Experimental Investigation of Stress Rate and Grain Size on Gas Seepage Characteristics of Granular Coal
Abstract
:1. Introduction
2. Granular Coal Samples and Testing Equipment
2.1. Preparation of Granular Coal
2.2. Sample Arrangement
2.3. Testing System Design
3. Measurement Principle and Testing Procedure
3.1. Porosity Measurement
3.2. Permeability Measurement
3.3. Testing Procedure
- (1)
- Regulate the initial height (porosity) of granular coal as a designed value before loading.
- (2)
- Apply and maintain the compressive stress and gas pressure to the sample.
- (3)
- The test was ended when the compressive stress met the designed value.
4. Testing Results and Discussion
4.1. Effect of Stress Rate on the Seepage Characteristics Evolution
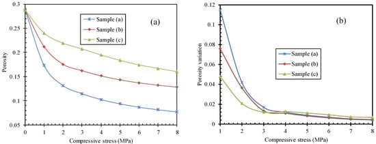
4.1.1. Effect of Compressive Stress Rate on the Porosity and Permeability Evolution
4.1.2. Effect of Stress Rate on the Grain Size Distribution after Crushing
4.2. Effect of Original Grain Size Distribution on the Seepage Characteristics
4.2.1. Effect of Original Grain Size Distribution on the Porosity and Permeability Evolution
4.2.2. Effect of Original Grain Size Distribution on the Post-Crushing Grain Size Distribution
4.3. Porosity and Permeability Prediction during Testing
5. Conclusions
Acknowledgments
Author Contributions
Conflicts of Interest
Abbreviations
| Latin Letters | Greek Letters | ||
| vertical axis going through the left of sample (L) | gas viscosity (mL−1·T−1) | ||
| height of granular coal during compression (L) | compressive stress (mL−1·T−2) | ||
| cylindrical tube height (L) | coal density (mL−3) | ||
| plunger height (L) | gas density (mL−3) | ||
| porous disk thickness (L) | porosity (-) | ||
| felt pad thickness (L) | porosity during compression (-) | ||
| height of plunger head exceeds cylindrical tube during compression (L) | permeability of granular coal during compression (L2) | ||
| mass of granular coal (M) | Sub- and Superscripts | ||
| pore pressure (mL−1·T−2) | compressive stress state (-) | ||
| pore pressure at intake boundary (gas in) during compression (mL−1·T−2) | size range (-) | ||
| pore pressure at outtake boundary (gas out) during compression (mL−1·T−2) | Special Symbols | ||
| radius of the cylindrical tube (L) | partial differential operator (-) | ||
| gas seepage velocity at intake boundary (in) during compression (L·T−1) | Nabla operator (L−1) | ||
References
- Peng, S.S. Longwall Mining, 2nd ed.; Society for Mining Metallurgy, and Exploration: Englewood, CO, USA, 2006; p. 621. [Google Scholar]
- Aguado, M.B.D.; Nicieza, C.G. Control and prevention of gas outbursts in coal mines, Riosa–Olloniego coalfield, Spain. Int. J. Coal Geol. 2007, 69, 253–266. [Google Scholar] [CrossRef]
- Wold, M.B.; Connell, L.D.; Choi, S.K. The role of spatial variability in coal seam parameters on gas outburst behaviour during coal mining. Int. J. Coal Geol. 2008, 75, 1–14. [Google Scholar] [CrossRef]
- Cheng, Y.; Zhang, X.; Wang, L. Environmental impact of coal mine methane emissions and responding strategies in China. Int. J. Greenh. Gas Control 2011, 5, 157–166. [Google Scholar] [CrossRef]
- Karacan, C.Ö. Prediction of porosity and permeability of caved zone in longwall gobs. Transp. Porous Media 2010, 82, 413–439. [Google Scholar] [CrossRef]
- Cai, Y.; Liu, D.; Mathews, J.P.; Pan, Z.; Elsworth, D.; Yao, Y.; Li, J.; Guo, X. Permeability evolution in fractured coal—combining triaxial confinement with X-ray computed tomography, acoustic emission and ultrasonic techniques. Int. J. Coal Geol. 2014, 122, 91–104. [Google Scholar] [CrossRef]
- Adánez, J.; de Diego, L.F.; Gayán, P. Transport velocities of coal and sand particles. Powder Technol. 1993, 77, 61–68. [Google Scholar] [CrossRef]
- Tripathy, A.; Panda, L.; Sahoo, A.K.; Biswal, S.K.; Dwari, R.K.; Sahu, A.K. Statistical optimization study of jigging process on beneficiation of fine size high ash Indian non-coking coal. Adv. Powder Technol. 2016, 27, 1219–1224. [Google Scholar] [CrossRef]
- Slezak, A.; Kuhlman, J.M.; Shadle, L.J.; Spenik, J.; Shi, S.P. CFD simulation of entrained-flow coal gasification: Coal particle density/size fraction effects. Powder Technol. 2010, 203, 98–108. [Google Scholar] [CrossRef]
- Li, Y.F.; Zhao, W.D.; Xu, S.H.; Xia, W.C. Changes of size, ash and density of coal particles on the column axis of a liquid–solid fluidized bed. Powder Technol. 2013, 245, 251–254. [Google Scholar] [CrossRef]
- Muriithi, G.N.; Petrik, L.F.; Gitari, W.M.; Doucet, F.J. Synthesis and characterization of hydrotalcite from South African Coal fly ash. Powder Technol. 2017, 312, 299–309. [Google Scholar] [CrossRef]
- He, J.F.; Zhao, Y.M.; He, Y.Q.; Luo, Z.F.; Duan, C.L. Force characteristic of the large coal particle moving in a dense medium gas–solid fluidized bed. Powder Technol. 2014, 254, 548–555. [Google Scholar] [CrossRef]
- Friedemann, J.; Wagner, A.; Heinze, A.; Krzack, S.; Meyer, B. Direct optical observation of coal particle fragmentation behavior in a drop-tube reactor. Fuel 2016, 166, 382–391. [Google Scholar] [CrossRef]
- Adamczyk, W.P.; Szlęk, A.; Klimanek, A.; Białecki, R.A.; Węcel, G.; Katelbach-Wozniak, A.; Sładeka, S.; Ditarantob, M.; Haugen, N.E.L. Visualization system for the measurement of size and sphericity of char particles under combustion conditions. Powder Technol. 2016, 301, 141–152. [Google Scholar] [CrossRef]
- Busch, A.; Gensterblum, Y.; Krooss, B.M.; Littke, R. Methane and carbon dioxide adsorption diffusion experiments on coal: Upscaling and modeling. Int. J. Coal Geol. 2004, 60, 151–168. [Google Scholar] [CrossRef]
- Marcin, L.; Miguel, A. Characteristics of carbon dioxide sorption in coal and gas shale—The effect of particle size. J. Nat. Gas Sci. Eng. 2016, 28, 558–565. [Google Scholar]
- Hu, S.B.; Li, X.C.; Wang, E.Y. Experimental and numerical study on scale effects of gas emission from coal particles. Transp. Porous Media 2016, 114, 133–147. [Google Scholar] [CrossRef]
- Robertson, E.P.; Christiansen, R.L. Measurement of sorption induced strain. In Proceedings of the 2005 International Coalbed Methane Symposium, Tuscaloosa, AL, USA, 16–20 May 2005. [Google Scholar]
- Mazumder, S.; Wolf, K.H. Differential swelling and permeability change of coal in response to CO2 injection for ECBM. Int. J. Coal Geol. 2008, 74, 123–138. [Google Scholar] [CrossRef]
- Pan, Z.; Connell, L.D.; Camilleri, M. Laboratory characterisation of coal reservoir permeability for primary and enhanced coalbed methane recovery. Int. J. Coal Geol. 2010, 82, 252–261. [Google Scholar] [CrossRef]
- Cui, X.J.; Bustin, R.M. Volumetric strain associated with methane desorption and its impact on coalbed gas production from deep coal seams. AAPG Bull. 2005, 89, 1181–1202. [Google Scholar] [CrossRef]
- Vogler, D.; Amann, F.; Bayer, P.; Elsworth, D. Permeability evolution in natural fractures subject to cyclic loading and gouge formation. Rock Mech. Rock Eng. 2016, 49, 3463–3479. [Google Scholar] [CrossRef]
- Wang, S.; Elsworth, D.; Liu, J. Permeability evolution in fractured coal: The roles of fracture geometry and water-content. Int. J. Coal Geol. 2011, 87, 13–25. [Google Scholar] [CrossRef]
- Han, F.; Busch, A.; van Wageningen, N.; Yang, J.; Liu, Z.; Krooss, B.M. Experimental study of gas and water transport processes in the inter-cleat (matrix) system of coal: Anthracite from Qinshui Basin, China. Int. J. Coal Geol. 2010, 81, 128–138. [Google Scholar] [CrossRef]
- Ma, D.; Miao, X.X.; Wu, Y.; Bai, H.B.; Wang, J.G.; Rezania, M.; Huang, Y.H.; Qian, H.W. Seepage properties of crushed coal particles. J. Pet. Sci. Eng. 2016, 146, 297–307. [Google Scholar]
- Chu, T.X.; Yu, M.G.; Jiang, D.Y. Experimental investigation on the permeability evolution of compacted broken coal. Transp. Porous Media 2017, 116, 847–868. [Google Scholar] [CrossRef]
- Ma, D.; Bai, H.B.; Miao, X.X.; Pu, H.; Jiang, B.Y.; Chen, Z.Q. Compaction and seepage properties of crushed limestone particle mixture: An experimental investigation for Ordovician karst collapse pillar groundwater inrush. Environ. Earth Sci. 2016, 75, 11. [Google Scholar] [CrossRef]
- Ma, D.; Rezania, M.; Yu, H.S.; Bai, H.B. Variations of hydraulic properties of granular sandstones during water inrush: Effect of small particle migration. Eng. Geol. 2017, 217, 61–70. [Google Scholar] [CrossRef]
- Fuller, W.B.; Thompson, S.E. The laws of proportioning concrete. Trans. Am. Soc. Civ. Eng. 1907, 59, 67–143. [Google Scholar]
- MTS System Corporation. Teststar Materials Testing Workstation Installation Reference Manual; MTS System Corporation: Eden Prairie, MN, USA, 1993. [Google Scholar]
- O′Sullivan, C. Particulate Discrete Element Modelling; Taylor and Francis: Abingdon, UK, 2011; p. 215. [Google Scholar]
- Kong, X.Y. Advanced Mechanics of Fluid in Porous Media, 2nd ed.; Press of University of Science and Technology of China: Hefei, China, 2010. [Google Scholar]
- Chilingar, G.V. Relationship between porosity, permeability, and grain-size distribution of sands and sandstones. Dev. Sedimentol. 1964, 1, 71–75. [Google Scholar]














| Test No. | Sample No. | Stress Rate (kN/s) | Particle Mixtures (n in Equation (1)) | Weight to Each Particle Size (g) | ||||||
|---|---|---|---|---|---|---|---|---|---|---|
| 20–15 mm | 15–12 mm | 12–10 mm | 10–8 mm | 8–5 mm | 5–2.5 mm | 2.5–0 mm | ||||
| 1 | a | 0.01 | 1 | 300 | 180 | 120 | 120 | 180 | 150 | 150 |
| b | 0.02 | |||||||||
| c | 0.04 | |||||||||
| 2 | d | 0.02 | 0.4 | 130.4 | 91.3 | 68.8 | 77.7 | 142.6 | 166.9 | 522.3 |
| e | 0.7 | 218.9 | 141.9 | 100.6 | 106.8 | 177.1 | 174.8 | 279.9 | ||
| f | 1 | 300 | 180 | 120 | 120 | 180 | 150 | 150 | ||
| g | 1.3 | 374.4 | 207.9 | 130.3 | 122.7 | 166.7 | 117.5 | 80.4 | ||
| h | 1.6 | 442.7 | 227.4 | 134.1 | 118.9 | 146.4 | 87.5 | 43.1 | ||
| Compressive Stress (MPa) | Sample Height (mm) | Porosity | Gas in Flow Rate (mm·s−1) | Gas Out Pressure (MPa) | Re | Permeability (μm2) |
|---|---|---|---|---|---|---|
| 0 | 130 | 0.288 | 42.689 | 0.587 | 8.095 | 7.488 |
| 1 | 111.9 | 0.173 | 32.902 | 0.553 | 3.751 | 1.422 |
| 2 | 106.6 | 0.131 | 19.366 | 0.531 | 1.674 | 0.557 |
| 3 | 104.5 | 0.114 | 24.573 | 0.553 | 1.851 | 0.717 |
| 4 | 103.1 | 0.102 | 17.528 | 0.498 | 1.181 | 0.341 |
| 5 | 102.1 | 0.093 | 10.909 | 0.462 | 0.671 | 0.161 |
| 6 | 101.4 | 0.087 | 9.152 | 0.455 | 0.521 | 0.128 |
| 7 | 100.8 | 0.081 | 4.461 | 0.476 | 0.238 | 0.071 |
| 8 | 100.3 | 0.077 | 3.469 | 0.129 | 0.175 | 0.021 |
| Sample No. | Stress Rate (kN/s) | Weight to Each Particle Size (g) | ||||||
|---|---|---|---|---|---|---|---|---|
| 20–15 mm | 15–12 mm | 12–10 mm | 10–8 mm | 8–5 mm | 5–2.5 mm | 2.5–0 mm | ||
| a | 0.01 | 208.1 | 123.3 | 89.5 | 102.2 | 168.2 | 229.9 | 278.8 |
| b | 0.02 | 243.2 | 142.8 | 109.8 | 114.6 | 173.2 | 194.4 | 222.0 |
| c | 0.04 | 268.9 | 156.7 | 101.3 | 113.5 | 193.3 | 182.4 | 184.0 |
| Sample No. | Particle Mixtures (n in Equation (1)) | Weight to Each Particle Size (g) | ||||||
|---|---|---|---|---|---|---|---|---|
| 20–15 mm | 15–12 mm | 12–10 mm | 10–8 mm | 8–5 mm | 5–2.5 mm | 2.5–0 mm | ||
| d | 0.4 | 98.3 | 77.4 | 65.2 | 72.4 | 156.0 | 185.4 | 545.3 |
| e | 0.7 | 163.2 | 125.7 | 83.2 | 97.3 | 182.5 | 203.2 | 344.9 |
| f | 1 | 243.2 | 142.8 | 109.8 | 114.6 | 178.2 | 194.4 | 217.0 |
| g | 1.3 | 305.8 | 165.2 | 113.2 | 112.8 | 162.7 | 185.4 | 154.9 |
| h | 1.6 | 301.2 | 173.9 | 118.2 | 103.7 | 135.3 | 213.5 | 154.2 |
© 2017 by the authors. Licensee MDPI, Basel, Switzerland. This article is an open access article distributed under the terms and conditions of the Creative Commons Attribution (CC BY) license (http://creativecommons.org/licenses/by/4.0/).
Share and Cite
Ma, D.; Li, Q.; Hall, M.R.; Wu, Y. Experimental Investigation of Stress Rate and Grain Size on Gas Seepage Characteristics of Granular Coal. Energies 2017, 10, 527. https://doi.org/10.3390/en10040527
Ma D, Li Q, Hall MR, Wu Y. Experimental Investigation of Stress Rate and Grain Size on Gas Seepage Characteristics of Granular Coal. Energies. 2017; 10(4):527. https://doi.org/10.3390/en10040527
Chicago/Turabian StyleMa, Dan, Qiang Li, Matthew R. Hall, and Yu Wu. 2017. "Experimental Investigation of Stress Rate and Grain Size on Gas Seepage Characteristics of Granular Coal" Energies 10, no. 4: 527. https://doi.org/10.3390/en10040527
APA StyleMa, D., Li, Q., Hall, M. R., & Wu, Y. (2017). Experimental Investigation of Stress Rate and Grain Size on Gas Seepage Characteristics of Granular Coal. Energies, 10(4), 527. https://doi.org/10.3390/en10040527
