Performance Evaluation and Durability Enhancement of FEP-Based Gas Diffusion Media for PEM Fuel Cells
Abstract
:1. Introduction
2. Materials and Methods
2.1. Preparation
2.2. Characterization
2.3. Accelerated Stress Tests
3. Results and Discussion
3.1. Static Contact Angle Measurements
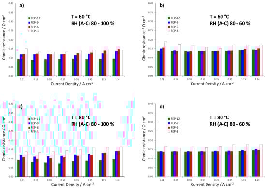
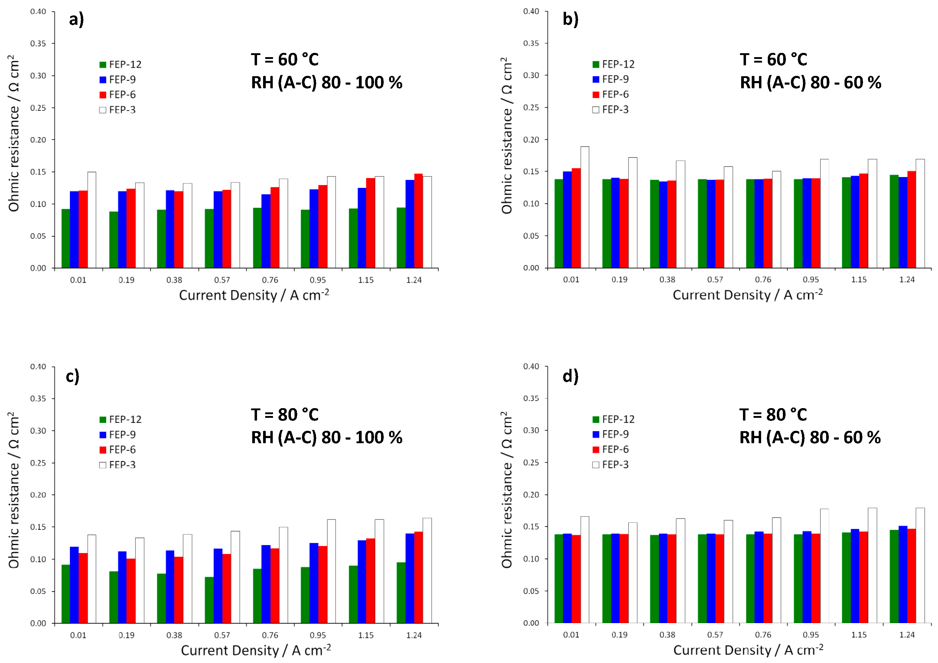
3.2. Electrochemical Characterization
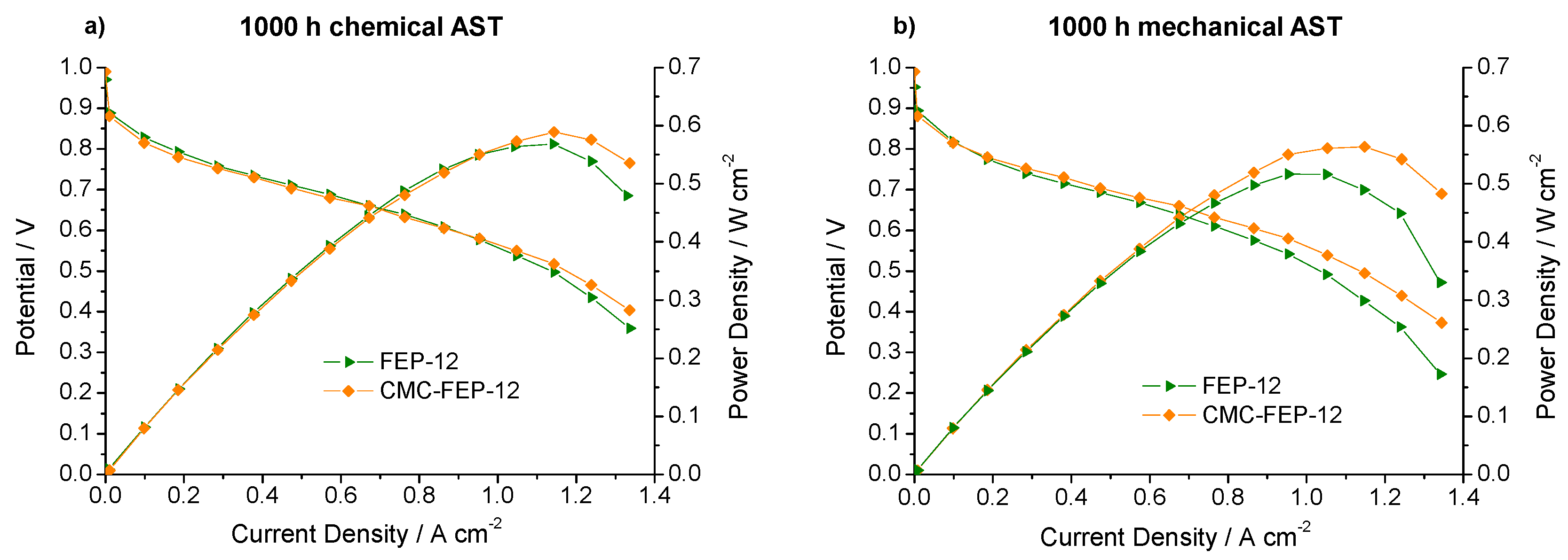
3.3. Accelerated Stress Tests (ASTs)
4. Conclusions
Supplementary Materials
Acknowledgments
Author Contributions
Conflicts of Interest
References
- Park, S.; Lee, J.W.; Popov, B.N. A review of gas diffusion layer in PEM fuel cells: Materials and designs. Int. J. Hydrogen Energy 2012, 37, 5850–5865. [Google Scholar] [CrossRef]
- Wang, Y.; Chen, K.S.; Mishler, J.; Cho, S.C.; Adroher, X.C. A review of polymer electrolyte membrane fuel cells: Technology, applications, and needs on fundamental research. Appl. Energy 2011, 88, 981–1007. [Google Scholar] [CrossRef]
- Carrette, L.; Friedrich, K.A.; Stimming, U. Fuel Cells—Fundamentals and Applications. Fuel Cells 2001, 1, 5–39. [Google Scholar] [CrossRef]
- Wang, C.; Wang, S.B.; Peng, L.F.; Zhang, J.L.; Shao, Z.G.; Huang, J.; Sun, C.W.; Ouyang, M.G.; He, X.M. Recent Progress on the Key Materials and Components for Proton Exchange Membrane Fuel Cells in Vehicle Applications. Energies 2016, 9, 603. [Google Scholar] [CrossRef]
- Latorrata, S.; Stampino, P.G.; Cristiani, C.; Dotelli, G. Development of an optimal gas diffusion medium for polymer electrolyte membrane fuel cells and assessment of its degradation mechanisms. Int. J. Hydrogen Energy 2015, 40, 14596–14608. [Google Scholar] [CrossRef]
- Barbir, F. PEM Fuel Cells: Theory and Practice; Sustainable World Series; Academic Press: Cambridge, MA, USA, 2005; pp. 1–433. [Google Scholar]
- Katzel, J.; Markotter, H.; Arlt, T.; Klages, M.; Haussmann, J.; Messerschmidt, M.; Kardjilov, N.; Scholta, J.; Banhart, J.; Manke, I. Effect of ageing of gas diffusion layers on the water distribution in flow field channels of polymer electrolyte membrane fuel cells. J. Power Sources 2016, 301, 386–391. [Google Scholar] [CrossRef]
- Ji, M.B.; Wei, Z.D. A Review of Water Management in Polymer Electrolyte Membrane Fuel Cells. Energies 2009, 2, 1057–1106. [Google Scholar] [CrossRef]
- Latorrata, S.; Ponti, F.; Pelosato, R.; Gallo Stampino, P.; Cristiani, C.; Dotelli, G. Development of accelerated stress tests to assess durability of FEP- and carbon nanotubes-based gas diffusion media for PEM fuel cells. In Proceedings of the EMR Conference 2015, Madrid, Spain, 25–27 February 2015; p. 129. [Google Scholar]
- Owejan, J.P.; Trabold, T.A.; Jacobson, D.L.; Arif, M.; Kandlikar, S.G. Effects of flow field and diffusion layer properties on water accumulation in a PEM fuel cell. Int. J. Hydrogen Energy 2007, 32, 4489–4502. [Google Scholar] [CrossRef]
- Mishler, J.; Wang, Y.; Mukundan, R.; Spendelow, J.; Hussey, D.S.; Jacobson, D.L.; Borup, R.L. Probing the water content in polymer electrolyte fuel cells using neutron radiography. Electrochim. Acta 2012, 75, 1–10. [Google Scholar] [CrossRef]
- Ferreira, R.B.; Falcao, D.S.; Oliveira, V.B.; Pinto, A.M.F.R. Experimental study on the membrane electrode assembly of a proton exchange membrane fuel cell: Effects of microporous layer, membrane thickness and gas diffusion layer hydrophobic treatment. Electrochim. Acta 2017, 224, 337–345. [Google Scholar] [CrossRef]
- Antonacci, P.; Chevalier, S.; Lee, J.; Ge, N.; Hinebaugh, J.; Yip, R.; Tabuchi, Y.; Kotaka, T.; Bazylak, A. Balancing mass transport resistance and membrane resistance when tailoring microporous layer thickness for polymer electrolyte membrane fuel cells operating at high current densities. Electrochim. Acta 2016, 188, 888–897. [Google Scholar] [CrossRef]
- Wang, X.L.; Zhang, H.M.; Zhang, J.L.; Xu, H.F.; Tian, Z.Q.; Chen, J.; Zhong, H.X.; Liang, Y.M.; Yi, B.L. Micro-porous layer with composite carbon black for PEM fuel cells. Electrochim. Acta 2006, 51, 4909–4915. [Google Scholar] [CrossRef]
- Wang, Y.; Wang, C.Y.; Chen, K.S. Elucidating differences between carbon paper and carbon cloth in polymer electrolyte fuel cells. Electrochim. Acta 2007, 52, 3965–3975. [Google Scholar] [CrossRef]
- Weber, A.Z.; Darling, R.M.; Newman, J. Modeling two-phase behavior in PEFCs. J. Electrochem. Soc. 2004, 151, A1715–A1727. [Google Scholar] [CrossRef]
- Qi, Z.G.; Kaufman, A. Improvement of water management by a microporous sublayer for PEM fuel cells. J. Power Sources 2002, 109, 38–46. [Google Scholar] [CrossRef]
- Park, S.; Lee, J.W.; Popov, B.N. Effect of PTFE content in microporous layer on water management in PEM fuel cells. J. Power Sources 2008, 177, 457–463. [Google Scholar] [CrossRef]
- Wood, D.; Mukundan, R.; Borup, R. In-Plane Mass-Transport Studies of GDL Variation Using the Segmented Cell Approach. ECS Trans. 2009, 25, 1495–1506. [Google Scholar]
- Antolini, E.; Passos, R.R.; Ticianelli, E.A. Effects of the cathode gas diffusion layer characteristics on the performance of polymer electrolyte fuel cells. J. Appl. Electrochem. 2002, 32, 383–388. [Google Scholar] [CrossRef]
- Giorgi, L.; Antolini, E.; Pozio, A.; Passalacqua, E. Influence of the PTFE content in the diffusion layer of low-Pt loading electrodes for polymer electrolyte fuel cells. Electrochim. Acta 1998, 43, 3675–3680. [Google Scholar] [CrossRef]
- Latorrata, S.; Balzarotti, R.; Stampino, P.G.; Cristiani, C.; Dotelli, G.; Guilizzoni, M. Design of properties and performances of innovative gas diffusion media for polymer electrolyte membrane fuel cells. Prog. Org. Coat. 2015, 78, 517–525. [Google Scholar] [CrossRef]
- Latorrata, S.; Stampino, P.G.; Cristiani, C.; Dotelli, G. Novel superhydrophobic microporous layers for enhanced performance and efficient water management in PEM fuel cells. Int. J. Hydrogen Energy 2014, 39, 5350–5357. [Google Scholar] [CrossRef]
- Yuan, X.Z.; Li, H.; Zhang, S.S.; Martin, J.; Wang, H.J. A review of polymer electrolyte membrane fuel cell durability test protocols. J. Power Sources 2011, 196, 9107–9116. [Google Scholar] [CrossRef]
- Chun, J.H.; Jo, D.H.; Kim, S.G.; Park, S.H.; Lee, C.H.; Kim, S.H. Improvement of the mechanical durability of micro porous layer in a proton exchange membrane fuel cell by elimination of surface cracks. Renew. Energy 2012, 48, 35–41. [Google Scholar] [CrossRef]
- Wu, J.F.; Yuan, X.Z.; Martin, J.J.; Wang, H.J.; Zhang, J.J.; Shen, J.; Wu, S.H.; Merida, W. A review of PEM fuel cell durability: Degradation mechanisms and mitigation strategies. J. Power Sources 2008, 184, 104–119. [Google Scholar] [CrossRef]
- Yousfi-Steiner, N.; Mocoteguy, P.; Candusso, D.; Hissel, D. A review on polymer electrolyte membrane fuel cell catalyst degradation and starvation issues: Causes, consequences and diagnostic for mitigation. J. Power Sources 2009, 194, 130–145. [Google Scholar] [CrossRef]
- Latorrata, S.; Stampino, P.G.; Cristiani, C.; Dotelli, G. Novel Superhydrophobic Gas Diffusion Media for PEM Fuel Cells: Evaluation of Performance and Durability. Chem. Eng. Trans. 2014, 41, 241–246. [Google Scholar]
- Park, S.; Shao, Y.Y.; Viswanathan, V.V.; Liu, J.; Wang, Y. Non-kinetic losses caused by electrochemical carbon corrosion in PEM fuel cells. Int. J. Hydrogen Energy 2012, 37, 8451–8458. [Google Scholar] [CrossRef]
- Wu, B.B.; Zhao, M.; Shi, W.Y.; Liu, W.M.; Liu, J.G.; Xing, D.M.; Yao, Y.F.; Hou, Z.J.; Ming, P.W.; Gu, J.; et al. The degradation study of Nafion/PTFE composite membrane in PEM fuel cell under accelerated stress tests. Int. J. Hydrogen Energy 2014, 39, 14381–14390. [Google Scholar] [CrossRef]
- Zhang, S.S.; Yuan, X.Z.; Wang, H.J.; Merida, W.; Zhu, H.; Shen, J.; Wu, S.H.; Zhang, J.J. A review of accelerated stress tests of MEA durability in PEM fuel cells. Int. J. Hydrogen Energy 2009, 34, 388–404. [Google Scholar] [CrossRef]
- Zhao, M.; Shi, W.Y.; Wu, B.B.; Liu, W.M.; Liu, J.G.; Xing, D.M.; Yao, Y.F.; Hou, Z.J.; Ming, P.W.; Gu, J.; et al. Analysis of carbon-supported platinum through potential cycling and potential-static holding. Int. J. Hydrogen Energy 2014, 39, 13725–13737. [Google Scholar] [CrossRef]
- DOE. Cell Component Accelerated Stress Test Protocols for PEM Fuel Cells. Available online: http://www1.eere.energy.gov/hydrogenandfuelcells (accessed on 23 May 2016).
- D’Urso, C.; Oldani, C.; Baglio, V.; Merlo, L.; Arico, A.S. Towards fuel cell membranes with improved lifetime: Aquivion (R) Perfluorosulfonic Acid membranes containing immobilized radical scavengers. J. Power Sources 2014, 272, 753–758. [Google Scholar] [CrossRef]
- Rodgers, M.P.; Pearman, B.P.; Mohajeri, N.; Bonville, L.J.; Slattery, D.K. Effect of perfluorosulfonic acid membrane equivalent weight on degradation under accelerated stress conditions. Electrochim. Acta 2013, 100, 180–187. [Google Scholar] [CrossRef]
- Kreitmeier, S.; Schuler, G.A.; Wokaun, A.; Buchi, F.N. Investigation of membrane degradation in polymer electrolyte fuel cells using local gas permeation analysis. J. Power Sources 2012, 212, 139–147. [Google Scholar] [CrossRef]
- Park, S.; Shao, Y.Y.; Kou, R.; Viswanathan, V.V.; Towne, S.A.; Rieke, P.C.; Liu, J.; Lin, Y.H.; Wang, Y. Polarization Losses under Accelerated Stress Test Using Multiwalled Carbon Nanotube Supported Pt Catalyst in PEM Fuel Cells. J. Electrochem. Soc. 2011, 158, B297–B302. [Google Scholar] [CrossRef]
- Zhang, J.L.; Song, C.J.; Zhang, J.J. Accelerated Lifetime Testing for Proton Exchange Membrane Fuel Cells Using Extremely High Temperature and Unusually High Load. J. Fuel Cell Sci. Technol. 2011, 8. [Google Scholar] [CrossRef]
- Wu, J.F.; Martin, J.J.; Orfino, F.P.; Wang, H.J.; Legzdins, C.; Yuan, X.Z.; Sun, C. In situ accelerated degradation of gas diffusion layer in proton exchange membrane fuel cell Part I: Effect of elevated temperature and flow rate. J. Power Sources 2010, 195, 1888–1894. [Google Scholar] [CrossRef]
- Wu, J.F.; Yuan, X.Z.; Martin, J.J.; Wang, H.J.; Yang, D.J.; Qiao, J.L.; Ma, J.X. Proton exchange membrane fuel cell degradation under close to open-circuit conditions Part I: In situ diagnosis. J. Power Sources 2010, 195, 1171–1176. [Google Scholar] [CrossRef]
- Shao, Y.Y.; Wang, J.; Kou, R.; Engelhard, M.; Liu, J.; Wang, Y.; Lin, Y.H. The corrosion of PEM fuel cell catalyst supports and its implications for developing durable catalysts. Electrochim. Acta 2009, 54, 3109–3114. [Google Scholar] [CrossRef]
- Lapicque, F.; Belhadj, M.; Bonnet, C.; Pauchet, J.; Thomas, Y. A critical review on gas diffusion micro and macroporous layers degradations for improved membrane fuel cell durability. J. Power Sources 2016, 336, 40–53. [Google Scholar] [CrossRef]
- Ha, T.; Cho, J.; Park, J.; Min, K.; Kim, H.S.; Lee, E.; Jyoung, J.Y. Experimental study on carbon corrosion of the gas diffusion layer in polymer electrolyte membrane fuel cells. Int. J. Hydrogen Energy 2011, 36, 12436–12443. [Google Scholar] [CrossRef]
- Lee, C.; Merida, W. Gas diffusion layer durability under steady-state and freezing conditions. J. Power Sources 2007, 164, 141–153. [Google Scholar] [CrossRef]
- Spernjak, D.; Fairweather, J.; Mukundan, R.; Rockward, T.; Borup, R.L. Influence of the microporous layer on carbon corrosion in the catalyst layer of a polymer electrolyte membrane fuel cell. J. Power Sources 2012, 214, 386–398. [Google Scholar] [CrossRef]
- Yu, S.C.; Li, X.J.; Liu, S.; Hao, J.K.; Shao, Z.G.; Yi, B.L. Study on hydrophobicity loss of the gas diffusion layer in PEMFCs by electrochemical oxidation. Rsc Adv. 2014, 4, 3852–3856. [Google Scholar] [CrossRef]
- Schulze, M.; Wagner, N.; Kaz, T.; Friedrich, K.A. Combined electrochemical and surface analysis investigation of degradation processes in polymer electrolyte membrane fuel cells. Electrochim. Acta 2007, 52, 2328–2336. [Google Scholar] [CrossRef]
- Ha, T.; Cho, J.; Park, J.; Min, K.; Kim, H.S.; Lee, E.; Jyoung, J.Y. Experimental study of the effect of dissolution on the gas diffusion layer in polymer electrolyte membrane fuel cells. Int. J. Hydrogen Energy 2011, 36, 12427–12435. [Google Scholar] [CrossRef]
- Kim, S.; Ahn, B.K.; Mench, M.M. Physical degradation of membrane electrode assemblies undergoing freeze/thaw cycling: Diffusion media effects. J. Power Sources 2008, 179, 140–146. [Google Scholar] [CrossRef]
- Oszcipok, M.; Riemann, D.; Kronenwett, U.; Kreideweis, M.; Zedda, A. Statistic analysis of operational influences on the cold start behaviour of PEM fuel cells. J. Power Sources 2005, 145, 407–415. [Google Scholar] [CrossRef]
- Frisk, J.; Boand, W.; Kurkowski, M.; Atanasoski, R.; Schmoeckel, A. How 3M developed a new GDL construction for improved oxidative stability. In Proceedings of the 2004 Fuel Cell Seminar, San Antonio, TX, USA, 1–5 November 2004. [Google Scholar]
- Wood, D.; Davey, J.; Garzon, F.; Atanassov, P.; Borup, R.L. Mass-transport phenomena and long-term performance limitations in H2-air PEMFC durability testing. In Proceedings of the Fuel Cell Seminar, Palm Springs, CA, USA, 14–18 November 2005. [Google Scholar]
- Latorrata, S.; Stampino, P.G.; Cristiani, C.; Dotelli, G. Preparation, ex situ and in situ Characterization of Gas Diffusion Media Containing and Non-Containing Carboxymethylcellulose for PEM Fuel Cells. Fuel Cells 2015, 15, 463–471. [Google Scholar] [CrossRef]
- Stampino, P.G.; Omati, L.; Cristiani, C.; Dotelli, G. Characterisation of Nanocarbon-Based Gas Diffusion Media by Electrochemical Impedance Spectroscopy. Fuel Cells 2010, 10, 270–277. [Google Scholar] [CrossRef]
- Latorrata, S.; Stampino, P.G.; Amici, E.; Pelosato, R.; Cristiani, C.; Dotelli, G. Effect of rheology controller agent addition to Micro-Porous Layers on PEMFC performances. Solid State Ion. 2012, 216, 73–77. [Google Scholar] [CrossRef]
- Guilizzoni, M.; Stampino, P.G.; Cristiani, C.; Dotelli, G.; Latorrata, S. Formulation and Properties of Different Microporous Layers with Carboxymethylcellulose (CMC) Composition for PEM-FC. Chem. Eng. Trans. 2013, 32, 1657–1662. [Google Scholar]
- Wagner, N. Characterization of membrane electrode assemblies in polymer electrolyte fuel cells using a.c. impedance spectroscopy. J. Appl. Electrochem. 2002, 32, 859–863. [Google Scholar] [CrossRef]
- Boillot, M.; Bonnet, C.; Jatroudakis, N.; Carre, P.; Didierjean, S.; Lapicque, F. Effect of gas dilution on PEM fuel cell performance and impedance response. Fuel Cells 2006, 6, 31–37. [Google Scholar] [CrossRef]
- Barbir, F. PEM Fuel Cells: Theory and Practice; Academic Press: Amsterdam, The Netherlands, 2013; p. 518. [Google Scholar]
- Kim, S.; Jeong, B.H.; Hong, B.K.; Kim, T.S. Effects of hydrophobic agent content in macro-porous substrates on the fracture behavior of the gas diffusion layer for proton exchange membrane fuel cells. J. Power Sources 2014, 270, 342–348. [Google Scholar] [CrossRef]














| Sample | FEP/wt % | Contact Angle/° |
|---|---|---|
| FEP-3 | 3 | 149.3 ± 2.1 |
| FEP-6 | 6 | 150.8 ± 3.8 |
| FEP-9 | 9 | 152.1 ± 3.9 |
| FEP-12 | 12 | 156.5 ± 2.1 |
| Sample | ∆P(AST chem)/% | ∆P(AST mech)/% |
|---|---|---|
| FEP-12 | 13.9 | 21.8 |
| CMC-FEP-12 | 0.5 | 4.7 |
© 2017 by the authors. Licensee MDPI, Basel, Switzerland. This article is an open access article distributed under the terms and conditions of the Creative Commons Attribution (CC BY) license (http://creativecommons.org/licenses/by/4.0/).
Share and Cite
Latorrata, S.; Gallo Stampino, P.; Cristiani, C.; Dotelli, G. Performance Evaluation and Durability Enhancement of FEP-Based Gas Diffusion Media for PEM Fuel Cells. Energies 2017, 10, 2063. https://doi.org/10.3390/en10122063
Latorrata S, Gallo Stampino P, Cristiani C, Dotelli G. Performance Evaluation and Durability Enhancement of FEP-Based Gas Diffusion Media for PEM Fuel Cells. Energies. 2017; 10(12):2063. https://doi.org/10.3390/en10122063
Chicago/Turabian StyleLatorrata, Saverio, Paola Gallo Stampino, Cinzia Cristiani, and Giovanni Dotelli. 2017. "Performance Evaluation and Durability Enhancement of FEP-Based Gas Diffusion Media for PEM Fuel Cells" Energies 10, no. 12: 2063. https://doi.org/10.3390/en10122063
APA StyleLatorrata, S., Gallo Stampino, P., Cristiani, C., & Dotelli, G. (2017). Performance Evaluation and Durability Enhancement of FEP-Based Gas Diffusion Media for PEM Fuel Cells. Energies, 10(12), 2063. https://doi.org/10.3390/en10122063
