How Does COVID-19 Affect House Prices? A Cross-City Analysis
Abstract
1. Introduction
2. Research Method
2.1. Five Areas
2.2. COVID-19 Stay Home Orders and Economic Features
2.3. Identification Strategy
3. Data
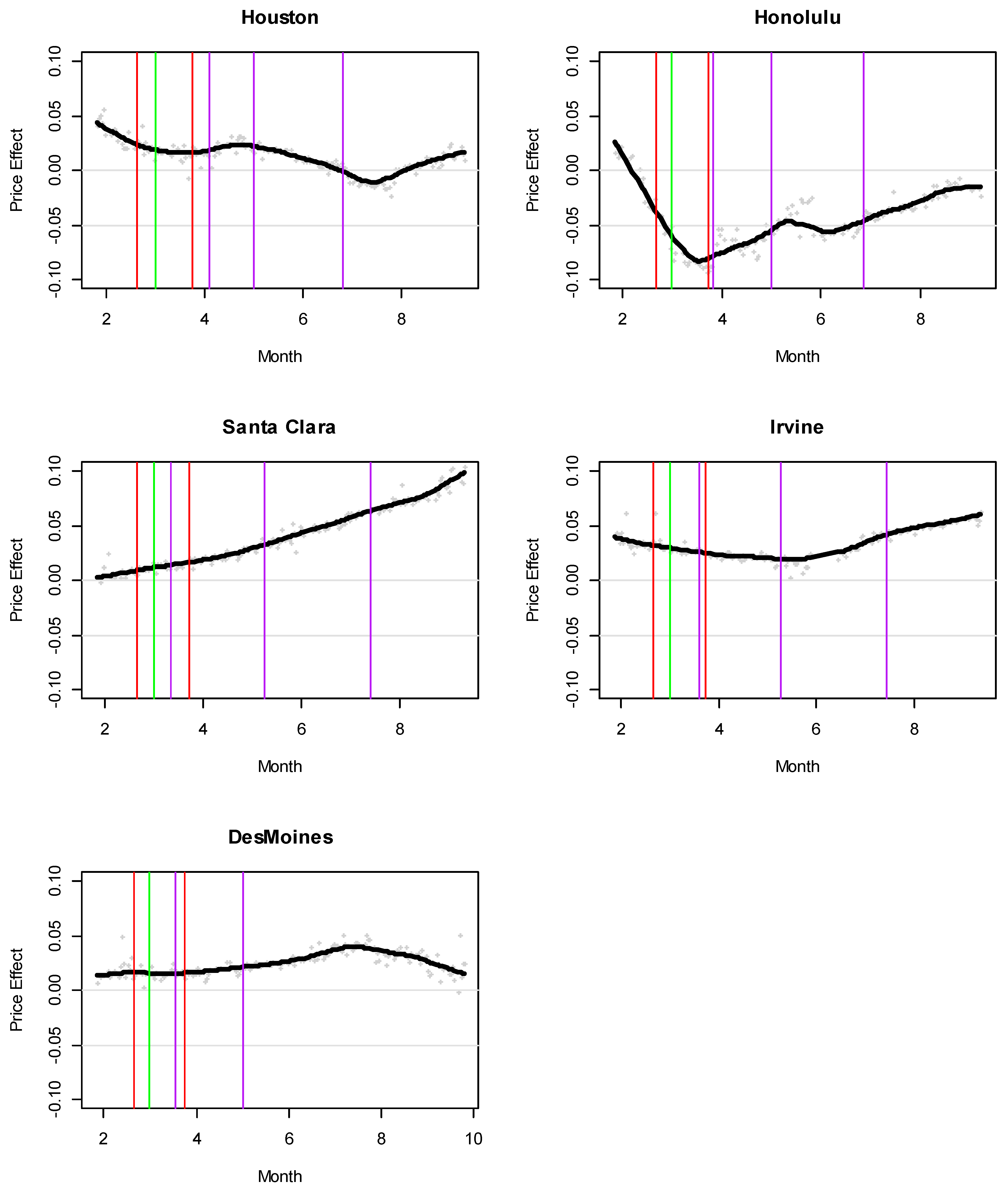
4. Results
4.1. Houston
4.2. Honolulu
4.3. Santa Clara
4.4. Irvine
4.5. Des Moines
5. Conclusions
Funding
Institutional Review Board Statement
Informed Consent Statement
Data Availability Statement
Conflicts of Interest
References
- Baker, Scott R, Nicholas Bloom, Steven J Davis, Kyle Kost, Marco Sammon, and Tasaneeya Viratyosin. 2020a. The Unprecedented Stock Market Reaction to COVID-19. The Review of Asset Pricing Studies, raaa008. [Google Scholar]
- Baker, Scott R, Robert A. Farrokhnia, Steffen Meyer, Michaela Pagel, and Constantine Yannelis. 2020b. How Does Household Spending Respond to an Epidemic? Consumption during the 2020 COVID-19 Pandemic. The Review of Asset Pricing Studies 10: 834–62. [Google Scholar] [CrossRef]
- Brueckner, Jan K., and James R. Follain. 1989. ARMs and the demand for housing. Regional Science and Urban Economics 19: 163–87. [Google Scholar] [CrossRef]
- Campbell, John Y., Stefano Giglio, and Parag Pathak. 2011. Forced Sales and House Prices. American Economic Review 101: 2108–31. [Google Scholar] [CrossRef]
- CNBC. 2020. 5 Charts Show What the Global Economy Looks Like Heading into 2021. Available online: https://www.cnbc.com/2020/12/28/5-charts-show-covid-impact-on-the-global-economy-in-2020.html (accessed on 14 January 2021).
- CNN. 2020. Federal Reserve Cuts Rates to Zero to Support the Economy during the Coronavirus Pandemic. Available online: https://edition.cnn.com/2020/03/15/economy/federal-reserve/index.html (accessed on 14 January 2021).
- Del Giudice, Vincenzo, Pierfrancesco De Paola, and Francesco Paolo Del Giudice. 2020. COVID-19 Infects Real Estate Markets: Short and Mid-Run Effects on Housing Prices in Campania Region (Italy). Social Sciences 9: 114. [Google Scholar] [CrossRef]
- Diamond, Rebecca, and Timothy McQuade. 2019. Who Wants Affordable Housing in their Backyard? An Equilibrium Analysis of Low Income Property Development. Journal of Political Economy 127: 1063–17. [Google Scholar] [CrossRef]
- Green, Richard K., and Patric H. Hendershott. 1995. Age, Housing Demand, and Real House Prices. Regional Science and Urban Economics 26: 465–80. [Google Scholar] [CrossRef]
- Harris, J.C. 1989. The effect of real rates of interest on housing prices. The Journal of Real Estate Finance and Economics 2: 47–60. [Google Scholar] [CrossRef]
- Haurin, Donald R., and H. Leroy Gill. 1987. Effects of income variability on the demand for owner-occupied housing. Journal of Urban Economics 22: 136–50. [Google Scholar] [CrossRef]
- Ling, David C., Chongyu Wang, and Tingyu Zhou. 2020. A First Look at the Impact of COVID-19 on Commercial Real Estate Prices: Asset-Level Evidence. Review of Asset Pricing Studies. Available online: https://ssrn.com/abstract=3593101 (accessed on 23 June 2020). [CrossRef]
- Loxton, Mary, Robert Truskett, Brigitte Scarf, Laura Sindone, George Baldry, and Yinong Zhao. 2020. Consumer Behaviour during Crises: Preliminary Research on How Coronavirus Has Manifested Consumer Panic Buying, Herd Mentality, Changing Discretionary Spending and the Role of the Media in Influencing Behaviour. Journal of Risk and Financial Management 13: 166. [Google Scholar] [CrossRef]
- Mayer, Christopher J., and C. Tsuriel Somerville. 2000. Residential Construction: Using the Urban Growth Model to Estimate Housing Supply. Journal of Urban Economics 48: 85–109. [Google Scholar] [CrossRef]
- Mazur, Mieszko, Man Dang, and Miguel Vega. 2020. COVID-19 and the march 2020 stock market crash. Evidence from S&P1500. Finance Research Letters, 101690. [Google Scholar] [CrossRef]
- Mian, Atif, and Amir Sufi. 2011. House Prices, Home Equity-Based Borrowing, and the US Household Leverage Crisis. American Economic Review 101: 2132–56. [Google Scholar] [CrossRef]
- NBC. 2020. Will a Work From Home Exodus Drop Bay Area Housing Prices? Available online: https://www.nbcbayarea.com/news/coronavirus/will-a-work-from-home-exodus-drop-bay-area-housing-prices/2295371/ (accessed on 14 January 2021).
- Schwab, Robert M. 1982. Inflation Expectations and the Demand for Housing. American Economic Review 72: 143–53. [Google Scholar]
- Shilling, James, John Benjamin, and C. Sirmans. 1990. Estimating Net Realizable Value for Distressed Real Estate. Journal of Real Estate Research 5: 129–40. [Google Scholar]
- Thatcher, Arran, Mona Zhang, Hayden Todoroski, Anthony Chau, Joanna Wang, and Gang Liang. 2020. Predicting the Impact of COVID-19 on Australian Universities. Journal of Risk and Financial Management 13: 188. [Google Scholar] [CrossRef]
- Thorbecke, Willem. 2020. The Impact of the COVID-19 Pandemic on the U.S. Economy: Evidence from the Stock Market. Journal of Risk and Financial Management 13: 233. [Google Scholar] [CrossRef]
- Viscusi, W. 1990. Sources of Inconsistency in Societal Responses to Health Risks. The American Economic Review 80: 257–61. [Google Scholar]
- Wang, Chuanyi, Zhe Cheng, Xiao-Guang Yue, and Michael McAleer. 2020. Risk management of COVID-19 by universities in China. Journal of Risk and Financial Management 13: 36. [Google Scholar] [CrossRef]
- Wong, Grace. 2008. Has SARS infected the property market Evidence from Hong Kong. Journal of Urban Economics 63: 74–95. [Google Scholar] [CrossRef] [PubMed]
- Yue, Xiao-Guang, Xue-Feng Shao, Rita Yi Man Li, M. James C. Crabbe, Lili Mi, Siyan Hu, Julien S Baker, Liting Liu, and Kechen Dong. 2020. Risk Prediction and Assessment: Duration, Infections, and Death Toll of the COVID-19 and Its Impact on China’s Economy. Journal of Risk and Financial Management 13: 66. [Google Scholar] [CrossRef]
| 1 | For the before, we also tried including more months, dating back to August to February. The results do not change much. |
| 2 | |
| 3 | The data are downloaded where Redfin lists the property information that are transacted from https://www.redfin.com/. |
| 4 |



| Variables | Houston | Santa Clara | Honolulu | Irvine | Des Moines |
|---|---|---|---|---|---|
| Cases per 100 k | 3246 | 1781 | 1265 | 1837 | 4402 |
| Stay-home start time | 2 April 2020 | 11 March 2020 | 25 March 2020 | 19 March 2020 | 17 March 020 |
| Stay-home end time | 30 April 2020 | 8 May 2020 | 30 April 2020 | 5 August 2020 | 1 May 2020 |
| Duration in days | 28 | 55 | 36 | 51 | 46 |
| Reverse | 25 June 2020 | 13 July 2020 | 27 June 2020 | 13 July 2020 | - |
| Population in million | 2.320 | 1.279 | 0.347 | 0.282 | 0.216 |
| Annual population growth in % | 19.35 | 8.37 | 2.24 | 2.20 | 15.30 |
| Unemployment rate in % | 11.9 | 11.7 | 26.6 | 11.3 | 8.8 |
| Service industry share in % | 10.04 | 7.8 | 15.08 | 6.65 | 10.46 |
| Median income in 2018 | USD 51,140 | USD 126,606 | USD 84,423 | USD 101,667 | USD 68,291 |
| Median house value | USD 161,300 | USD 1,110,000 | USD 649,800 | USD 843,600 | USD 189,200 |
| Home-ownership rate % | 42.6 | 55.6 | 55.8 | 46 | 59.7 |
| White in % | 57.6 | 30.9 | 21.6 | 38.9 | 65.4 |
| Black in % | 22.5 | 2.42 | 2.8 | 0.991 | 11.3 |
| Asian in % | 6.9 | 37 | 42.9 | 42.5 | 6.5 |
| Hispanics in % | 44.0 | 13.4 | 10.0 | 9.92 | 13.3 |
| Variables | (1) Houston | (2) Santa Clara | (3) Honolulu | (4) Irvine | (5) Des Moines | |
|---|---|---|---|---|---|---|
| Observations | ||||||
| Control Before | 236 | 227 | 213 | 132 | 159 | |
| Treatment Before | 2526 | 2614 | 2000 | 1691 | 1835 | |
| Control After | 273 | 244 | 211 | 206 | 190 | |
| Treatment After | 2449 | 3665 | 1523 | 1518 | 2295 | |
| All | 5484 | 6750 | 3947 | 3547 | 4479 | |
| House Prices | ||||||
| Control Before | 412,834 | 977,500 | 569,980 | 886,000 | 151,370 | |
| Treatment Before | 420,510 | 1,051,813 | 624,688 | 875,431 | 158,614 | |
| Control After | 417,468 | 918,900 | 626,600 | 870,780 | 153,240 | |
| Treatment After | 440,229 | 1,161,493 | 584,375 | 862,398 | 168,200 | |
| Square footage | ||||||
| Control Before | 2294 | 1535 | 1214 | 2114 | 1200 | |
| (987) | (651) | (891) | (1246) | (401) | ||
| Treatment Before | 2457 | 1648 | 1261 | 2052 | 1270 | |
| (1029) | (772) | (891) | (937) | (535) | ||
| Control After | 2465 | 1607 | 1326 | 2154 | 1194 | |
| (1024) | (732) | (1167) | (1169) | (428) | ||
| Treatment After | 2456 | 1751 | 1281 | 2064 | 1309 | |
| (1158) | (733) | (960) | (1081) | (548) | ||
| Number of bedrooms | ||||||
| Control Before | 3.05 | 3.04 | 2.33 | 3.15 | 2.9 | |
| (0.82) | (1.06) | (1.71) | (1.09) | (0.89) | ||
| Treatment Before | 3.11 | 3.08 | 2.44 | 3.2 | 2.92 | |
| (0.93) | (1.10) | (1.69) | (1.03) | (0.85) | ||
| Control After | 3.17 | 3.02 | 2.49 | 3.16 | 2.86 | |
| (0.95) | (1.00) | (1.62) | (1.05) | (0.80) | ||
| Treatment After | 3.09 | 3.33 | 2.49 | 3.16 | 2.97 | |
| (0.90) | (0.94) | (1.68) | (1.05) | (0.93) | ||
| Number of bathrooms | ||||||
| Control Before | 2.74 | 2.2 | 1.79 | 2.72 | 1.54 | |
| (0.95) | (0.78) | (0.96) | (1.04) | (0.57) | ||
| Treatment Before | 2.86 | 2.23 | 1.89 | 2.72 | 1.63 | |
| (1.00) | (.86) | (1.01) | (0.94) | (0.64) | ||
| Control After | 3.01 | 2.21 | 2.00 | 2.81 | 1.62 | |
| (1.05) | (0.87) | (1.41) | (0.99) | (0.66) | ||
| Treatment After | 2.89 | 2.33 | 1.89 | 2.75 | 1.67 | |
| (1.04) | (0.87) | (1.02) | (1.02) | (0.69) | ||
| Year built | ||||||
| Control Before | 1986 | 1973 | 1971 | 1999 | 1948 | |
| (28) | (23) | (17) | (15) | (30) | ||
| Treatment Before | 1987 | 1973 | 1971 | 1999 | 1951 | |
| (27) | (23) | (17) | (16) | (31) | ||
| Control After | 1989 | 1972 | 1970 | 2001 | 1954 | |
| (29) | (23) | (17) | (15) | (33) | ||
| Treatment After | 1988 | 1970 | 1972 | 1999 | 1952 | |
| (30) | (24) | (17) | (16) | (34) | ||
| Lot size | ||||||
| Control Before | 23,491 | 4785 | 44,790 | 5766 | 10,966 | |
| (70,595) | (3,515) | (62,624) | (6705) | (8195) | ||
| Treatment Before | 22,388 | 6571 | 54,841 | 6222 | 10,246 | |
| (70,134) | (18,449) | (87,875) | (36,651) | (6494) | ||
| Control After | 29,137 | 5587 | 48,950 | 5592 | 9462 | |
| (97,077) | (4302) | (88,835) | (9751) | (5682) | ||
| Treatment After | 18,976 | 6899 | 53,076 | 5652 | 10,893 | |
| (63,166) | (11,474) | (80,844) | (15,366) | (12,404) | ||
| Month of 2020 | Houston | Santa Clara | Honolulu | Irvine | Des Moines |
|---|---|---|---|---|---|
| February | 0.0257 | 0.0089 | −0.0225 | 0.0348 | 0.0185 |
| March | 0.0153 | 0.0149 | −0.0793 | 0.0269 | 0.0160 |
| April | 0.0220 | 0.0234 | −0.0669 | 0.0221 | 0.0184 |
| May | 0.0177 | 0.0361 | −0.0431 | 0.0168 | 0.0237 |
| June | 0.0040 | 0.0505 | −0.0515 | 0.0298 | 0.0324 |
| July | −0.0111 | 0.0655 | −0.0354 | 0.0433 | 0.0404 |
| August | 0.0087 | 0.0789 | −0.0178 | 0.0524 | 0.0320 |
| September | 0.0143 | 0.0997 | −0.0176 | 0.0580 | 0.0201 |
| Average | 0.0121 | 0.0472 | −0.0418 | 0.0355 | 0.0201 |
Publisher’s Note: MDPI stays neutral with regard to jurisdictional claims in published maps and institutional affiliations. |
© 2021 by the author. Licensee MDPI, Basel, Switzerland. This article is an open access article distributed under the terms and conditions of the Creative Commons Attribution (CC BY) license (http://creativecommons.org/licenses/by/4.0/).
Share and Cite
Wang, B. How Does COVID-19 Affect House Prices? A Cross-City Analysis. J. Risk Financial Manag. 2021, 14, 47. https://doi.org/10.3390/jrfm14020047
Wang B. How Does COVID-19 Affect House Prices? A Cross-City Analysis. Journal of Risk and Financial Management. 2021; 14(2):47. https://doi.org/10.3390/jrfm14020047
Chicago/Turabian StyleWang, Bingbing. 2021. "How Does COVID-19 Affect House Prices? A Cross-City Analysis" Journal of Risk and Financial Management 14, no. 2: 47. https://doi.org/10.3390/jrfm14020047
APA StyleWang, B. (2021). How Does COVID-19 Affect House Prices? A Cross-City Analysis. Journal of Risk and Financial Management, 14(2), 47. https://doi.org/10.3390/jrfm14020047
