microRNA Profile Associated with Positive Lymph Node Metastasis in Early-Stage Cervical Cancer
Abstract
:1. Introduction
2. Materials and Methods
2.1. Patients and Tumor Samples
2.2. RNA Extraction
2.3. Global miRNA Expression Profiles
2.4. Validation of the miRNA Profiles by RT-qPCR
2.5. Prediction of miRNA Target Genes and Pathways
2.6. Statistical Analysis
3. Results
3.1. Patients and Samples
3.2. miRNA Profile Associated with LNM+ Patients
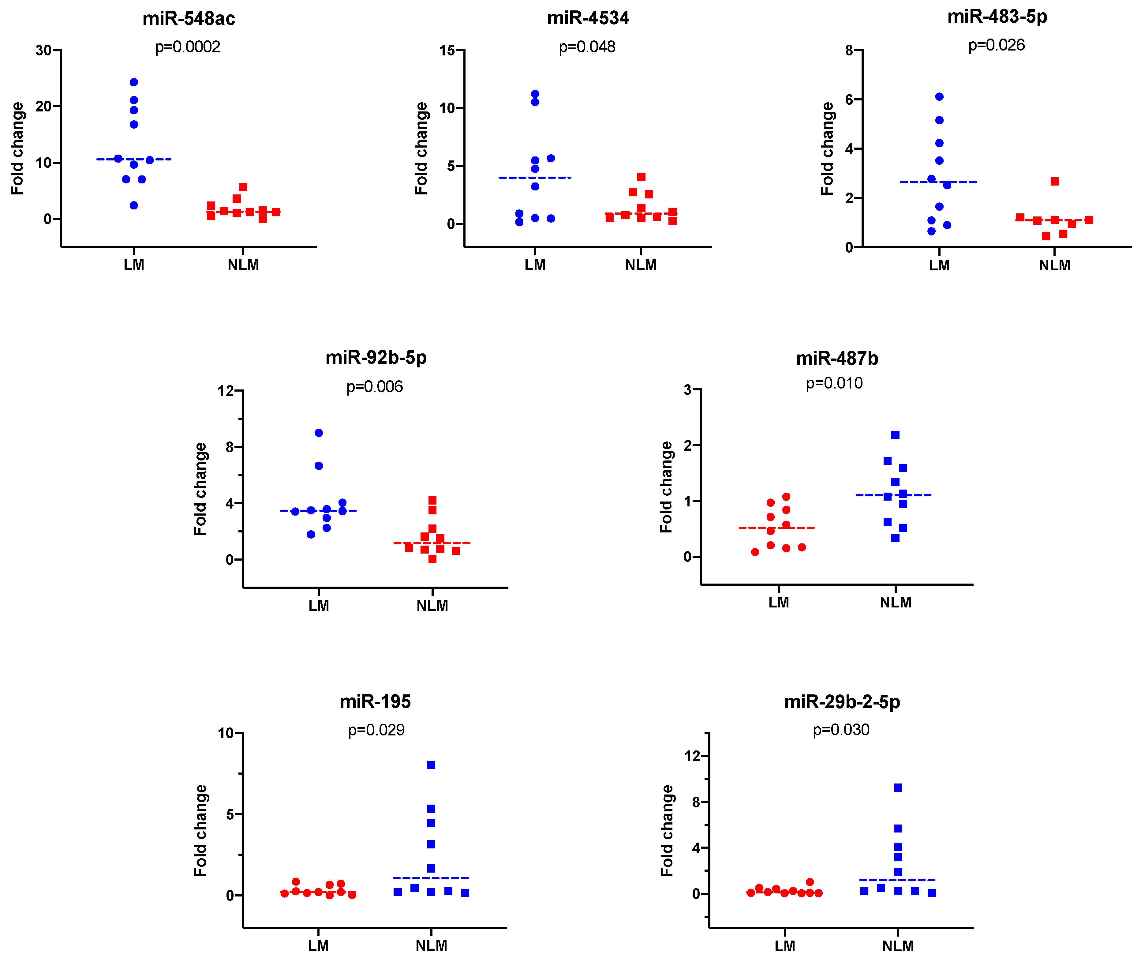
3.3. Validation of miRNAs by RT-qPCR
| N (%) | With Lymph Node Involvement 12 (48) | Without Lymph Node Involvement 13 (52) | p |
|---|---|---|---|
| Age + | 54.92 ± 8.89 | 54.85 ± 10.80 | 0.98 |
| Clinical Stage ^ Ia2 Ib1 IIa1 | 0 (0.0) 12 (100.0) 0 (0.0) | 1 (7.7) 10 (76.9) 2 (15.4) | |
| BMI + | 28.82 ± 2.69 | 30.36 ± 4.23 | 0.34 |
| BMI2 ^ ≤25 25.1–30 >30 | 3 (25.00) 4 (33.33) 5 (41.67) | 3 (23.08) 2 (15.38) 8 (61.54) | 0.67 |
| Type of adjuvant treatment ^ None EBR or BT CT/EBR+BT | 0 (0.00) 4 (33.33) 8 (66.67) | 4 (30.77) 7 (53.84) 2 (15.38) | 0.02 |
| Type of recurrence ^ None Local Regional Distant | 10 (83.33) 1 (8.33) 0 (0.0) 1 (8.33) | 13 (100) 0 (0.0) 0 (0.0) 0 (0.0) | 0.22 |
| Histology ^ SCC Adenocarcinoma ASCC | 8 (66.67) 3 (25.00) 1 (8.33) | 10 (76.92) 1 (7.69) 2 (15.38) | 0.57 |
| Grade ^ 1 2 3 | 0 (0.0) 7 (58.33) 5 (41.67) | 1 (7.69) 7 (53.85) 5 (38.46) | 0.90 |
| LVSI ^ | 11 (91.67) | 10 (76.92) | 0.33 |
| Invasion depth in mm * | 15 (10.5–17) | 10 (7–11) | 0.04 |
| Thirds ^ 1/3 2/3 3/3 | 1 (8.33) 2 (16.67) 9 (75.00) | 3 (23.08) 2 (15.38) 8 (61.54) | 0.83 |
| TZ in mm + | 30.75 ± 9.55 | 25.23 ± 12.07 | 0.22 |
| Positive margins ^ | 3 (25.00) | 3 (23.08) | 0.90 |
| Parametrial involvement ^ | 4 (33.33) | 1 (7.69) | 0.16 |
| Lymph nodes count ^ | 20 (17.5–29) | 19 (12–28) | 0.46 |

3.4. Identification of miRNA Target Genes and Signaling Pathways

| GO Term | Count | p Value | Genes |
|---|---|---|---|
| Transcription from RNA polymerase II promoter | 19 | 9.3 × 10−5 | DDX21, FOSL1, GABPA, IKZF3, MAFK, MNT, MLLT1, PLAGL2, CLOCK, CCNT1, CCNT2, FOXC1, FOXJ2, GTF2H5, HIVEP3, MBD1, NFIC, NFIX, SRF. |
| Regulation of transcription, DNA-templated | 35 | 6.1 × 10−4 | KANK1, LRRFIP2, MACC1, MLLT1, MLLT6, POM121C, SMAD3, THAP1, TMEM189-UBE2V1, BZW1, CALR, CLOCK, CPNE1, FOXC1, GTF2H5, KAT6A, KDM2A, MKX, PTPN14, RNF20, SRSF10, TCF3, UBE2V1, VHL, ZBTB10, ZBTB34, ZBTB8A, ZNF276, ZNF391, ZNF426, ZNF429, ZNF585B, ZNF662, ZNF747, ZNF813. |
| Negative regulation of cell migration | 7 | 1.3 × 10−3 | BCL2, KANK1, ARHGDIA, SRGAP1, RNF20, SRF, VCL. |
| Protein ubiquitination | 13 | 2.1 × 10−3 | DCAF17, CDC42, CUL3, CAND1, MIB1, PARK2, RNF138, RNF168, SOCS5, SOCS7, UBE2Q1, VHL, ZYG11B. |
| Positive regulation of transcription from RNA polymerase II promoter | 24 | 3.1 × 10−3 | FOSL1, GABPA, IKZF3, MAFK, PAGR1, PLAGL2, SMAD3, APP, CLOCK, CCNT1, CCNT2, FGF2, FOXC1, FOXJ2, MAVS, MAPK3, NFIC, NFIX, PARK2, RPRD1B, SRF, TCF3, TBL1XR1, TGFB1. |
| Nucleotide-binding oligomerization domain-containing signaling pathway | 4 | 3.7 × 10−3 | CYLD, TAB3, TMEM189-UBE2V1, UBE2V1 |
| Epithelial cell–cell adhesion | 3 | 5.4 × 10−3 | CDC42, SRF, VCL. |
| Positive regulation of transcription, DNA-templated | 15 | 5.9 × 10−3 | SMAD3, TMEM189-UBE2V1, CLOCK, FGF2, FOXC1, FOXJ2, HIVEP3, KAT6A, MAPK3, RNF20, TCF3, TBL1XR1, TGFB1, UBE2V1, VHL. |
| Positive regulation of NF-kappa B transcription factor activity | 8 | 7.6 × 10−3 | KRAS, TAB3, TMEM189-UBE2V1, CAMK2A, CLOCK, TGFB1, UBE2V1. |
| Transcription, DNA-templated | 38 | 9.3 × 10−5 | HIC2, KANK1, MACC1, MAFK, NAB2, PAGR1, POLR3A, SMYD1, SMAD3, THAP1, BZW1, CLOCK, CPNE1, CCNT, CCNT2, KAT6A, KDM2A, MAPK3, NFIC, NFIX, PARK2, PTPN14, PTMA, PURB, TXNIP, TCF3, TBL1XR1, TLE4, ZBTB10, ZBTB34, ZBTB8A, ZNF276, ZNF391, ZNF426, ZNF429, ZNF585B, ZNF662, ZNF813. |
| Protein polyubiquitination | 8 | 8.9 × 10−3 | BCL2, TMEM189-UBE2V1, CUL3, KLHL42, PARK2, RNF138, RNF20, UBE2V1 |
3.5. Clinical Significance of the Identified miRNAs
| microRNA | With Lymph Node Involvement 12 (48%) | Without Lymph Node Involvement 13 (52%) | OR (95% CI) | p |
|---|---|---|---|---|
| Overexpressed miRNAs | ||||
| miR-548ac | 5.1 (4.8–5.5) † | 3.5 (3.1–3.9) † | 3.29(1.33–8.12) | 0.010 |
| miR-4534 | 5.0 (4.6–4.61) † | 4.1 (3.4–4.6) † | 3.41 (1.20–9.63) | 0.021 |
| miR-483-5p | 5.5 (4.6–5.8) † | 4.4 (4.1–5.1) † | 2.40 (0.98–5.83) | 0.053 |
| miR-92b-5p | 6.9 (6.5–7.2) † | 5.9 (5.5–6.6) † | 3.44 (1.10–10.80) | 0.034 |
| Underexpressed miRNAs | ||||
| miR-487b | 4.0 (3.5–4.6) † | 5.8 (5.3–6.4) † | 0.25 (0.09–0.67) | 0.005 |
| miR-195 | 9.8 (9.3–10.0) † | 10.8 (10.2–11.2) † | 0.13 (0.03–0.59) | 0.008 |
| miR-29b-2-5p | 3.9 (2.8–4.9) † | 5.1 (4.6–5.6) † | 0.34 (0.14–0.82) | 0.016 |

4. Discussion
5. Conclusions
Supplementary Materials
Author Contributions
Funding
Institutional Review Board Statement
Informed Consent Statement
Data Availability Statement
Acknowledgments
Conflicts of Interest
References
- Ferlay, J.; Colombet, M.; Soerjomataram, I.; Mathers, C.; Parkin, D.M.; Piñeros, M.; Znaor, A.; Bray, F. Estimating the global cancer incidence and mortality in 2018: GLOBOCAN sources and methods. Int. J. Cancer 2019, 144, 1941–1953. [Google Scholar] [CrossRef] [Green Version]
- Koh, W.-J.; Greer, B.E.; Abu-Rustum, N.R.; Apte, S.M.; Campos, S.M.; Chan, J.; Cho, K.; Cohn, D.; Crispens, M.A.; Dupont, N.; et al. Cervical Cancer. J. Natl. Compr. Cancer Netw. 2013, 11, 320–343. [Google Scholar] [CrossRef] [PubMed] [Green Version]
- Delgado, G.; Bundy, B.; Zaino, R.; Sevin, B.-U.; Creasman, W.T.; Major, F. Prospective surgical-pathological study of disease-free interval in patients with stage IB squamous cell carcinoma of the cervix: A Gynecologic Oncology Group study. Gynecol. Oncol. 1990, 38, 352–357. [Google Scholar] [CrossRef]
- Suprasert, P.; Charoenkwan, K.; Khunamornpong, S. Pelvic node removal and disease-free survival in cervical cancer patients treated with radical hysterectomy and pelvic lymphadenectomy. Int. J. Gynecol. Obstet. 2011, 116, 43–46. [Google Scholar] [CrossRef] [PubMed]
- Togami, S.; Kamio, M.; Yanazume, S.; Yoshinaga, M.; Douchi, T. Can Pelvic Lymphadenectomy be omited in Stage IA2 to IIB Uterine Cervical Cancer? Int. J. Gynecol. Cancer 2014, 24, 1072–1076. [Google Scholar] [CrossRef]
- Tanaka, Y.; Sawada, S.; Murata, T. Relationship between Lymph Node Metastases and Prognosis in Patients Irradiated Postoperatively for Carcinoma of the Uterine Cervix. Acta Radiol. Oncol. 1984, 23, 455–459. [Google Scholar] [CrossRef] [PubMed] [Green Version]
- Luo, L.; Luo, Q.; Tang, L. Diagnostic value and clinical significance of MRI and CT in detecting lymph node metastasis of early cervical cancer. Oncol. Lett. 2019, 19, 700–706. [Google Scholar] [CrossRef]
- Reinhardt, M.J.; Ehritt-Braun, C.; Vogelgesang, D.; Ihling, C.; Högerle, S.; Mix, M.; Moser, E.; Krause, T.M. Metastatic Lymph Nodes in Patients with Cervical Cancer: Detection with MR Imaging and FDG PET. Radiology 2001, 218, 776–782. [Google Scholar] [CrossRef]
- Lin, A.J.; Wright, J.D.; Dehdashti, F.; Siegel, B.A.; Markovina, S.; Schwarz, J.; Thaker, P.H.; Mutch, D.G.; Powell, M.A.; Grigsby, P.W. Impact of tumor histology on detection of pelvic and para-aortic nodal metastasis with 18F-fluorodeoxyglucose–positron emission tomography in stage IB cervical cancer. Int. J. Gynecol. Cancer 2019, 29, 1351–1354. [Google Scholar] [CrossRef] [PubMed]
- Bhatla, N.; Aoki, D.; Sharma, D.N.; Sankaranarayanan, R. Cancer of the cervix uteri. Int. J. Gynecol. Obstet. 2018, 143, 22–36. [Google Scholar] [CrossRef]
- Bartel, D.P. MicroRNAs: Genomics, Biogenesis, Mechanism, and Function. Cell 2004, 116, 281–297. [Google Scholar] [CrossRef] [Green Version]
- Pedroza-Torres, A.; López-Urrutia, E.; Garcia, V.; Jacobo-Herrera, N.; Herrera, L.A.; Peralta-Zaragoza, O.; López-Camarillo, C.; De Leon, D.C.; Fernández-Retana, J.; Cerna-Cortés, J.F.; et al. MicroRNAs in Cervical Cancer: Evidences for a miRNA Profile Deregulated by HPV and Its Impact on Radio-Resistance. Molecules 2014, 19, 6263–6281. [Google Scholar] [CrossRef] [PubMed] [Green Version]
- Lee, J.-W.; Choi, C.H.; Choi, J.-J.; Park, Y.-A.; Kim, S.-J.; Hwang, S.Y.; Kim, W.Y.; Kim, T.-J.; Lee, J.-H.; Kim, B.-G.; et al. Altered MicroRNA Expression in Cervical Carcinomas. Clin. Cancer Res. 2008, 14, 2535–2542. [Google Scholar] [CrossRef] [PubMed] [Green Version]
- Calin, G.; Croce, C.M. MicroRNA Signatures in Human Cancers. Nat. Rev. Cancer 2006, 6, 857–866. [Google Scholar] [CrossRef] [PubMed]
- Bonci, D.; Coppola, V.; Musumeci, M.; Addario, A.; Giuffrida, R.; Memeo, L.; D’Urso, L.; Pagliuca, A.; Biffoni, M.; Labbaye, C.; et al. The miR-15a–miR-16-1 cluster controls prostate cancer by targeting multiple oncogenic activities. Nat. Med. 2008, 14, 1271–1277. [Google Scholar] [CrossRef] [PubMed]
- Calin, G.A.; Dumitru, C.D.; Shimizu, M.; Bichi, R.; Zupo, S.; Noch, E.; Aldler, H.; Rattan, S.; Keating, M.; Rai, K.; et al. Nonlinear partial differential equations and applications: Frequent deletions and down-regulation of micro- RNA genes miR15 and miR16 at 13q14 in chronic lymphocytic leukemia. Proc. Natl. Acad. Sci. USA 2002, 99, 15524–15529. [Google Scholar] [CrossRef] [PubMed] [Green Version]
- Miao, J.; Regenstein, J.M.; Xu, D.; Zhou, D.; Li, H.; Zhang, H.; Li, C.; Qiu, J.; Chen, X. The roles of microRNA in human cervical cancer. Arch. Biochem. Biophys. 2020, 690, 108480. [Google Scholar] [CrossRef] [PubMed]
- Ribeiro, J.; Sousa, H. MicroRNAs as biomarkers of cervical cancer development: A literature review on miR-125b and miR-34a. Mol. Biol. Rep. 2014, 41, 1525–1531. [Google Scholar] [CrossRef]
- Qin, W.; Dong, P.; Ma, C.; Mitchelson, K.; Deng, T.; Zhang, L.; Sun, Y.; Feng, X.; Ding, Y.; Lu, X.; et al. MicroRNA-133b is a key promoter of cervical carcinoma development through the activation of the ERK and AKT1 pathways. Oncogene 2011, 31, 4067–4075. [Google Scholar] [CrossRef] [Green Version]
- Park, S.; Kim, J.; Eom, K.; Oh, S.; Kim, S.; Kim, G.; Ahn, S.; Park, K.H.; Chung, D.; Lee, H. microRNA-944 overexpression is a biomarker for poor prognosis of advanced cervical cancer. BMC Cancer 2019, 19, 1–8. [Google Scholar] [CrossRef] [Green Version]
- Yang, D.; Zhang, Q. miR-152 may function as an early diagnostic and prognostic biomarker in patients with cervical intraepithelial neoplasia and patients with cervical cancer. Oncol. Lett. 2019, 17, 5693–5698. [Google Scholar] [CrossRef] [PubMed] [Green Version]
- Lui, W.-O.; Pourmand, N.; Patterson, B.K.; Fire, A. Patterns of Known and Novel Small RNAs in Human Cervical Cancer. Cancer Res. 2007, 67, 6031–6043. [Google Scholar] [CrossRef] [Green Version]
- Zhao, S.; Yao, D.-S.; Chen, J.-Y.; Ding, N. Aberrant Expression of miR-20a and miR-203 in Cervical Cancer. Asian Pac. J. Cancer Prev. 2013, 14, 2289–2293. [Google Scholar] [CrossRef] [Green Version]
- Chen, J.; Yao, D.; Li, Y.; Chen, H.; He, C.; Ding, N.; Lu, Y.; Ou, T.; Zhao, S.; Li, L.; et al. Serum microRNA expression levels can predict lymph node metastasis in patients with early-stage cervical squamous cell carcinoma. Int. J. Mol. Med. 2013, 32, 557–567. [Google Scholar] [CrossRef] [PubMed] [Green Version]
- Shen, S.-N.; Wang, L.-F.; Jia, Y.-F.; Hao, Y.-Q.; Zhang, L.; Wang, H. Upregulation of microRNA-224 is associated with aggressive progression and poor prognosis in human cervical cancer. Diagn. Pathol. 2013, 8, 69. [Google Scholar] [CrossRef] [PubMed] [Green Version]
- Murtagh, F.; Legendre, P. Ward’s Hierarchical Agglomerative Clustering Method: Which Algorithms Implement Ward’s Criterion? J. Classif. 2014, 31, 274–295. [Google Scholar] [CrossRef] [Green Version]
- Livak, K.J.; Schmittgen, T.D. Analysis of relative gene expression data using real-time quantitative PCR and the 2−ΔΔCT method. Methods 2001, 25, 402–408. [Google Scholar] [CrossRef]
- Dweep, H.; Sticht, C.; Pandey, P.; Gretz, N. miRWalk—Database: Prediction of possible miRNA binding sites by “walking” the genes of three genomes. J. Biomed. Inform. 2011, 44, 839–847. [Google Scholar] [CrossRef] [Green Version]
- Huang, D.W.; Sherman, B.T.; Lempicki, R.A. Systematic and integrative analysis of large gene lists using DAVID bioinformatics resources. Nat. Protoc. 2009, 4, 44–57. [Google Scholar] [CrossRef]
- Ding, J.; Li, X.; Hu, H. TarPmiR: A new approach for microRNA target site prediction. Bioinformatics 2016, 32, 2768–2775. [Google Scholar] [CrossRef] [Green Version]
- Kanehisa, M.; Sato, Y.; Furumichi, M.; Morishima, K.; Tanabe, M. New approach for understanding genome variations in KEGG. Nucleic Acids Res. 2018, 47, D590–D595. [Google Scholar] [CrossRef] [Green Version]
- Ogata, H.; Goto, S.; Sato, K.; Fujibuchi, W.; Bono, H.; Kanehisa, M. KEGG: Kyoto Encyclopedia of Genes and Genomes. Nucleic Acids Res. 1999, 27, 29–34. [Google Scholar] [CrossRef] [PubMed] [Green Version]
- Shannon, P.; Markiel, A.; Ozier, O.; Baliga, N.S.; Wang, J.T.; Ramage, D.; Amin, N.; Schwikowski, B.; Ideker, T. Cytoscape: A Software Environment for Integrated Models of Biomolecular Interaction Networks. Genome Res. 2003, 13, 2498–2504. [Google Scholar] [CrossRef]
- Kutmon, M.; Kelder, T.; Mandaviya, P.; Evelo, C.; Coort, S. CyTargetLinker: A Cytoscape App to Integrate Regulatory Interactions in Network Analysis. PLoS ONE 2013, 8, e82160. [Google Scholar] [CrossRef] [PubMed]
- Kutmon, M.; Ehrhart, F.; Willighagen, E.L.; Evelo, C.T.; Coort, S.L. CyTargetLinker app update: A flexible solution for network extension in Cytoscape. F1000Research 2019, 7, 743. [Google Scholar] [CrossRef] [PubMed]
- Chen, Q.; Zeng, X.; Huang, D.; Qiu, X. Identification of differentially expressed miRNAs in early-stage cervical cancer with lymph node metastasis across The Cancer Genome Atlas datasets. Cancer Manag. Res. 2018, 10, 6489–6504. [Google Scholar] [CrossRef] [PubMed] [Green Version]
- Du, X.; Lin, L.; Zhang, L.; Jiang, J. microRNA-195 inhibits the proliferation, migration and invasion of cervical cancer cells via the inhibition of CCND2 and MYB expression. Oncol. Lett. 2015, 10, 2639–2643. [Google Scholar] [CrossRef] [Green Version]
- Li, Z.; Wang, H.; Wang, Z.; Cai, H. MiR-195 inhibits the proliferation of human cervical cancer cells by directly targeting cyclin D1. Tumor Biol. 2015, 37, 6457–6463. [Google Scholar] [CrossRef] [PubMed]
- Zhao, W.; Zou, J.; Wang, B.; Fan, P.; Mao, J.; Li, J.; Liu, H.; Xiao, J.; Ma, W.; Wang, M.; et al. microRNA-140 suppresses the migration and invasion of colorectal cancer cells through targeting Smad3. Zhonghua Zhong Liu Za Zhi Chin. J. Oncol. 2014, 36, 739–745. [Google Scholar]
- Banno, K.; Iida, M.; Yanokura, M.; Kisu, I.; Iwata, T.; Tominaga, E.; Tanaka, K.; Aoki, D. MicroRNA in Cervical Cancer: OncomiRs and Tumor Suppressor miRs in Diagnosis and Treatment. Sci. World J. 2014, 2014, 1–8. [Google Scholar] [CrossRef]
- Feng, N.; Wang, Z.; Zhang, Z.; He, X.; Wang, C.; Zhang, L. miR-487b promotes human umbilical vein endothelial cell proliferation, migration, invasion and tube formation through regulating THBS1. Neurosci. Lett. 2015, 591, 1–7. [Google Scholar] [CrossRef] [PubMed]
- Formosa, A.; Markert, E.K.; Lena, A.M.; Italiano, D.; Agro, E.F.; Levine, A.J.; Bernardini, S.; Garabadgiu, A.V.; Melino, G.; Candi, E. MicroRNAs, miR-154, miR-299-5p, miR-376a, miR-376c, miR-377, miR-381, miR-487b, miR-485-3p, miR-495 and miR-654-3p, mapped to the 14q32.31 locus, regulate proliferation, apoptosis, migration and invasion in metastatic prostate cancer cells. Oncogene 2013, 33, 5173–5182. [Google Scholar] [CrossRef] [PubMed]
- Gattolliat, C.-H.; Thomas, L.; Ciafre’, S.A.; Meurice, G.; Le Teuff, G.; Job, B.; Richon, C.; Combaret, V.; Dessen, P.; Valteaucouanet, D.; et al. Expression of miR-487b and miR-410 encoded by 14q32.31 locus is a prognostic marker in neuroblastoma. Br. J. Cancer 2011, 105, 1352–1361. [Google Scholar] [CrossRef] [Green Version]
- Hata, T.; Mokutani, Y.; Takahashi, H.; Haraguchi, N.; Inoue, A.; Munakata, K.; Nagata, K.; Nishimura, J.; Hata, T.; Matsuda, C.; et al. Identification of microRNA-487b as a negative regulator of liver metastasis by regulation of KRAS in colorectal cancer. Int. J. Oncol. 2016, 50, 487–496. [Google Scholar] [CrossRef]
- Kinoshita, T.; Nohata, N.; Hanazawa, T.; Kikkawa, N.; Yamamoto, N.; Yoshino, H.; Itesako, T.; Enokida, H.; Nakagawa, M.; Okamoto, Y.; et al. Tumour-suppressive microRNA-29s inhibit cancer cell migration and invasion by targeting laminin–integrin signalling in head and neck squamous cell carcinoma. Br. J. Cancer 2013, 109, 2636–2645. [Google Scholar] [CrossRef] [Green Version]
- Qi, Y.; Huang, Y.; Pang, L.; Gu, W.; Wang, N.; Hu, J.; Cui, X.; Zhang, J.; Zhao, J.; Liu, C.; et al. Prognostic value of the MicroRNA-29 family in multiple human cancers: A meta-analysis and systematic review. Clin. Exp. Pharmacol. Physiol. 2017, 44, 441–454. [Google Scholar] [CrossRef]
- Yang, J.-R.; Yan, B.; Guo, Q.; Fu, F.-J.; Wang, Z.; Yin, Z.; Wei, Y. The role of miR-29b in cancer: Regulation, function, and signaling. OncoTargets Ther. 2015, 8, 539–548. [Google Scholar] [CrossRef] [PubMed] [Green Version]
- Li, Y.; Wang, F.; Xu, J.; Ye, F.; Shen, Y.; Zhou, J.; Lu, W.; Wan, X.; Ma, D.; Xie, X. Progressive miRNA expression profiles in cervical carcinogenesis and identification of HPV-related target genes for miR-29. J. Pathol. 2011, 224, 484–495. [Google Scholar] [CrossRef] [PubMed]
- Nagamitsu, Y.; Nishi, H.; Sasaki, T.; Takaesu, Y.; Terauchi, F.; Isaka, K. Profiling analysis of circulating microRNA expression in cervical cancer. Mol. Clin. Oncol. 2016, 5, 189–194. [Google Scholar] [CrossRef] [Green Version]
- Nishi, H.; Nagamitsu, Y.; Sasaki, T.; Takaesu, Y.; Terauchi, F.; Isaka, K. Exosomal-miRNA profiles as diagnostic biomarkers in cervical cancer. J. Clin. Oncol. 2012, 30, 10557. [Google Scholar] [CrossRef]
- Nip, H.; Dar, A.A.; Saini, S.; Colden, M.; Varahram, S.; Chowdhary, H.; Yamamura, S.; Mitsui, Y.; Tanaka, Y.; Kato, T.; et al. Oncogenic microRNA-4534 regulates PTEN pathway in prostate cancer. Oncotarget 2016, 7, 68371–68384. [Google Scholar] [CrossRef] [PubMed] [Green Version]
Publisher’s Note: MDPI stays neutral with regard to jurisdictional claims in published maps and institutional affiliations. |
© 2022 by the authors. Licensee MDPI, Basel, Switzerland. This article is an open access article distributed under the terms and conditions of the Creative Commons Attribution (CC BY) license (https://creativecommons.org/licenses/by/4.0/).
Share and Cite
Barquet-Muñoz, S.A.; Pedroza-Torres, A.; Perez-Plasencia, C.; Montaño, S.; Gallardo-Alvarado, L.; Pérez-Montiel, D.; Herrera-Montalvo, L.A.; Cantú-de León, D. microRNA Profile Associated with Positive Lymph Node Metastasis in Early-Stage Cervical Cancer. Curr. Oncol. 2022, 29, 243-254. https://doi.org/10.3390/curroncol29010023
Barquet-Muñoz SA, Pedroza-Torres A, Perez-Plasencia C, Montaño S, Gallardo-Alvarado L, Pérez-Montiel D, Herrera-Montalvo LA, Cantú-de León D. microRNA Profile Associated with Positive Lymph Node Metastasis in Early-Stage Cervical Cancer. Current Oncology. 2022; 29(1):243-254. https://doi.org/10.3390/curroncol29010023
Chicago/Turabian StyleBarquet-Muñoz, Salim Abraham, Abraham Pedroza-Torres, Carlos Perez-Plasencia, Sarita Montaño, Lenny Gallardo-Alvarado, Delia Pérez-Montiel, Luis Alonso Herrera-Montalvo, and David Cantú-de León. 2022. "microRNA Profile Associated with Positive Lymph Node Metastasis in Early-Stage Cervical Cancer" Current Oncology 29, no. 1: 243-254. https://doi.org/10.3390/curroncol29010023
APA StyleBarquet-Muñoz, S. A., Pedroza-Torres, A., Perez-Plasencia, C., Montaño, S., Gallardo-Alvarado, L., Pérez-Montiel, D., Herrera-Montalvo, L. A., & Cantú-de León, D. (2022). microRNA Profile Associated with Positive Lymph Node Metastasis in Early-Stage Cervical Cancer. Current Oncology, 29(1), 243-254. https://doi.org/10.3390/curroncol29010023

