. CO2–CaCl2–H2O Density
4. Results and Discussion
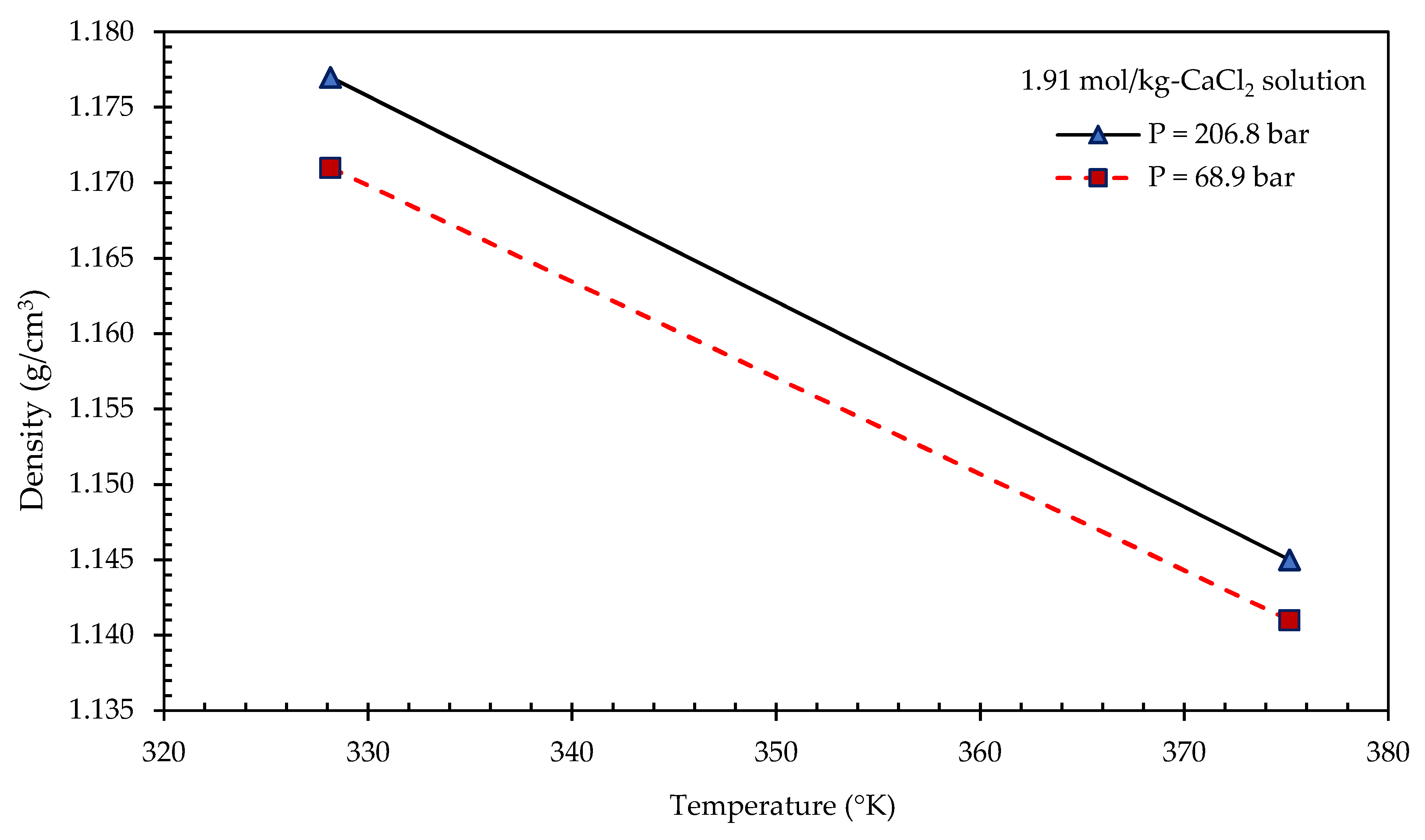
4.1. Experimental Results
4.2. CaCl2 Solution Density
4.3. CO2–H2O Density
4.4. CO2–CaCl2–H2O Density
5. Conclusions
- An experimental apparatus was designed and fabricated to measure density of 0, 1.91, and 4.85 mol/kg CaCl2 solutions saturated with CO2 at 328.15 to 375.15 °K and 68.9 to 206.8 Bar. The experimental data showed that solution density increases with addition of CO2. The solution density also increases with increase in CaCl2 solution concentration, increase in pressure, and decrease in temperature. However, the effect of CaCl2 solution concentration on density alteration was notable compared with the effect of pressure and temperature.
- We developed a new model for estimation of density of the CO2–CaCl2–H2O CaCl2 system (Equation (11)) based on the experimental data generated in this study. Comparing the deviations between the experimental data and the new model and the models proposed by Bachu and Adams [24] and Bando et al. [23] showed that the new model performs 34% and 41% better than these two models, respectively. For the new model, the average and maximum absolute deviation between experiments and the estimates are 0.0047 and 0.0036, respectively.
- The new model can be applied in various areas such as geological CO2 sequestration to evaluate capacity of saline aquifers for CO2 storage, as well as for a more accurate simulation of CO2 sequestration. Moreover, it can be used to further understand physics of matrix acidizing in limestone reservoirs such as interaction between rock and the CO2–CaCl2–H2O system.
Author Contributions
Funding
Acknowledgments
Conflicts of Interest
References
- Gomez, J.N. Design, Set-Up and Testing of a Matrix Acidizing Apparatus. Master’s Thesis, Texas A&M University, College Station, TX, USA, 2006. [Google Scholar]
- Umer Shafiq, M.; Ben Mahmud, H.K.; Rezaee, R.; Testamanti, N. Investigation of changing pore topology and porosity during matrix acidizing using different chelating agents. IOP Conf. Ser. Mater. Sci. Eng. 2017. [Google Scholar] [CrossRef]
- Bastami, A.; Pourafshary, P. Development of a new model for carbonate matrix acidizing to consider the effects of spent acid. ASME J. Energy Resour. Technol. 2016, 138. [Google Scholar] [CrossRef]
- Dubacq, B.; Bickle, M.J.; Evans, K.A. An activity model for phase equilibria in the H2O–CO2–NaCl system. Geochim. Cosmochim. Acta 2013, 110, 229–252. [Google Scholar] [CrossRef]
- Iglauer, S. Dissolution trapping of carbon dioxide in reservoir formation brine—A carbon storage mechanism. In Mass Transfer; InTech: Rijeka, Croatia, 2011. [Google Scholar]
- Mohamed, I.; He, J.; Nasr-El-Din, H.A. Effect of brine composition on CO2/limestone rock interactions during CO2 sequestration. JPSR 2013, 2, 14–26. [Google Scholar]
- Hassanzadeh, H.; Pooladi-Darvish, M.; Elsharkawy, A.M.; Keith, D.W.; Leonenko, Y. Predicting PVT data for CO2–brine mixtures for black-oil simulation of CO2 geological storage. Int. J. Greenh. Gas Control 2008, 2, 65–77. [Google Scholar] [CrossRef]
- Ghomian, Y.; Pope, G.A.; Sepehrnoori, K. Reservoir simulation of CO2 sequestration pilot in Frio brine formation, USA Gulf Coast. Energy 2008, 33, 1055–1067. [Google Scholar] [CrossRef]
- Savioli, G.B.; Santos, J.E. Modeling of CO2 storage in aquifers. J. Phys. Conf. Ser. 2011, 296, 012021. [Google Scholar] [CrossRef]
- Tabasinejad, F.; Barzin, Y.; Moore, R.; Mehta, S.; Van Fraassen, K.; Rushing, J.; Newsham, K. Water/CO2 system at high pressure and temperature conditions—Measurement and modeling of density in equilibrium liquid and vapor phases. In Proceedings of the EUROPEC/EAGE Annual Conference and Exhibition, Barcelona, Spain, 14–17 June 2010. [Google Scholar]
- Goodarzi, S.; Settari, A.; Keith, D. Geomechanical modeling for CO2 storage in Nisku aquifer in Wabamun Lake area in Canada. Int. J. Greenh. Gas Control 2012, 10, 113–122. [Google Scholar] [CrossRef]
- Ziabakhsh-Ganji, Z.; Kooi, H. An equation of state for thermodynamic equilibrium of gas mixtures and brines to allow simulation of the effects of impurities in subsurface CO2 storage. Int. J. Greenh. Gas Control 2012, 11S, 21–34. [Google Scholar] [CrossRef]
- Nighswander, J.A.; Kalogerakis, N.; Mehrotra, A.K. Solubilities of carbon dioxide in water and 1 wt.% sodium chloride solution at pressures up to 10 MPa and temperatures from 80 to 200 °C. J. Chem. Eng. Data 1989, 34, 355–360. [Google Scholar] [CrossRef]
- King, M.B.; Mubarak, A.; Kim, J.D.; Bott, T.R. The mutual solubilities of water with supercritical and liquid carbon dioxides. J. Supercrit. Fluids 1992, 5, 296–302. [Google Scholar] [CrossRef]
- Fenghour, A.; Wakeham, W.A.; Watson, J.T.R. Densities of (water + carbon dioxide) in the temperature range 415 K to 700 °K and pressures up to 35 MPa. J. Chem. Thermodyn. 1996, 28, 433–446. [Google Scholar] [CrossRef]
- Teng, H.; Yamasaki, A.; Chun, M.K.; Lee, H. Solubility of liquid CO2 in water at temperatures from 278 °K to 293 °K and pressures from 6.44 MPa to 29.49 MPa and densities of the corresponding aqueous solutions. J. Chem. Thermodyn. 1997, 29, 1301–1310. [Google Scholar] [CrossRef]
- Yaginuma, R.; Sato, Y.; Kodama, D.; Tanaka, H.; Kato, M. Saturated densities of carbon dioxide + water mixture at 304.1 K and pressures to 10 MPa. J. Jpn. Inst. Energy 2000, 79, 144–146. [Google Scholar] [CrossRef]
- Tegetmeier, A.; Dittmar, D.; Fredenhagen, A.; Eggers, R. Density and volume of water and triglyceride mixtures in contact with carbon dioxide. Chem. Eng. Process 2000, 39, 399–405. [Google Scholar] [CrossRef]
- Song, Y.; Nishio, M.; Chen, B.; Someya, S.; Ohsumi, T. Measurement on CO2 solution density by optical technology. J. Vis. 2003, 6, 41–51. [Google Scholar] [CrossRef]
- Li, Z.; Dong, M.; Li, S.; Dai, L. Densities and solubilities for binary systems of carbon dioxide + water and carbon dioxide + brine at 59 °C and pressures to 29 MPa. J. Chem. Eng. Data 2004, 49, 1026–1031. [Google Scholar] [CrossRef]
- Hebach, A.; Oberhof, A.; Dahmen, N. Density of water + carbon dioxide at elevated pressures: Measurements and correlation. J. Chem. Eng. Data 2004, 49, 950–953. [Google Scholar] [CrossRef]
- Song, Y.; Jian, W.; Zhang, Y.; Yang, M.; Zhao, J.; Liu, W.; Shen, Y. Density measurement and PC-SAFT/tPC-PSAFT modeling of the CO2 + H2O System over a wide temperature range. J. Chem. Eng. Data 2014, 59, 1400–1410. [Google Scholar] [CrossRef]
- Bando, S.; Takemura, F.; Nishio, M.; Hihara, E.; Akai, M. Viscosity of aqueous NaCl solutions with dissolved CO2 at (30 to 60) °C and (10 to 20) MPa. J. Chem. Eng. Data 2004, 49, 1328–1332. [Google Scholar] [CrossRef]
- Bachu, S.; Adams, J.J. Sequestration of CO2 in geological media in response to climate change: Capacity of deep saline aquifers to sequester CO2 in solution. Energy Convers. Manag. 2003, 44, 3151–3175. [Google Scholar] [CrossRef]
- Garcia, J.E. Density of Aqueous Solutions of CO2; Report LBNL-49023, Lawrence Berkeley National Laboratory: Berkeley, CA, USA, 2001.
- Bastami, A.; Allahgholi, M.; Pourafshary, P. Experimental and modelling study of the solubility of CO2 in various CaCl2 solutions at different temperatures and pressures. Pet. Sci. 2014, 11, 569–577. [Google Scholar] [CrossRef]
- Batzle, M.; Wang, Z. Seismic properties of pore fluids. Geophysics 1992, 57, 1396–1408. [Google Scholar] [CrossRef]
- Islam, A.W.; Carlson, E.S. Viscosity models and effects of dissolved CO2. Energy Fuels 2012, 26, 5330–5336. [Google Scholar] [CrossRef]
- Mao, S.; Duan, Z. The P,V,T,X properties of binary aqueous chloride solutions up to T = 573 °K and 100 MPa. J. Chem. Thermodyn. 2008, 40, 1046–1063. [Google Scholar] [CrossRef]
- Al Ghafri, S.; Maitland, G.C.; Trusler, J.M. Densities of aqueous MgCl2 (aq), CaCl2 (aq), KI (aq), NaCl (aq), KCl (aq), AlCl3 (aq), and (0.964 NaCl + 0.136 KCl)(aq) at temperatures between (283 and 472) °K, pressures up to 68.5 MPa, and Molalities up to 6 mol·kg–1. J. Chem. Eng. Data 2012, 57, 1288–1304. [Google Scholar] [CrossRef]
- Kemp, N.P.; Thomas, D.C.; Atkinson, G.; Atkinson, B.L. Density modeling for brines as a function of compositions temperature and pressure. SPE Prod. Eng. 1989, 4, 394–400. [Google Scholar] [CrossRef]
- Ji, X.; Tan, S.P.; Adidharma, H.; Radosz, M. SAFT1-RPM approximation extended to phase equilibria and densities of CO2–H2O and CO2–H2O–NaCl systems. Ind. Eng. Chem. Res. 2005, 44, 8419–8427. [Google Scholar] [CrossRef]
- Islam, A.W.; Carlson, E.S. A fully non-iterative technique for phase equilibrium and density calculations of CO2 + brine system and an equation for CO2. JPSE 2014, 115, 31–37. [Google Scholar] [CrossRef]
- Zhang, Y.; Jian, W.; Zhan, Y.; Song, Y.; Yang, M.; Zhao, J.; Shen, Y. Density measurement and equal density temperature of CO2 + brine from Dagang—Formation from 313 to 363 °K. Korean J. Chem. Eng. 2015, 32, 141–148. [Google Scholar] [CrossRef]
















| Reference | Temperature Range (°K) | Pressure Range (Bar) |
|---|---|---|
| Nighswander [13] | 353.15–471.15 | 20.4–102.1 |
| King et al. [14] | 288.15–298.15 | 60.8–243.2 |
| Fenghour et al. [15] | 415–700 | 60–300 |
| Teng et al. [16] | 278–293 | 64–295 |
| Yaginuma et al. [17] | 304.1 | 10–100 |
| Tegetmeier et al. [18] | 374.15 | 0–300 |
| Song et al. [19] | 273.15–284.15 | 50–125 |
| Li et al. [20] | 332.15 | Up to 290 |
| Hebach et al. [21] | 284–332 | 10–300 |
| Song et al. [22] | 274–333 | 100–180 |
| Temperature(°K) | Pressure (Bar) | Liquid Density (g/cm3), Molality = 0 | Liquid Density (g/cm3); Molality = 1.91 mol/kg-CaCl2 | Liquid Density (g/cm3); Molality = 4.85 mol/kg-CaCl2 |
|---|---|---|---|---|
| 328.15 | 68.9 | 0.9975 | 1.1710 | 1.3250 |
| 137.9 | 1.0040 | 1.3450 | ||
| 206.8 | 1.0080 | 1.1770 | 1.3650 | |
| 351.65 | 68.9 | 0.9790 | 1.3130 | |
| 137.9 | 1.1565 | |||
| 206.8 | 0.9921 | 1.3610 | ||
| 368.15 | 68.9 | 0.9662 | 1.3080 | |
| 206.8 | 0.9815 | 1.3540 | ||
| 375.15 | 68.9 | 1.1410 | ||
| 368.15 | 137.9 | 0.9600 | 1.3420 | |
| 375.15 | 206.8 | 1.1450 |
| Models for Density Estimation of Pure Water | Deviations | Models for Density Estimation of Brine | |
|---|---|---|---|
| Kemp et al. [31] | Mao and Duan [29] | ||
| Batzle and Wang [27] | AAD | 0.0089 | 0.0151 |
| MAD | 0.0304 | 0.0504 | |
| Islam and Carlson [28] | AAD | 0.0077 | 0.0143 |
| MAD | 0.0349 | 0.0389 | |
| Deviations | Models for Density Estimation of CO2 in Pure Water | ||
|---|---|---|---|
| Teng et al. [16] | Bachu and Adams (2003) [24] and Garcia [25] | Song et al. [19] | |
| AAD | 0.0016 | 0.0020 | 0.0032 |
| MAD | 0.0037 | 0.0051 | 0.0069 |
| Deviations | Models for Density Estimation of CO2 in CaCl2 Solution | ||
|---|---|---|---|
| Bachu and Adams [24] and Garcia [25] | Bando et al. [23] | New Model | |
| AAD | 0.0072 | 0.0080 | 0.0047 |
| MAD | 0.0228 | 0.0241 | 0.0177 |
© 2018 by the authors. Licensee MDPI, Basel, Switzerland. This article is an open access article distributed under the terms and conditions of the Creative Commons Attribution (CC BY) license (http://creativecommons.org/licenses/by/4.0/).
Share and Cite
Bastami, A.; Pourafshary, P.; Shafiei, A. Densities for Ternary System of CaCl2–H2O–CO2 at Elevated P-T: An Experimental and Modeling Approach. Energies 2018, 11, 2840. https://doi.org/10.3390/en11102840
Bastami A, Pourafshary P, Shafiei A. Densities for Ternary System of CaCl2–H2O–CO2 at Elevated P-T: An Experimental and Modeling Approach. Energies. 2018; 11(10):2840. https://doi.org/10.3390/en11102840
Chicago/Turabian StyleBastami, Alireza, Peyman Pourafshary, and Ali Shafiei. 2018. "Densities for Ternary System of CaCl2–H2O–CO2 at Elevated P-T: An Experimental and Modeling Approach" Energies 11, no. 10: 2840. https://doi.org/10.3390/en11102840
APA StyleBastami, A., Pourafshary, P., & Shafiei, A. (2018). Densities for Ternary System of CaCl2–H2O–CO2 at Elevated P-T: An Experimental and Modeling Approach. Energies, 11(10), 2840. https://doi.org/10.3390/en11102840

