Optimizing the Performance of Solo Duck Wave Energy Converter in Tide
Abstract
:1. Introduction
2. Geometry and Floating States of the Duck
3. Theoretical Modeling
4. Results and Discussion
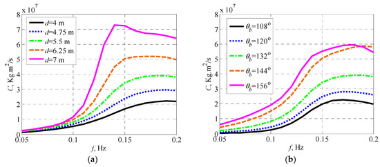
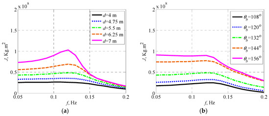
4.1. Hydrodynamic Coefficients
4.2. Maximum Relative Capture Width
4.3. Hydrostatic Stiffness Coefficient
4.4. Case Study
5. Conclusions
- (1)
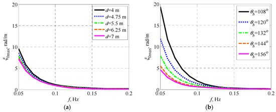
- The added inertia, radiation damping coefficient and excitation moment coefficient share similar variation law with floating states. Furthermore, the added inertia can be qualitatively estimated by the water inertia, which is defined as the mapped length on the Duck surface in the normal direction of its velocity multiplied by square of its rotation radius.
- (2)
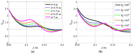
- In most of the range of the wave frequency investigated in this paper, the Duck WEC has a maximum relative capture width larger than one, which is consistent with the point absorber effect. The beak angle should be adjusted to as large a value as possible so that the RAO of the Duck at maximum relative capture width will be reasonably small.
- (3)
- At certain floating state, the hydrostatic stiffness coefficient only depends on the angle of mass center. Therefore, the position of the mass center is a key parameter that not only balances the Duck to a large beak angle, but also adjusts the reactance of the system so that complex conjugate control can be realized at different tidal heights.
- (4)
- In order to cancel the reactance term from the mechanical impedance of the WEC system at different tidal heights, the movable mass ratio should not be too small, and the designed position of the movable mass should keep away from the Duck profile. The lowest weight of the movable mass is found when its designed position locates at the center of the Duck profile.
Acknowledgments
Author Contributions
Conflicts of Interest
Nomenclature
| A0 | Amplitude of the incident wave (m) |
| A+ | Radiated wave amplitude at x → +∞ due to forced unit amplitude pitching velocity (m) |
| A− | Radiated wave amplitude at x → −∞ due to forced unit amplitude pitching velocity (m) |
| Complex amplitude of wave amplitude (m) | |
| b | Mass ratio |
| C | Radiation damping coefficient in pitch direction due to pitch motion (N·m·s) |
| Ce | PTO damping coefficient (N·m·s) |
| d | Depth of rotation axis (m) |
| ds | Length of the segment on the Duck surface (m) |
| dT | Tidal height (m) |
| Emax | Maximum efficiency |
| G | Gravity center of the rotating mass |
| Gm | Weight of the movable mass (N) |
| g | Acceleration of gravity (m/s2) |
| h | Water depth (m) |
| J | Added inertia in pitch direction due to pitch motion (Kg·m2) |
| J0 | Inertia of the remained rotating mass added with the converted inertia from the PTO load (Kg·m2) |
| Jd | Added inertia at the designed floating state (Kg·m2) |
| Je | Dry inertia in pitch direction (Kg·m2) |
| Jn | Added inertia at current floating state (Kg·m2) |
| Jw | Water inertia (m3) |
| Kd | Pressure moment coefficient at the designed floating state (N·m) |
| KG | Gravity moment coefficient (N·m) |
| Kn | Pressure moment coefficient at this floating state (N·m) |
| KP | Pressure moment coefficient (N·m) |
| Kr | Hydrostatic stiffness coefficient in pitch direction due to pitch motion (N·m) |
| k | Wave number |
| L | Radial distance of the gravity center of the rotating mass (m) |
| L0 | Radial distance of the gravity center of remained rotating mass (m) |
| Ld | Radial distance of the designed position of the movable mass (m) |
| Llim | Radial distance from the Duck surface to the rotation axis (m) |
| Ln | Radial distance of the position of the movable mass at current floating state (m) |
| l | Rotation radius of the small segment on the Duck surface (m) |
| M0 | Modulus of complex amplitude of excitation moment per unit wave amplitude (N) |
| Md | Pressure moment at the designed floating state (N·m) |
| MG | Gravity moment (N·m) |
| Mn | Pressure moment at this floating state (N·m) |
| MP | Pressure moment (N·m) |
| Complex amplitude of excitation moment in pitch direction (N·m) | |
| n | Outward normal vector on the wetted surface |
| n3 | z-component of the normal vector n |
| O | Rotation axis |
| R | Radius of the stern part (m) |
| r | Vector from the point on the wetted surface to the rotation axis O |
| v | Volume of water displaced by the Duck (m3) |
| W | Width of the Duck (m) |
| x | Component of a Cartesian coordinate system in wave propagating direction |
| y | Component of a Cartesian coordinate system in longitudinal direction of the Duck |
| Z | Radiation impedance (N·m·s) |
| Zs | Mechanical impedance (N·m·s) |
| z | Component of a Cartesian coordinate system in the opposite direction of gravity |
| zb | z-component coordinate of buoyancy center (m) |
| α | Angle of the gravity center of rotating mass (°) |
| αd | Angle of the designed position of the movable mass (°) |
| α0 | Angle of the gravity center of remained rotating mass (°) |
| αn | Angle of the position of the movable mass at this floating state (°) |
| β | Beak angle differences between this floating state and the designed floating state (°) |
| γ | Angle between the normal vector of the segment and its velocity direction (°) |
| η | Relative capture width |
| ηmax | Maximum relative capture width |
| θ | Direction angle of the incident wave (°) |
| θb | Beak angle (°) |
| ξ | Pitch excursion (rad) |
| ξ0 | Modulus of complex amplitude of pitch excursion per unit wave amplitude (rad/m) |
| ξ0max | RAO of the solo Duck at the maximum relative capture width (rad/m) |
| Complex amplitude of pitch excursion (rad) | |
| Complex amplitude of pitch velocity (rad/s) | |
| Complex amplitude of pitch excursion (rad/s2) | |
| ρ | Density of water (kg/m3) |
| φ | Phase difference between the complex amplitude of pitch excursion and (°) |
| ω | Circular frequency of incident wave (rad/s) |
References
- Vicinanza, D.; Margheritini, L.; Kofoed, J.P.; Buccino, M. The SSG wave energy converter: Performance, status and recent developments. Energies 2012, 5, 193–226. [Google Scholar] [CrossRef]
- Iuppa, C.; Contestabile, P.; Cavallaro, L.; Foti, E.; Vicinanza, D. Hydraulic performance of an innovative breakwater for overtopping wave energy conversion. Sustainability 2016, 8, 1226. [Google Scholar] [CrossRef]
- Hansen, R.H.; Kramer, M.M.; Vidal, E. Discrete displacement hydraulic power take-off system for the Wavestar wave energy converter. Energies 2013, 6, 4001–4044. [Google Scholar] [CrossRef]
- Salter, S.H. Wave power. Nature 1974, 249, 720–724. [Google Scholar] [CrossRef]
- Skyner, D. Solo Duck Linear Analysis; University of Edinburgh: Edinburgh, UK, 1987. [Google Scholar]
- Salter, S.H. Apparatus and Method for Extracting Wave Energy. U.S. Patent 3,928,967, 30 December 1975. [Google Scholar]
- Evans, D.V. A theory for wave-power absorption by oscillating bodies. J. Fluid Mech. 1976, 77, 1–25. [Google Scholar] [CrossRef]
- Mei, C.C. Power extraction from water waves. J. Ship Res. 1976, 20, 63–66. [Google Scholar]
- Cruz, J. Ocean Wave Energy Current Status and Future Perspectives; Springer: Berlin, Germany, 2008. [Google Scholar]
- Pizer, D. Numerical Modeling of Wave Energy Absorbers; University of Edinburgh: Edinburgh, UK, 1994. [Google Scholar]
- Mynett, A.E.; Serman, D.D.; Mei, C.C. Characteristics of Salter’s cam for extracting energy from ocean waves. Appl. Ocean Res. 1979, 1, 13–20. [Google Scholar] [CrossRef]
- Castellucci, V.; Garcia-Teran, J.; Eriksson, M.; Padman, L.; Waters, R. Influence of sea state and tidal height on wave power absorption. IEEE J. Ocean. Eng. 2016, PP, 1–8. [Google Scholar] [CrossRef]
- Castellucci, V.; Abrahamsson, J.; Kamf, T.; Waters, R. Nearshore tests of the tidal compensation system for point-absorbing wave energy converter. Energies 2015, 8, 3272–3291. [Google Scholar] [CrossRef]
- Castellucci, V.; Waters, R.; Eriksson, M.; Leijon, M. Tidal effect compensation system for point absorbing wave energy converters. Renew. Energy 2013, 51, 247–251. [Google Scholar] [CrossRef]
- Lucas, J.; Salter, S.H.; Cruz, J.; Taylor, J.R.M.; Bryden, I. Performance optimization of a modified Duck through optimal mass distribution. In Proceedings of the 8th European Wave and Tidal Energy Conference, Uppsala, Sweden, 7–9 September 2009.
- Park, Y.H.; Suh, K.D. Variations of storm surge caused by shallow water depths and extreme tidal ranges. Ocean Eng. 2012, 55, 44–51. [Google Scholar] [CrossRef]
- Khan, D.; Watson, S.J.; Infield, D.G. Identifying the effect of tidal height on offshore wind speed profiles. Wind Energy 2003, 6, 405–412. [Google Scholar] [CrossRef]
- Masselink, G.; Short, A.D. The effect of tidal range on beach morphodynamics and morphology: A conceptual beach model. J. Coast. Res. 1993, 9, 785–800. [Google Scholar]
- Falnes, J. Ocean Waves and Oscillating Systems: Linear Interaction including Wave-Energy Extraction; Cambridge University Press: Cambridge, UK, 2002. [Google Scholar]
- Li, Y.; Yu, Y.H. A synthesis of numerical methods for modeling wave energy converter-point absorbers. Renew. Sustain. Energy Rev. 2012, 16, 4352–4364. [Google Scholar] [CrossRef]
- McCormick, M.E. Ocean Wave Energy Conversion; Dover Publications Inc.: New York, NY, USA, 2007. [Google Scholar]
- Price, A.A.E.; Dent, C.J.; Wallace, A.R. On the capture width of wave energy converters. Appl. Ocean Res. 2009, 31, 251–259. [Google Scholar] [CrossRef]
- Lopes, M.F.P.; Hals, J.; Gomes, R.P.F.; Moan, T.; Gato, L.M.C.; Falcão, A. Experimental and numerical investigation of non-predictive phase-control strategies for a point-absorbing wave energy converter. Ocean Eng. 2009, 36, 386–402. [Google Scholar] [CrossRef]
- Kara, F. Time domain prediction of power absorption from ocean waves with wave energy converter arrays. Renew. Energy 2016, 92, 30–46. [Google Scholar] [CrossRef]
- Ansys, Inc. AQWA Reference Manual, version 16.0; Ansys, Inc.: Canonsburg, PA, USA, 2015. [Google Scholar]
- Salter, S.H. Progress on Edinburgh ducks. In Proceedings of the IUTAM Symposium on Hydrodynamics of Ocean Wave Energy Utilization, Lisbon, Portugal, 8–11 July 1985.
- Pizer, D. Numerical prediction of the performance of a solo Duck. In Proceedings of the 1993 European Wave Energy Symposium, Edinburgh, UK, 21–24 July 1993; pp. 129–137.
- Evans, D.V. Maximum wave-power absorption under motion constraints. Appl. Ocean Res. 1981, 3, 200–203. [Google Scholar] [CrossRef]
- Pizer, D.J. Maximum wave-power absorption of point absorbers under motion constraints. Appl. Ocean Res. 1993, 15, 227–234. [Google Scholar] [CrossRef]
- Hals, J.; Falnes, J.; Moan, T. Constrained Optimal Control of a Heaving Buoy Wave-Energy Converter. J. Offshore Mech. Arct. Eng. 2010, 133, 011401. [Google Scholar] [CrossRef]
- Newman, J.N. Marin Hydrodynamics; Massachusetts Institute of Technology (MIT) Press: Cambridge, MA, USA, 1977. [Google Scholar]















| Floating State No. | 1 | 2 | 3 | 4 | 5 | 6 | 7 | 8 | 9 |
|---|---|---|---|---|---|---|---|---|---|
| d, m | 4 | 4.75 | 5.5 | 6.25 | 7 | 5.5 | 5.5 | 5.5 | 5.5 |
| θb, deg | 132 | 132 | 132 | 132 | 132 | 108 | 120 | 144 | 156 |
| dT, m | −1.5 | −0.75 | 0 | 0.75 | 1.5 |
| d, m | 4 | 4.75 | 5.5 | 6.25 | 7 |
| θb, deg | 162.0 | 155.4 | 150.3 | 144.9 | 139.2 |
© 2017 by the authors. Licensee MDPI, Basel, Switzerland. This article is an open access article distributed under the terms and conditions of the Creative Commons Attribution (CC BY) license ( http://creativecommons.org/licenses/by/4.0/).
Share and Cite
Wu, J.; Yao, Y.; Li, W.; Zhou, L.; Göteman, M. Optimizing the Performance of Solo Duck Wave Energy Converter in Tide. Energies 2017, 10, 289. https://doi.org/10.3390/en10030289
Wu J, Yao Y, Li W, Zhou L, Göteman M. Optimizing the Performance of Solo Duck Wave Energy Converter in Tide. Energies. 2017; 10(3):289. https://doi.org/10.3390/en10030289
Chicago/Turabian StyleWu, Jinming, Yingxue Yao, Wei Li, Liang Zhou, and Malin Göteman. 2017. "Optimizing the Performance of Solo Duck Wave Energy Converter in Tide" Energies 10, no. 3: 289. https://doi.org/10.3390/en10030289
APA StyleWu, J., Yao, Y., Li, W., Zhou, L., & Göteman, M. (2017). Optimizing the Performance of Solo Duck Wave Energy Converter in Tide. Energies, 10(3), 289. https://doi.org/10.3390/en10030289

