Next Article in Journal
Kernel Regression Coefficients for Practical Significance
Previous Article in Journal
Integrated Intellectual Investment Portfolio as an Efficient Instrument to Manage Personal Financial Investment
 
 
Font Type:
Arial Georgia Verdana
Font Size:
Aa Aa Aa
Line Spacing:
Column Width:
Background:
Article

Time Evolution of Market Efficiency and Multifractality of the Japanese Stock Market

Hiroshima University of Economics, Hiroshima 731-0192, Japan
J. Risk Financial Manag. 2022, 15(1), 31; https://doi.org/10.3390/jrfm15010031
Submission received: 7 December 2021 / Revised: 4 January 2022 / Accepted: 7 January 2022 / Published: 11 January 2022
(This article belongs to the Section Financial Markets)

Abstract

:
This study investigates the time evolution of market efficiency in the Japanese stock markets, considering three indices: Tokyo Stock Price Index (TOPIX), Tokyo Stock Exchange Second Section Index, and TOPIX-Small. The Hurst exponent reveals that the Japanese markets are inefficient in their early stages and improve gradually. TOPIX and TOPIX-Small showed an anti-persistence around the year 2000, which still persists. The degree of multifractality varies over time and does not show that the Japanese markets are permanently efficient. The multifractal properties of the Japanese markets changed considerably around the year 2000; this may have been caused by the complete migration from the stock trading floor to the Tokyo Stock Exchange’s computer trading system and the financial system reform, also known as the “Japanese Big Bang”.

1. Introduction

The efficient market hypothesis (EMH) developed and classified by Fama (1970) is an important financial issue because it is crucial to find an optimal trading strategy for institutional investors and practitioners by assessing the correct market status. For instance, in an efficient market, one may adopt a simple strategy to replicate an investment index. Contrarily, in an inefficient market, one may adopt a profitable strategy that uses an abnormality caused by the inefficiency. Fama (1970) classified the EHM into three forms: (i) weak form, (ii) semi-strong form, and (iii) strong form. The weak-form efficient market1 only discusses historical prices. Under this market, the return time series shows no profitable predicting power for future returns. Although the weak-form efficient market has been substantially tested in the literature, no definite evidence on the EMH has been obtained; rather, the possibility of time-varying market efficiency has been discussed (Lim and Brooks 2011).
Empirical studies have found universal properties that are not explained by a simple random walk model, now classified as “stylized facts” (Cont 2001). The major stylized facts include volatility clustering (Bollerslev et al. 1992; Comte and Renault 1996; Cont et al. 1997; Ding et al. 1993; Ding and Granger 1994; Engle 1995), absence of return autocorrelations (Cont et al. 1997; Fama 1970; Pagan 1996), slow decay of autocorrelations in absolute returns (Cont et al. 1997; Ding et al. 1993; Ding and Granger 1994; Granger and Ding 1996; Liu et al. 1997; Takaishi and Adachi 2018), heavy tails (Campbell et al. 1998; Cont et al. 1997; Mandelbrot 1963; Pagan 1996), and so on. Some stylized facts, such as the volatility clustering and the slow decay of autocorrelations in absolute returns, are not consistent with random walk models (Cont et al. 1997; Lo and MacKinlay 2011), implying that price process is not in favor of the EMH based on random walk models. Empirical studies also reveal the existence of anomalies such as momentum (Jegadeesh and Titman 1993) and reversal (De Bondt and Thaler 1985; Jegadeesh 1990), which may offer an opportunity to gain profits. Although the existence of such anomalies seems to exclude the EMH, Fama (1998) claims that the anomalies, especially long-term return anomalies, do not always contradict the EMH. Furthermore, the anomalies observably disappear or weaken after their discovery in academy (Schwert 2003).
A convenient method to test the randomness of a time series is to measure the Hurst exponent (HE), H, classifying the randomness of the time series. The HE was originally introduced by H.E. Hurst in hydrology to determine optimum dam sizing for the Nile river (Hurst 1951) and is related to the autocorrelations of time series. Time series with H > 0.5 have a property that successive movement in the same direction occurs more often than the random walk process, denoted by “persistent”. On the other hand, time series with H < 0.5 have successive movement back and forth more often than the random walk process, denoted by “anti-persistent”. The random walk time series have a value H = 0.5 .
Matteo et al. (2005) classified 32 world stock market indices in approximately 10 years using the HE. Interestingly, they find a clear ranking for the degree of market efficiency and classify the world stock indices into three groups: (A) H > 0.5 (persistent), (B) H 0.5 (random), and (C) H < 0.5 (anti-persistent). All the emerging markets belong to group (A), where the return time series have persistent behavior. The developed markets fall either into (B) or (C).
Some well-developed markets (USA, Japan, France, and Australia) are classified into group (C), suggesting that these markets are rather inefficient. The appearance of this anti-persistency in developed markets is curious, and its origin is not fully understood. Interestingly, the cryptocurrency markets also show anti-persistent behavior at the early stage of the market (Urquhart 2016) and then move to a maturity stage by improving their efficiencies (Drożdż et al. 2018a). It is suggested that ill-liquidity causes the anti-persistence of cryptocurrency markets (Takaishi and Adachi 2020; Wei 2018). Given that the liquidity of developed stock markets is expected to be sufficiently high, different manifestation mechanisms may be applied to the anti-persistent behavior observed in developed stock markets.
This study aims to investigate the evolution of market efficiency in the Japanese stock markets over time from the early days of the markets to the present day. Specifically, we focus on whether the anti-persistence observed in the Japanese market survives to the present day. To quantify the market efficiency, we compute the generalized Hurst exponent (GHE), which can reveal the complexity of the time series that is not captured by the standard HE alone. As mentioned above, the HE is related to the autocorrelations of the time series, i.e., linear correlations. The HE is not enough to measure the complexity or non-linear correlations of the time series. The GHE captures more information on non-linearity of the time series, and we use the GHE to quantify the property of the time series. The time series with variable (constant) GHE is said to be multifractal (monofractal). Since the Gaussian time series are monofractal, the appearance of multifractality means a certain deviation from the Gaussian time series or some market inefficiency. Multifractality offers another insight into market efficiency, and we examine the market efficiency by the degree of multifractality via GHE.
The multifractal method is a powerful technique to analyze the time series property of financial markets. Drożdż et al. (2018b) investigated the long-term records of the S&P 500 and NASDAQ and showed that the multifractal features are related to the most significant historical events. Under the similar concept, by examining the multifractality of return time series, we show that the time series property of the Japanese stock markets changed considerably in around 2000 and infer that this property-change is attributed to the complete migration from the stock trading floor to the Tokyo Stock Exchange’s (TSE’s) computer trading system as well as the Japanese financial reform, known as the “Japanese Big Bang”, that was established in the late 1990s.
This study is organized as follows. Section 2 describes the data and methodology used. Section 3 presents the empirical results of this study. Finally, we discuss the results and conclude the study in Section 4.

2. Data and Methodology

Our analysis is based on the daily price data of three indices of Japanese stocks traded on the TSE. (1) TOPIX: an index based on all domestic common stocks listed in the TSE First Section. (2) Tokyo Stock Exchange Second Section Index (TSE-Second): an index of all domestic common stocks listed in the TSE second section. (3) TOPIX-Small2: an index based on small-sized stocks, excluding the 500 most liquid and highly market-capitalized stocks. The data were retrieved from the JPX data cloud (http://db-ec.jpx.co.jp/, accessed on 12 May 2021), and the time periods of the data used for the analysis are listed in Table 1.
Given the time series of the daily price p ( t ) , t = 1 , 2 , , N , we define the return r ( t ) by a logarithmic price difference, as follows
r ( t ) = log p ( t ) log p ( t 1 ) .
Figure 1 shows the return time series of the three indices, and the descriptive statistics are listed in Table 1.
We determine the GHE h ( q ) using multifractal detrended fluctuation analysis (MFDFA) (Kantelhardt et al. 2002). The MFDFA, which is an extended method of the detrended fluctuation analysis (Peng et al. 1994), can precisely investigate the multifractal properties of non-stationary time series, which has been successfully applied to a variety of financial markets (see, e.g., Jiang et al. 2019).
The MFDFA is described as follows3:
First, we determine the profile Y ( i ) .
Y ( i ) = j = 1 i ( r ( j ) r ) ,
where r stands for the average of returns. Then, we divide the profile Y ( i ) into N s non-overlapping segments of an equal length s, where N s i n t ( N / s ) . Since the length of the time series is not always a multiple of s, a short time period may exist at the end of the profile. To utilize this part, the same procedure is repeated, starting from the end of the profile. Therefore, 2 N s segments are obtained in total. Next, we calculate the variance.
F 2 ( ν , s ) = 1 s i = 1 s ( Y [ ( ν 1 ) s + i ] P ν ( i ) ) 2 ,
for each segment ν , ν = 1 , , N s and
F 2 ( ν , s ) = 1 s i = 1 s ( Y [ N ( ν N s ) s + i ] P ν ( i ) ) 2 ,
for each segment ν , ν = N s + 1 , , 2 N s . Here, P ν ( i ) is the fitting polynomial to remove the local trend in segment ν ; we use a cubic order polynomial. Averaging over all segments, we obtain the qth order fluctuation function
F q ( s ) = 1 2 N s ν = 1 2 N s ( F 2 ( ν , s ) ) q / 2 1 / q .
For q = 0 , the averaging procedure in Equation (5) cannot be directly applied. Instead, we employ the following logarithmic averaging procedure.
F 0 ( s ) = exp 1 4 N s ν = 1 2 N s ln ( F 2 ( ν , s ) ) .
If the time series r ( i ) is long-range power-law correlated, F q ( s ) is expected to be the following functional form for large s:
F q ( s ) s h ( q ) .
The GHE is determined by the scaling exponent h ( q ) . h ( 2 ) corresponds to the HE H, and for h ( 2 ) < 0.5 ( h ( 2 ) > 0.5 ), the time series is classified as anti-persistent (persistent). When h ( q ) varies with q, the time series is multifractal. Conversely, when h ( q ) is constant for any q, the time series is monofractal. We restrict the range of q in q = [ 5 , 5 ] because when | q | is large, the moments in the fluctuation function could diverge, and the calculation of h ( q ) might be unstable (Jiang et al. 2019).
As the MFDFA is applied for a finite time series, we need to choose the length of time series. Since we investigate time evolution of the market efficiency, in this study we choose a length of 1250 working days, which roughly corresponds to 5 years.
The relationship between the multifractal degree and market efficiency has been discussed by Zunino et al. (2008), and we define the degree of multifractality Δ h ( q ) by
Δ h ( q ) = h ( q ) h ( q ) .
As Δ h ( q ) will take the value of zero for the Gaussian time series, a finite Δ h ( q ) is expected to be related to some degree of inefficiency.

3. Empirical Results

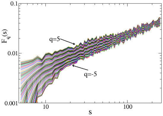
To measure the time evolution of h ( q ) , a rolling window method is used: each h ( q ) is calculated with a time window of 1250 working days (approximately 5 years), and the time window is shifted to 25 days for the next calculation. Figure 2 shows a representative of the fluctuation function F q ( s ) at the first time window of the TOPIX time series. We determine the scaling exponent h ( q ) by fitting to Equation (7) for 25 s and typically the fitting errors δ (%) of h ( q ) are found to be in a range of 0.7 < δ < 3 .
First, we present the results of the HE, h ( 2 ) . Figure 3 shows the time evolution of h ( 2 ) for the returns of three indices, and we find that h ( 2 ) varies considerably over time. To check if this variable behavior originates from time-correlations, we also calculate the h ( 2 ) of randomized return time series. The randomization can eliminate all possible time-correlations of the time series. The red lines in Figure 3 represent the averages of h ( 2 ) , calculated from 20 randomized return time series. The averages of h ( 2 ) fluctuate around 0.5, which is expected in the case of the random time series. Thus, it is confirmed that the variable behavior of HE in the original time series is driven by time correlations.
It is observed that before 1970, h ( 2 ) of TOPIX was greater than 0.5, indicating that the TOPIX market has persistency and is thus inefficient. h ( 2 ) of TOPIX gradually decreases, and it appears that h ( 2 ) reaches 0.5 around the 1980s, indicating that the market becomes efficient. However, h ( 2 ) of TOPIX decreases further to less than 0.5 after around the year 2000, indicating anti-persistency. This anti-persistence was also observed by Matteo et al. (2005), and it persists until today. The h ( 2 ) values of the TSE-Second and TOPIX-Small took a value greater than 0.5 before 2000, indicating that the time series are persistent. Both the h ( 2 ) values of the TSE-Second and TOPIX-Small decreased at the beginning of the 2000s and the h ( 2 ) of TSE-Second reached approximately 0.5, indicating that the TSE-Second market has become efficient.
A steep decrease in h ( 2 ) for all the three indices is observed in around the year 2000. In 1999, the stock trading floor of the TSE was closed4, and a computer trading system was introduced. This migration to the computer trading system may have changed the market status and can explain the steep decrease in h ( 2 ) . Another explanation for this steep decrease is the financial system reform, also known as the “Japanese Big Bang”, which started in the late 1990s (See, e.g., Ito and Melvin 1999). The objective of the “Japanese Big Bang” under the principles of “free, fair, and global” was to make the Japanese financial markets more efficient and internationalized. To achieve this, deregulations such as decontrolling brokerage commissions and dropping the securities transactions tax were introduced in various financial sectors.
For the TOPIX-Small, h ( 2 ) is observed to have decreased to less than 0.5 at the beginning of the 2000s, similar to the TOPIX. This observation suggests that before 2000, although the TSE represented by TOPIX had already become efficient, the market including, only small capital stocks represented by TOPIX-Small, still showed inefficiency. After 2000, both the h ( 2 ) s from TOPIX and TOPIX-Small showed similar anti-persistency. Thus, the market status of the TSE, including the small capital stock sector, has become similar to that of TOPIX.
Next, we examine the multifractal properties by the GHE, h ( q ) . Figure 4 is a representative of h ( q ) as a function of q at the first time window of the TOPIX time series. In Figure 4, we find that h ( q ) is not constant, thereby showing the multifractality of the time series. To investigate the time evolution of h ( q ) , we show h ( q ) in three-dimensional plots in Figure 5; we recognize that the h ( q ) values of the three indices at any given time are not constant, exhibiting the multifractal nature of the return time series. The functional form of h ( q ) varies considerably over time, causing the surface of h ( q ) on the q-time plane to fluctuate. Before 2000, the area with h ( q ) > 0.5 , represented in yellow and orange, dominated the others. After 2000, the area with h ( q ) < 0.5 , represented in blue and light blue, has expanded. These results suggest that the market status by multifractality changed substantially in around 2000, which is possibly attributable to the complete migration to the TSE’s computer trading system and the financial system reform, also seen in h ( 2 ) .
Finally, we quantify the degree of the multifractality by Δ h ( q ) and investigate market efficiency. Although the existence of multifractality or a finite Δ h ( q ) might be related to market inefficiency, it should be noted that two possible sources of multifractality exist: (i) time correlations and (ii) broad (fat-tailed) return distributions (Kantelhardt et al. 2002). The degree of multifractality by Δ h ( q ) could contain a multifractal component from the fat-tailed distribution. To subtract the component of the time correlations that relate to market efficiency, we also performed a multifractal analysis for a randomized time series containing the component from the fat-tailed distribution only and then calculated the time-correlation component of the multifractal degree by
Δ h t i m e ( q ) = Δ h o r i g ( q ) Δ h r a n d ( q ) ,
where Δ h o r i g ( q ) and Δ h r a n d ( q ) are the degree of the multifractality for original and randomized time series, respectively. Taking q = 4 , we plot Δ h o r i g ( 4 ) and Δ h r a n d ( 4 ) in Figure 6. In addition, to investigate the contribution of linear correlations to the multifractality we calculate the degree of the multifractality for the surrogate time series (Schreiber and Schmitz 2000; Theiler et al. 1991) and also plot the results in Figure 6 as Δ h p h a s e ( 4 ) and Δ h a m p ( 4 ) . Δ h p h a s e ( 4 ) is obtained from the phase randomized surrogate time series, which eliminates the distributional properties and time correlations, except for the linear correlation. Δ h a m p ( 4 ) is obtained from the amplitude adjusted surrogate series which keep the linear correlation and the distributional properties. We generate 20 surrogate time series for each time window and calculate averages of the GHE over those time series. The amplitude of Δ h p h a s e ( 4 ) is found to be small, meaning that the contribution of linear correlations to the multifractality is small. We find that Δ h a m p ( 4 ) and Δ h r a n d ( 4 ) have a similar time variation, which also indicates that the contribution of linear correlations is small, and thus Δ h a m p ( 4 ) and Δ h r a n d ( 4 ) mainly exhibit the degree of multifractality from the return distributions. As typically Δ h o r i g ( 4 ) is larger than Δ h a m p ( 4 ) , Δ h o r i g ( 4 ) contains the contributions from complex non-linear correlations. Δ h r a n d ( 4 ) takes mostly non-zero values and varies over time, implying that the return distribution contributes to the appearance of the multifractality, and the form of return distribution may vary over time.
As seen in Figure 7, Δ h t i m e ( 4 ) varies over time, and there is no indication that Δ h t i m e ( 4 ) converges to zero, meaning that the Japanese markets are inefficient. It especially contrasts with h ( 2 ) of TSE-Second, showing that the recent market is efficient only judging by h ( 2 ) . Our observation implies that multifractality is induced by complex time correlations uncaptured by HE alone, and the Japanese stock markets quantified by the multifractality are inefficient.

4. Discussion and Conclusions

The HE in the early stage of the Japanese stock markets was higher than 0.5, indicating an inefficient market. Consequently, it decreased to 0.5 in around 2000, indicating an improved market efficiency. The return time series of TOPIX and TOPIX-Small exhibit an HE smaller than 0.5 after 2000, showing the anti-persistent property of the time series. Anti-persistency means that the up–down reversal of returns occurs more often than the random walk process, and this observation could explain why the momentum effect that causes rising (falling) assets to rise (fall) is insignificant in the Japanese stock market (Liu and Lee 2001).
There exists multifractality in the Japanese stock markets without any indication that it disappears. The multifractal properties changed considerably in around 2000, which is possibly attributable to the complete migration to the computer trading system and adoption of the financial system reform, “Japanese Big Bang”.
The existence of multifractality implies that the return time series could have complex time-correlations that are not captured by HE alone, and the Japanese stock markets are not always efficient. The inefficiency observed by multifractality could offer an opportunity to gain profits, and one can use the strategy of multifractality, such as multifractal characteristics, to predict the returns as advocated by Fu et al. (2018).
Our study reveals that the degree of multifractality varies over time, implying that market efficiency is not stable but changes over time. Thus, even if the EMH is established, it does not seem to hold permanently. Our observation might be consistent with the view of the adaptive market hypothesis (Lo 2004), which combines the EMH with behavioral finance and results in time-varying market efficiency.
On the markets with large inefficiencies such as emerging markets (Matteo et al. 2005), asset prices could be mispriced and apart from the fundamental values, which might result in increasing instability of the markets and the market risk for investors. To achieve less risky markets, one way is to improve the market efficiency which can be done by increasing disclosure of information from available sources to the public so that investors can obtain the correct information on their investments. An efficient disclosure might be done by the government policy with legal force.
The present study considers only the return time series of the Japanese stock markets. Given that some other markets also experience anti-persistency5, future studies should explore whether such markets still exhibit anti-persistency and have a time-varying multifractal nature.
[custom] References

Funding

This research was funded by a Grant-in-Aid from the Zengin Foundation for Studies on Economics and Finance and in part by JSPS KAKENHI Grant Numbers [JP18K01556 and JP21K01435].

Institutional Review Board Statement

Not applicable.

Informed Consent Statement

Not applicable.

Data Availability Statement

The data are available from the JPX data cloud (http://db-ec.jpx.co.jp/, accessed on 12 May 2021).

Acknowledgments

Numerical calculations for this work were carried out at the Yukawa Institute Computer Facility and at the facilities of the Institute of Statistical Mathematics.

Conflicts of Interest

The author declares no conflict of interest.

Notes

1
Throughout this study, we focus on the weak-form efficient market of the EMH.
2
TOPIX-Large also exists, an index including the 100 most liquid and highly market capitalized stocks. We find that the results of the TOPIX-Large are mostly similar to those of TOPIX. Thus, in this study, we consider only TOPIX.
3
For a more detailed description, see, e.g., Kantelhardt et al. (2002).
4
See, e.g., “History of Tokyo Stock Exchange”, https://www.jpx.co.jp/english/corporate/about-jpx/history/01.html (accessed 30 August 2021).
5
A recent study shows that the S&P500 has a decreasing trend of h ( 2 ) under 0.5 (Drożdż et al. 2018b).

References

  1. Bollerslev, Tim, Ray Y. Chou, and Kenneth F. Kroner. 1992. ARCH modeling in finance: A review of the theory and empirical evidence. Journal of Econometrics 52: 5–59. [Google Scholar] [CrossRef]
  2. Campbell, John Y., Andrew W. Lo, A. Craig MacKinlay, and Robert F. Whitelaw. 1998. The econometrics of financial markets. Macroeconomic Dynamics 2: 559–62. [Google Scholar] [CrossRef]
  3. Comte, Fabienne, and Eric Renault. 1996. Long memory continuous time models. Journal of Econometrics 73: 101–49. [Google Scholar] [CrossRef]
  4. Cont, Rama, Marc Potters, and Jean-Philippe Bouchaud. 1997. Scaling in stock market data: Stable laws and beyond. In Scale Invariance and Beyond. Berlin/Heidelberg: Springer, pp. 75–85. [Google Scholar]
  5. Cont, Rama. 2001. Empirical Properties of Asset Returns: Stylized Facts and Statistical Issues. Quantitative Finance 1: 223–36. [Google Scholar] [CrossRef]
  6. De Bondt, Werner F. M., and Richard Thaler. 1985. Does the stock market overreact? The Journal of Finance 40: 793–805. [Google Scholar] [CrossRef]
  7. Di Matteo, Tiziana, Tomaso Aste, and Michel M. Dacorogna. 2005. Long-term memories of developed and emerging markets: Using the scaling analysis to characterize their stage of development. Journal of Banking & Finance 29: 827–51. [Google Scholar]
  8. Ding, Zhuanxin, Clive W. J. Granger, and Robert F. Engle. 1993. A long memory property of stock market returns and a new model. Journal of Empirical Finance 1: 83–106. [Google Scholar] [CrossRef]
  9. Ding, Zhuanxin, and Clive W. J. Granger. 1994. Stylized Facts on the Temporal Distributional Properties of Daily Data from Speculative Markets. Technical Report, Working Paper. San Diego: University of California. [Google Scholar]
  10. Drożdż, Stanisław, Robert Gȩbarowski, Ludovico Minati, Paweł Oświȩcimka, and Marcin Wa̧torek. 2018a. Bitcoin market route to maturity? Evidence from return fluctuations, temporal correlations and multiscaling effects. Chaos: An Interdisciplinary Journal of Nonlinear Science 28: 071101. [Google Scholar] [CrossRef] [Green Version]
  11. Drożdż, Stanisław, Rafał Kowalski, Paweł Oświȩcimka, Rafał Rak, and Robert Gȩbarowski. 2018b. Dynamical variety of shapes in financial multifractality. Complexity 2018: 7015721. [Google Scholar] [CrossRef]
  12. Engle, Robert F. 1995. ARCH: Selected Readings. Oxford: Oxford University Press. [Google Scholar]
  13. Fama, Eugene F. 1970. Efficient capital markets: A review of theory and empirical work. The Journal of Finance 25: 383–417. [Google Scholar] [CrossRef]
  14. Fama, Eugene F. 1998. Market efficiency, long-term returns, and behavioral financee. Journal of Financial Economics 49: 283–306. [Google Scholar] [CrossRef]
  15. Fu, Xin-Lan, Xing-Lu Gao, Zheng Shan, Zhi-Qiang Jiang, and Wei-Xing Zhou. 2018. Multifractal characteristics and return predictability in the Chinese stock markets. arXiv, arXiv:1806.07604. [Google Scholar]
  16. Granger, Clive W. J., and Zhuanxin Ding. 1996. Varieties of long memory models. Journal of Econometrics 73: 61–77. [Google Scholar] [CrossRef]
  17. Hurst, Harold Edwin. 1951. Long-term storage capacity of reservoirs. Transactions of the American Society of Civil Engineers 116: 770–99. [Google Scholar] [CrossRef]
  18. Ito, Takatoshi, and Michael Melvin. 1999. Japan’s Big Bang and the Transformation of Financial Markets. In Natinal Bureau of Economics Research. Woring Paper 7247. Oxford: Oxford University Press. [Google Scholar]
  19. Jegadeesh, Narasimhan. 1990. Evidence of predictable behavior of security returns. The Journal of Finance 45: 881–98. [Google Scholar] [CrossRef]
  20. Jegadeesh, Narasimhan, and Sheridan Titman. 1993. Returns to buying winners and selling losers: Implications for stock market efficiency. The Journal of Finance 48: 65–91. [Google Scholar] [CrossRef]
  21. Jiang, Zhi-Qiang, Wen-Jie Xie, Wei-Xing Zhou, and Didier Sornette. 2019. Multifractal analysis of financial markets. Reports on Progress in Physics 82: 125901. [Google Scholar] [CrossRef] [Green Version]
  22. Kantelhardt, Jan W., Stephan A. Zschiegner, Eva Koscielny-Bunde, Shlomo Havlin, Armin Bunde, and H. Eugene Stanley. 2002. Multifractal detrended fluctuation analysis of nonstationary time series. Physica A 316: 87–114. [Google Scholar] [CrossRef] [Green Version]
  23. Lim, Kian-Ping, and Robert Brooks. 2011. The evolution of stock market efficiency over time: A survey of the empirical literature. Journal of Economic Surveys 25: 69–108. [Google Scholar] [CrossRef]
  24. Liu, Yanhui, Pierre Cizeau, Martin Meyer, C.-K. Peng, and H. Eugene Stanley. 1997. Correlations in economic time series. Physica A: Statistical Mechanics and Its Applications 245: 437–440. [Google Scholar] [CrossRef] [Green Version]
  25. Liu, Chunlin, and Yul Lee. 2001. Does the momentum strategy work universally? Evidence from the Japanese stock market. Asia-Pacific Financial Markets 8: 321–39. [Google Scholar] [CrossRef]
  26. Lo, Andrew W. 2004. The Adaptive Markets Hypothesis. The Journal of Portfolio Management 30: 15–29. [Google Scholar] [CrossRef]
  27. Lo, Andrew W., and A. Craig MacKinlay. 2011. A Non-Random Walk down Wall Street. Princeton: Princeton University Press. [Google Scholar]
  28. Mandelbrot, Benoit B. 1963. The Variation of Certain Speculative Prices. The Journal of Business 36: 394–419. [Google Scholar] [CrossRef]
  29. Pagan, Adrian. 1996. The econometrics of financial markets. Journal of Empirical Finance 3: 15–102. [Google Scholar] [CrossRef]
  30. Peng, Chung Kang, Sergey V. Buldyrev, Shlomo Havlin, Michael Simons, H. Eugene Stanley, and Ary Louis Goldberger. 1994. Mosaic organization of DNA nucleotides. Physical Review E 49: 1685. [Google Scholar] [CrossRef] [PubMed] [Green Version]
  31. Schreiber, Thomas, and Andreas Schmitz. 2000. Surrogate time series. Physica D: Nonlinear Phenomena 142: 346–82. [Google Scholar] [CrossRef] [Green Version]
  32. Schwert, G. William. 2003. Anomalies and market efficiency. Handbook of the Economics of Finance 1: 939–74. [Google Scholar]
  33. Takaishi, Tetsuya, and Takanori Adachi. 2018. Taylor effect in Bitcoin time series. Economics Letters 172: 5–7. [Google Scholar] [CrossRef]
  34. Takaishi, Tetsuya, and Takanori Adachi. 2020. Market efficiency, liquidity, and multifractality of Bitcoin: A dynamic study. Asia-Pacific Financial Markets 27: 145–54. [Google Scholar] [CrossRef] [Green Version]
  35. Theiler, James, Bryan Galdrikian, Andrée Longtin, Stephen Eubank, and J Doyne Farmer. 1991. Using Surrogate Data to Detect Nonlinearity in Time Series. Technical Report. Los Alamos: Los Alamos National Lab. [Google Scholar]
  36. Urquhart, Andrew. 2016. The inefficiency of Bitcoin. Economics Letters 148: 80–82. [Google Scholar] [CrossRef]
  37. Wei, Wang Chun. 2018. Liquidity and market efficiency in cryptocurrencies. Economics Letters 168: 21–24. [Google Scholar] [CrossRef]
  38. Zunino, Luciano, Benjamin Tabak, Alejandra Figliola, Darío G. Pérez, Mario Garavaglia, and Osvaldo A. Rosso. 2008. A multifractal approach for stock market inefficiency. Physica A 387: 6558–66. [Google Scholar] [CrossRef]
Figure 1. Return time series of the three indices (top) Topix, (middle) TSE-Second, and (bottom) TOPIX-Small.
Figure 1. Return time series of the three indices (top) Topix, (middle) TSE-Second, and (bottom) TOPIX-Small.
Jrfm 15 00031 g001
Figure 2. A representative of the fluctuation function F q ( s ) at the first time window of TOPIX time series. The results are plotted from q = 5 (bottom) to q = 5 (up) with a step of 0.1.
Figure 2. A representative of the fluctuation function F q ( s ) at the first time window of TOPIX time series. The results are plotted from q = 5 (bottom) to q = 5 (up) with a step of 0.1.
Jrfm 15 00031 g002
Figure 3. Time evolution of h ( 2 ) for TOPIX, TSE-Second, and TOPIX-Small. The red lines show h ( 2 ) calculated from the 20 randomized time series. The blue symbols with error bars represent a typical fitting error level of 1%.
Figure 3. Time evolution of h ( 2 ) for TOPIX, TSE-Second, and TOPIX-Small. The red lines show h ( 2 ) calculated from the 20 randomized time series. The blue symbols with error bars represent a typical fitting error level of 1%.
Jrfm 15 00031 g003
Figure 4. h ( q ) as a function of q at the first time window of the TOPIX time series. The blue symbol with error bar represents a typical fitting error level of 1%.
Figure 4. h ( q ) as a function of q at the first time window of the TOPIX time series. The blue symbol with error bar represents a typical fitting error level of 1%.
Jrfm 15 00031 g004
Figure 5. Three-dimensional plots of the GHE h ( q ) . The bottom plane in each plot represents a viewing map on the time-q plane.
Figure 5. Three-dimensional plots of the GHE h ( q ) . The bottom plane in each plot represents a viewing map on the time-q plane.
Jrfm 15 00031 g005
Figure 6. Time evolution of Δ h o r i g ( 4 ) (black) and Δ h r a n d ( 4 ) (red), Δ h a m p ( 4 ) (blue), and Δ h p h a s e ( 4 ) (green).
Figure 6. Time evolution of Δ h o r i g ( 4 ) (black) and Δ h r a n d ( 4 ) (red), Δ h a m p ( 4 ) (blue), and Δ h p h a s e ( 4 ) (green).
Jrfm 15 00031 g006
Figure 7. Time evolution of the time-correlation component of the degree of multifractality, Δ h t i m e ( 4 ) .
Figure 7. Time evolution of the time-correlation component of the degree of multifractality, Δ h t i m e ( 4 ) .
Jrfm 15 00031 g007
Table 1. Time period of the data used and descriptive statistics of the returns.
Table 1. Time period of the data used and descriptive statistics of the returns.
IndexPeriodAverageVarianceKurtosisSkewness
TOPIX16 May 1949–30 December 2020 2.3 × 10 4 1.1 × 10 4 14.7−0.427
TSE-Second2 November 1961–30 December 2020 2.5 × 10 4 6.8 × 10 5 17.3−1.14
TOPIX-Small4 October 1968–30 December 2020 2.5 × 10 4 9.9 × 10 5 15.7−0.884
Publisher’s Note: MDPI stays neutral with regard to jurisdictional claims in published maps and institutional affiliations.

Share and Cite

MDPI and ACS Style

Takaishi, T. Time Evolution of Market Efficiency and Multifractality of the Japanese Stock Market. J. Risk Financial Manag. 2022, 15, 31. https://doi.org/10.3390/jrfm15010031

AMA Style

Takaishi T. Time Evolution of Market Efficiency and Multifractality of the Japanese Stock Market. Journal of Risk and Financial Management. 2022; 15(1):31. https://doi.org/10.3390/jrfm15010031

Chicago/Turabian Style

Takaishi, Tetsuya. 2022. "Time Evolution of Market Efficiency and Multifractality of the Japanese Stock Market" Journal of Risk and Financial Management 15, no. 1: 31. https://doi.org/10.3390/jrfm15010031

APA Style

Takaishi, T. (2022). Time Evolution of Market Efficiency and Multifractality of the Japanese Stock Market. Journal of Risk and Financial Management, 15(1), 31. https://doi.org/10.3390/jrfm15010031

Article Metrics

Back to TopTop