Different Mechanism Effect between Gas-Solid and Liquid-Solid Interface on the Three-Phase Coexistence Hydrate System Dissociation in Seawater: A Molecular Dynamics Simulation Study
Abstract
:1. Introduction
2. Methods
2.1. Simulation System
2.2. Simulation Details
3. Results and Discussion
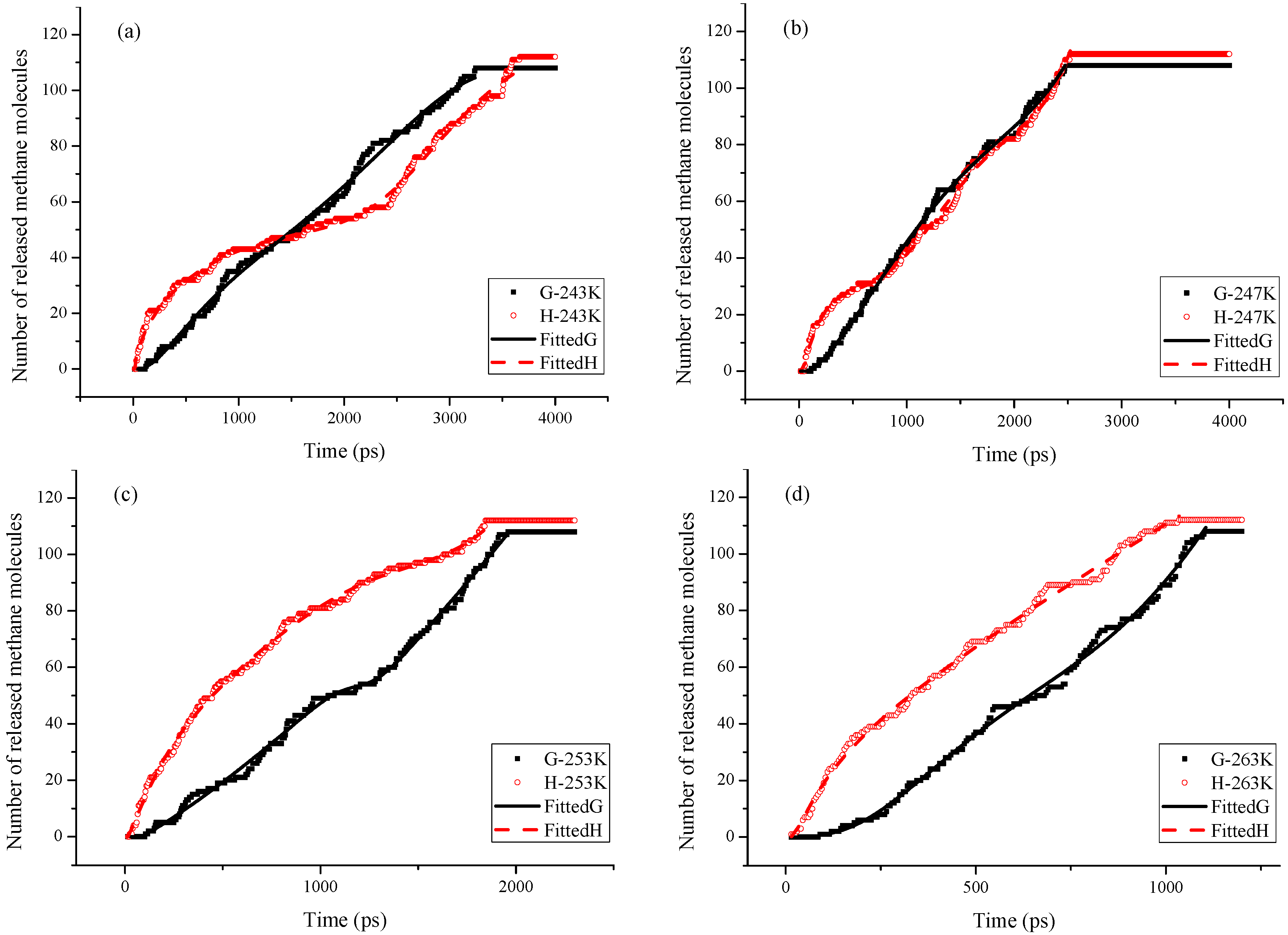
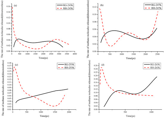
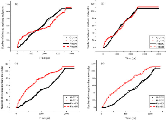
3.1. Dissociation Process of Hydrate Slab in Three Phase System
3.2. Effect of the Adjacent Phases on Dissociation Process
4. Conclusions
Acknowledgments
Author Contributions
Conflicts of Interest
Appendix A
- G-243K:Fitting formulaCoefficient of determination
- H-243K:Fitting formulaCoefficient of determination
- G-247KFitting formulaCoefficient of determination
- H-247KFitting formulaCoefficient of determination
- G-253KFitting formulaCoefficient of determination
- H-253KFitting formulaCoefficient of determination
- G-263KFitting formulaCoefficient of determination
- H-263KFitting formulaCoefficient of determination
References
- Sloan, E.D. Fundamental principles and applications of natural gas hydrates. Nature 2003, 426, 353–363. [Google Scholar] [CrossRef] [PubMed]
- Kvenvolden, K.A. Gas hydrate and humans. Ann. N. Y. Acad. Sci. 2000, 912, 17–22. [Google Scholar] [CrossRef]
- Yang, Y.; He, Y.; Zheng, Q. An analysis of the key safety technologies for natural gas hydrate exploitation. Adv. Geo-Energy Res. 2017, 1, 100–104. [Google Scholar] [CrossRef]
- Kida, M.; Suzuki, K.; Kawamura, T.; Oyama, H.; Nagao, J.; Ebinuma, T.; Narita, H. Characteristics of natural gas hydrates occurring in pore-spaces of marine sediments collected from the eastern Nankai Trough, off Japan. Energy Fuels 2009, 23, 5580–5586. [Google Scholar] [CrossRef]
- Shimada, W.; Takeya, S.; Kamata, Y.; Uchida, T.; Nagao, J.; Ebinuma, T.; Narita, H. Texture change of ice on anomalously preserved methane clathrate hydrate. J. Phys. Chem. B 2005, 109, 5802–5807. [Google Scholar] [CrossRef] [PubMed]
- Misyura, S.Y. The influence of porosity and structural parameters on different kinds of gas hydrate dissociation. Sci. Rep. 2016, 6, 30324. [Google Scholar] [CrossRef] [PubMed]
- Misyura, S.Y.; Donskoy, I.G. Dissociation of natural and artificial gas hydrate. Chem. Eng. Sci. 2016, 148, 65–77. [Google Scholar] [CrossRef]
- Takeya, S.; Ebinuma, T.; Uchida, T.; Nagao, J.; Narita, H. Self-preservation effect and dissociation rates of CH 4 hydrate. J. Cryst. Growth 2002, 237, 379–382. [Google Scholar] [CrossRef]
- Konno, Y.; Jin, Y.; Shinjou, K.; Nagao, J. Experimental evaluation of the gas recovery factor of methane hydrate in sandy sediment. RSC Adv. 2014, 4, 51666–51675. [Google Scholar] [CrossRef]
- Clarke, M.A.; Bishnoi, P.R. Determination of the intrinsic rate constant and activation energy of CO2 gas hydrate decomposition using in-situ particle size analysis. Chem. Eng. Sci. 2004, 59, 2983–2993. [Google Scholar] [CrossRef]
- Kneafsey, T.J.; Tomutsa, L.; Moridis, G.J.; Seol, Y.; Freifeld, B.M.; Taylor, C.E.; Gupta, A. Methane hydrate formation and dissociation in a partially saturated core-scale sand sample. J. Pet. Sci. Eng. 2007, 56, 108–126. [Google Scholar] [CrossRef]
- Kakati, H.; Kar, S.; Mandal, A. Methane hydrate formation and dissociation in oil-in-water emulsion. Energy Fuels 2014, 28, 4440–4446. [Google Scholar] [CrossRef]
- Link, D.D.; Ladner, E.P.; Elsen, H.A.; Taylor, C.E. Formation and dissociation studies for optimizing the uptake of methane by methane hydrates. Fluid Phase Equilib. 2003, 211, 1–10. [Google Scholar] [CrossRef]
- Gupta, A.; Moridis, G.J.; Kneafsey, T.J.; Sloan, E.D. Modeling pure methane hydrate dissociation using a numerical simulator from a novel combination of X-ray computed tomography and macroscopic data. Energy Fuels 2009, 23, 5958–5965. [Google Scholar] [CrossRef]
- Moridis, G.J.; Kowalsky, M.B.; Pruess, K. Depressurization-induced gas production from class-1 hydrate deposits. SPE Reserv. Eval. Eng. 2007, 10, 458–481. [Google Scholar] [CrossRef]
- Konno, Y.; Masuda, Y.; Akamine, K.; Naiki, M.; Nagao, J. Sustainable gas production from methane hydrate reservoirs by the cyclic depressurization method. Energy Convers. Manag. 2016, 108, 439–445. [Google Scholar] [CrossRef]
- Luis, D.P.; García-González, A.; Saint-Martin, H. A Theoretical Study of the Hydration of Methane, from the Aqueous Solution to the sI Hydrate-Liquid Water-Gas Coexistence. Int. J. Mol. Sci. 2016, 17, 378. [Google Scholar] [CrossRef] [PubMed]
- Sun, Z.; Xin, Y.; Sun, Q.; Ma, R.; Zhang, J.; Lv, S.; Cai, M.; Wang, H. Numerical Simulation of the Depressurization Process of a Natural Gas Hydrate Reservoir: An Attempt at Optimization of Field Operational Factors with Multiple Wells in a Real 3D Geological Model. Energies 2016, 9, 714. [Google Scholar] [CrossRef]
- Miyoshi, T.; Ohmura, R.; Yasuoka, K. Predicting thermodynamic stability of clathrate hydrates based on molecular-dynamics simulations and its confirmation by phase-equilibrium measurements. J. Phys. Chem. C 2007, 111, 3799–3802. [Google Scholar] [CrossRef]
- Hakim, L.; Koga, K.; Tanaka, H. Phase behavior of different forms of ice filled with hydrogen molecules. Phys. Rev. Lett. 2010, 104, 115701. [Google Scholar] [CrossRef] [PubMed]
- Hakim, L.; Koga, K.; Tanaka, H. Thermodynamic stability of hydrogen hydrates of ice Ic and II structures. Phys. Rev. B 2010, 82, 144105. [Google Scholar] [CrossRef]
- Michalis, V.K.; Costandy, J.; Tsimpanogiannis, I.N. Prediction of the phase equilibria of methane hydrates using the direct phase coexistence methodology. J. Chem. Phys. 2015, 142, 044501. [Google Scholar] [CrossRef] [PubMed]
- Conde, M.; Vega, C.; McBride, C.; Noya, E.G.; Ramírez, R.; Sesé, L.M. Can gas hydrate structures be described using classical simulations? J. Chem. Phys. 2010, 132, 114503. [Google Scholar] [CrossRef] [PubMed]
- English, N.J.; John, S.T. Pressure-induced amorphization of methane hydrate. Phys. Rev. B 2012, 86, 104109. [Google Scholar] [CrossRef]
- Nath, C.S.; Gelb, L.D. A Monte Carlo simulation study of methane clathrate hydrates confined in slit-shaped pores. J. Phys. Chem. B 2012, 116, 2183–2197. [Google Scholar] [CrossRef] [PubMed]
- English, N.J.; Tse, J.S. Perspectives on hydrate thermal conductivity. Energies 2010, 3, 1934–1942. [Google Scholar] [CrossRef]
- Krivchikov, A.I.; Korolyuk, O.A.; Romantsova, O. Heat transfer in crystalline clathrate hydrates at low temperatures. Low Temp. Phys. 2007, 33, 798–804. [Google Scholar] [CrossRef]
- Jiang, H.; Jordan, K.D. Comparison of the Properties of Xenon, Methane, and Carbon Dioxide Hydrates from Equilibrium and Nonequilibrium Molecular Dynamics Simulations. J. Phys. Chem. C 2009, 114, 5555–5564. [Google Scholar] [CrossRef]
- English, N.J.; Gorman, P.D.; MacElroy, J.M.D. Mechanisms for thermal conduction in hydrogen hydrate. J. Chem. Phys. 2012, 136, 044501. [Google Scholar] [CrossRef] [PubMed]
- Jacobson, L.C.; Hujo, W.; Molinero, V. Amorphous precursors in the nucleation of clathrate hydrates. J. Am. Chem. Soc. 2010, 132, 11806–11811. [Google Scholar] [CrossRef] [PubMed]
- Walsh, M.R.; Koh, C.A.; Sloan, E.D.; Sum, A.K.; Wu, D.T. Microsecond simulations of spontaneous methane hydrate nucleation and growth. Science 2009, 326, 1095–1098. [Google Scholar] [CrossRef] [PubMed]
- Walsh, M.R.; Rainey, J.D.; Lafond, P.G. The cages, dynamics, and structuring of incipient methane clathrate hydrates. Phys. Chem. Chem. Phys. 2011, 13, 19951–19959. [Google Scholar] [CrossRef] [PubMed]
- Walsh, M.R.; Beckham, G.T.; Koh, C.A.; Sloan, E.D.; Wu, D.T.; Sum, A.K. Methane hydrate nucleation rates from molecular dynamics simulations: Effects of aqueous methane concentration, interfacial curvature, and system size. J. Phys. Chem. C 2011, 115, 21241–21248. [Google Scholar] [CrossRef]
- Sarupria, S.; Debenedetti, P.G. Homogeneous nucleation of methane hydrate in microsecond molecular dynamics simulations. J. Phys. Chem. Lett. 2012, 3, 2942–2947. [Google Scholar] [CrossRef] [PubMed]
- Tung, Y.T.; Chen, L.J.; Chen, Y.P.; Lin, S.T. The growth of structure I methane hydrate from molecular dynamics simulations. J. Phys. Chem. B 2010, 114, 10804–10813. [Google Scholar] [CrossRef] [PubMed]
- Tung, Y.T.; Chen, L.J.; Chen, Y.P.; Lin, S.T. Growth of structure I carbon dioxide hydrate from molecular dynamics simulations. J. Phys. Chem. C 2011, 115, 7504–7515. [Google Scholar] [CrossRef]
- Liang, S.; Kusalik, P.G. Explorations of gas hydrate crystal growth by molecular simulations. Chem. Phys. Lett. 2010, 494, 123–133. [Google Scholar] [CrossRef]
- Vatamanu, J.; Kusalik, P.G. Molecular insights into the heterogeneous crystal growth of sI methane hydrate. J. Phys. Chem. B 2006, 110, 15896–15904. [Google Scholar] [CrossRef] [PubMed]
- Vatamanu, J.; Kusalik, P.G. Heterogeneous crystal growth of methane hydrate on its sII crystallographic face. J. Phys. Chem. B 2008, 112, 2399–2404. [Google Scholar] [CrossRef] [PubMed]
- Báez, L.A.; Clancy, P. Computer simulation of the crystal growth and dissolution of natural gas hydrates. Ann. N. Y. Acad. Sci. 1994, 715, 177–186. [Google Scholar] [CrossRef]
- Tse, J.S.; Klug, D.D. Formation and decomposition mechanisms for clathrate hydrates. J. Supramol. Chem. 2002, 2, 467–472. [Google Scholar] [CrossRef]
- Takeya, S.; Yoneyama, A.; Ueda, K.; Hyodo, K.; Takeda, T.; Mimachi, H.; Gotoh, Y. Nondestructive imaging of anomalously preserved methane clathrate hydrate by phase contrast X-ray imaging. J. Phys. Chem. C 2011, 115, 16193–16199. [Google Scholar] [CrossRef]
- Takeya, S.; Ripmeester, J.A. Anomalous preservation of CH4 hydrate and its dependence on the morphology of hexagonal ice. ChemPhysChem 2010, 11, 70–73. [Google Scholar] [CrossRef] [PubMed]
- English, N.J.; MacElroy, J.M.D. Theoretical studies of the kinetics of methane hydrate crystallization in external electromagnetic fields. J. Chem. Phys. 2004, 120, 10247–10256. [Google Scholar] [CrossRef] [PubMed]
- English, N.J.; Phelan, G.M. Molecular dynamics study of thermal-driven methane hydrate dissociation. J. Chem. Phys. 2009, 131, 074704. [Google Scholar] [CrossRef] [PubMed]
- English, N.J.; Clarke, E.T. Molecular dynamics study of CO2 hydrate dissociation: Fluctuation-dissipation and non-equilibrium analysis. J. Chem. Phys. 2013, 139, 094701. [Google Scholar] [CrossRef] [PubMed]
- Myshakin, E.M.; Jiang, H.; Warzinski, R.P.; Jordan, K.D. Molecular dynamics simulations of methane hydrate decomposition. J. Phys. Chem. A 2009, 113, 1913–1921. [Google Scholar] [CrossRef] [PubMed]
- Bagherzadeh, S.A.; Englezos, P.; Alavi, S.; Ripmeester, J.A. Molecular modeling of the dissociation of methane hydrate in contact with a silica surface. J. Phys. Chem. B 2012, 116, 3188–3197. [Google Scholar] [CrossRef] [PubMed]
- Alavi, S.; Ripmeester, J.A. Nonequilibrium adiabatic molecular dynamics simulations of methane clathrate hydrate decomposition. J. Chem. Phys. 2010, 132, 144703. [Google Scholar] [CrossRef] [PubMed]
- Bagherzadeh, S.A.; Englezos, P.; Alavi, S.; Ripmeester, J.A. Molecular simulation of non-equilibrium methane hydrate decomposition process. J. Chem. Thermodyn. 2012, 44, 13–19. [Google Scholar] [CrossRef]
- Mimachi, H.; Takeya, S.; Gotoh, Y.; Yoneyama, A.; Hyodo, K.; Takeda, T.; Murayama, T. Dissociation behaviors of methane hydrate formed from NaCl solutions. Fluid Phase Equilib. 2016, 413, 22–27. [Google Scholar] [CrossRef]
- Xu, J.; Gu, T.; Sun, Z.; Li, X.; Wang, X. Molecular dynamics study on the dissociation of methane hydrate via inorganic salts. Mol. Phys. 2016, 114, 34–43. [Google Scholar] [CrossRef]
- Gutt, C.; Asmussen, B.; Press, W. The structure of deuterated methane-hydrate. J. Chem. Phys. 2000, 113, 4713–4721. [Google Scholar] [CrossRef]
- Greathouse, J.A.; Cygan, R.T.; Simmons, B.A. Vibrational spectra of methane clathrate hydrates from molecular dynamics simulation. J. Phys. Chem. B 2006, 110, 6428–6431. [Google Scholar] [CrossRef] [PubMed]
- Geng, C.Y.; Wen, H.; Zhou, H. Molecular simulation of the potential of methane reoccupation during the replacement of methane hydrate by CO2. J. Phys. Chem. A 2009, 113, 5463–5469. [Google Scholar] [CrossRef] [PubMed]
- Geng, C.Y.; Han, Q.Z.; Wen, H.; Dai, Z.; Song, C. Molecular dynamics simulation on the decomposition of type SII hydrogen hydrate and the performance of tetrahydrofuran as a stabiliser. Mol. Simul. 2010, 36, 474–483. [Google Scholar] [CrossRef]
- Liu, Y.; Zhao, J.; Xu, J. Dissociation mechanism of carbon dioxide hydrate by molecular dynamic simulation and ab initio calculation. Comput. Theor. Chem. 2012, 991, 165–173. [Google Scholar] [CrossRef]
- Burnham, C.J.; English, N.J. Study of clathrate hydrates via equilibrium molecular-dynamics simulation employing polarisable and non-polarisable, rigid and flexible water models. J. Chem. Phys. 2016, 144, 164503. [Google Scholar] [CrossRef] [PubMed]
- Conde, M.M.; Vega, C. A simple correlation to locate the three phase coexistence line in methane-hydrate simulations. J. Chem. Phys. 2013, 138, 056101. [Google Scholar] [CrossRef] [PubMed]
- Míguez, J.M.; Conde, M.M.; Torré, J.P.; Blas, F.J.; Piñeiro, M.M.; Vega, C. Molecular dynamics simulation of CO2 hydrates: Prediction of three phase coexistence line. J. Chem. Phys. 2015, 142, 124505. [Google Scholar] [CrossRef] [PubMed]
- Marshall, D.R.; Saito, S.; Kobayashi, R. Hydrates at high pressures: Part I. Methane-water, argon-water, and nitrogen-water systems. AIChE J. 1964, 10, 202–205. [Google Scholar] [CrossRef]
- Yagasaki, T.; Matsumoto, M.; Andoh, Y.; Okazaki, S. Effect of bubble formation on the dissociation of methane hydrate in water: A molecular dynamics study. J. Phys. Chem. B 2014, 118, 1900–1906. [Google Scholar] [CrossRef] [PubMed]
- Yang, L.; Falenty, A.; Chaouachi, M.; Haberthür, D.; Kuhs, W.F. Synchrotron X-ray computed microtomography study on gas hydrate decomposition in a sedimentary matrix. Geochem. Geophys. Geosyst. 2016, 17, 3717–3732. [Google Scholar] [CrossRef]








| Temp. | 243 K | 247 K | 253 K | 263 K | ||||||||
|---|---|---|---|---|---|---|---|---|---|---|---|---|
| Layer | L | G | TL–G | L | G | TL–G | L | G | TL–G | L | G | TL–G |
| A1 | 370 | 860 | −490 | 650 | 850 | −200 | 230 | 715 | −485 | 145 | 415 | −270 |
| A2 | 2200 | 890 | +1310 | 985 | 455 | +530 | 435 | 575 | −140 | 280 | 340 | −60 |
| A3 | 930 | 910 | +20 | 845 | 820 | +25 | 735 | 520 | +215 | 425 | 260 | +165 |
© 2017 by the authors. Licensee MDPI, Basel, Switzerland. This article is an open access article distributed under the terms and conditions of the Creative Commons Attribution (CC BY) license (http://creativecommons.org/licenses/by/4.0/).
Share and Cite
Sun, Z.; Wang, H.; Yao, J.; Yang, C.; Kou, J.; Bongole, K.; Xin, Y.; Li, W.; Zhu, X. Different Mechanism Effect between Gas-Solid and Liquid-Solid Interface on the Three-Phase Coexistence Hydrate System Dissociation in Seawater: A Molecular Dynamics Simulation Study. Energies 2018, 11, 6. https://doi.org/10.3390/en11010006
Sun Z, Wang H, Yao J, Yang C, Kou J, Bongole K, Xin Y, Li W, Zhu X. Different Mechanism Effect between Gas-Solid and Liquid-Solid Interface on the Three-Phase Coexistence Hydrate System Dissociation in Seawater: A Molecular Dynamics Simulation Study. Energies. 2018; 11(1):6. https://doi.org/10.3390/en11010006
Chicago/Turabian StyleSun, Zhixue, Haoxuan Wang, Jun Yao, Chengwei Yang, Jianlong Kou, Kelvin Bongole, Ying Xin, Weina Li, and Xuchen Zhu. 2018. "Different Mechanism Effect between Gas-Solid and Liquid-Solid Interface on the Three-Phase Coexistence Hydrate System Dissociation in Seawater: A Molecular Dynamics Simulation Study" Energies 11, no. 1: 6. https://doi.org/10.3390/en11010006
APA StyleSun, Z., Wang, H., Yao, J., Yang, C., Kou, J., Bongole, K., Xin, Y., Li, W., & Zhu, X. (2018). Different Mechanism Effect between Gas-Solid and Liquid-Solid Interface on the Three-Phase Coexistence Hydrate System Dissociation in Seawater: A Molecular Dynamics Simulation Study. Energies, 11(1), 6. https://doi.org/10.3390/en11010006
