The Physical Activity Environment, Nature-Relatedness and Wellbeing
Abstract
1. Introduction
1.1. Background
1.2. Research Objectives
2. Materials and Methods
2.1. Study Design
2.2. Respondents and Sociodemographic Characteristics
2.3. Data Collection
Survey Instrument
2.4. Data Analysis
3. Results
3.1. Wellbeing
3.2. Physical Activity Status (IPAQ-SF)
3.3. Physical Activity Environment
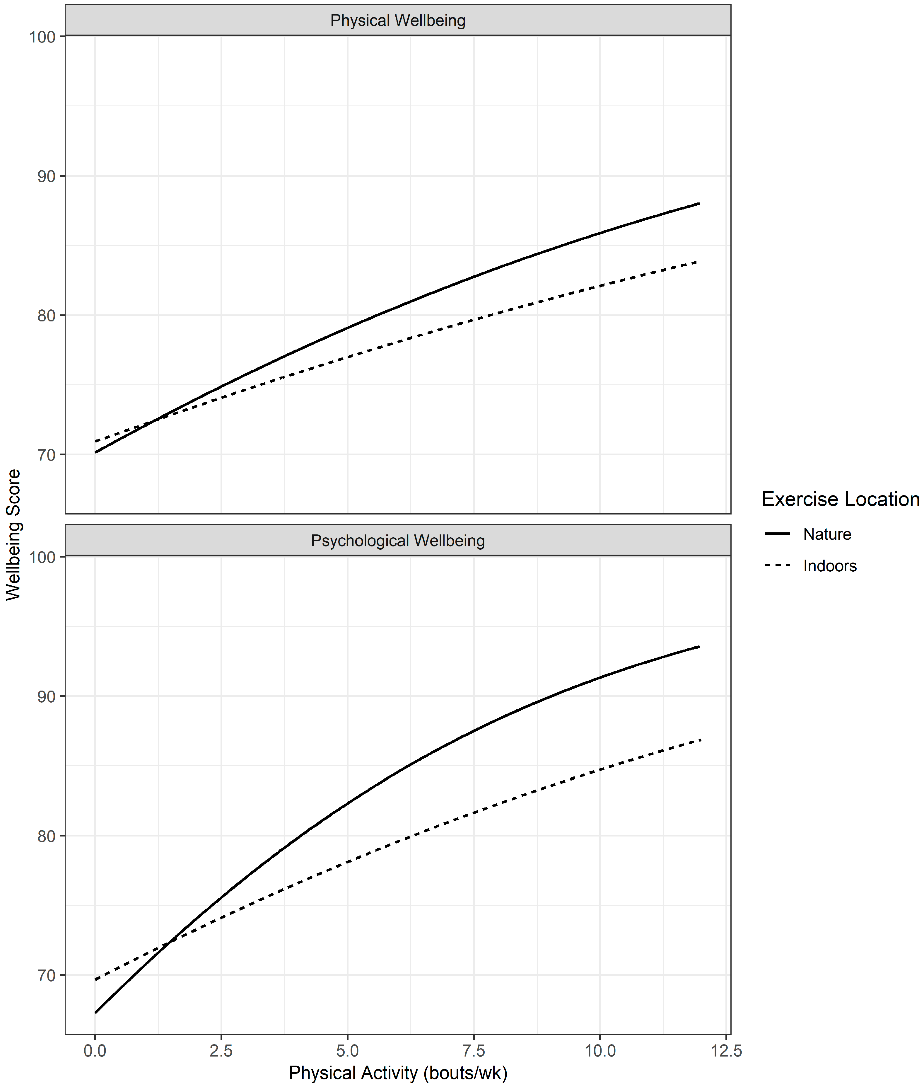
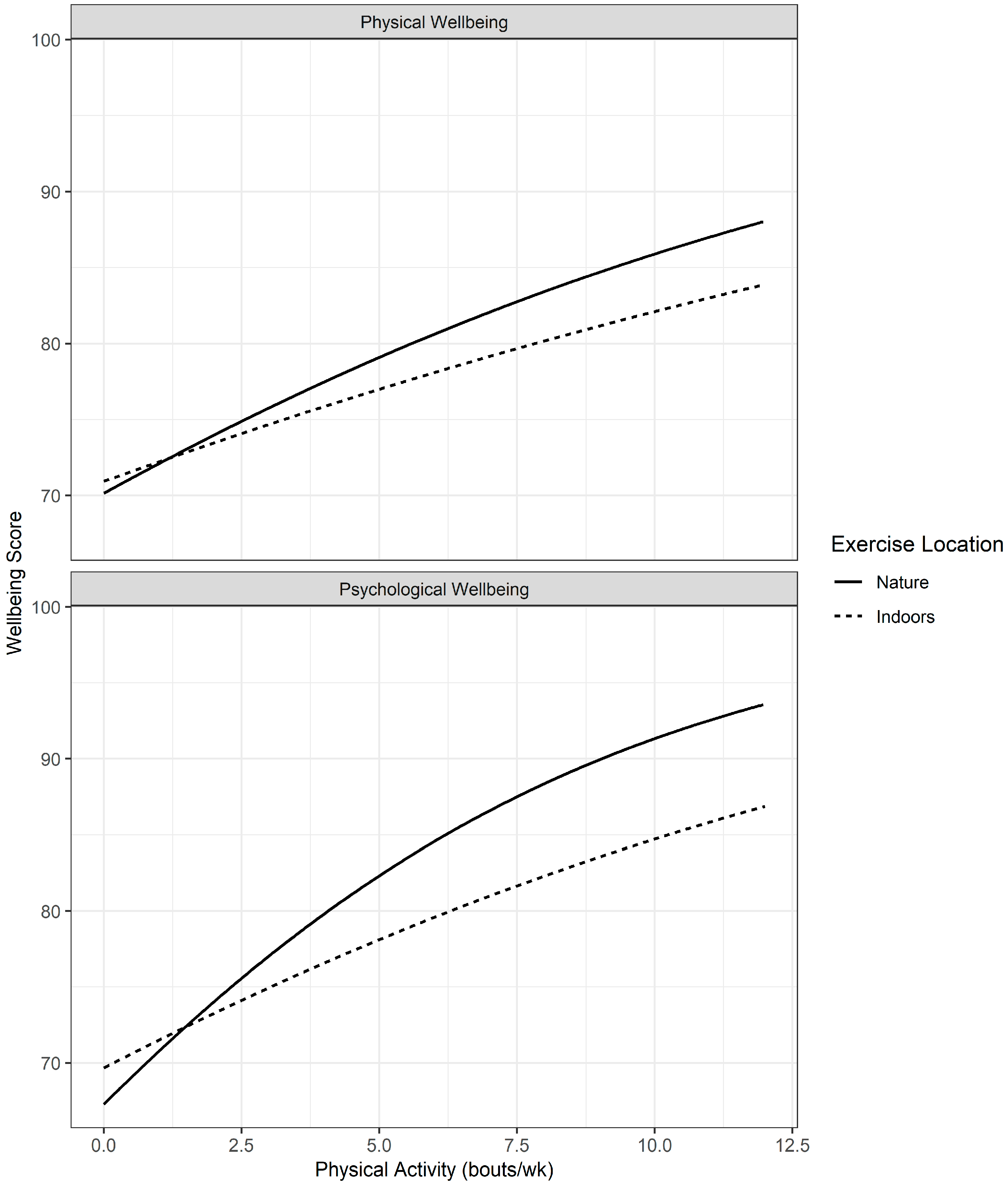
3.4. Physical Activity Environment and Wellbeing
3.5. Nature-Relatedness
3.6. Nature-Relatedness and Wellbeing
3.7. Nature-Relatedness and PA in Nature
3.8. Connection to Place
3.9. Connection to Place and Frequency of PA in Nature
3.10. Connection to Place and Wellbeing
4. Discussion
4.1. Physical Activity, Nature and Wellbeing
4.2. Physical Activity Indoors Versus in Nature
4.3. Connections to Nature and Place
5. Conclusions and Implications
Supplementary Materials
Author Contributions
Funding
Institutional Review Board Statement
Informed Consent Statement
Data Availability Statement
Acknowledgments
Conflicts of Interest
References
- Blair, S.N.; Cheng, Y.; Holder, J.S. Is physical activity or physical fitness more important in defining health benefits? Med. Sci. Sports Exerc. 2001, 33, S379–S399. [Google Scholar] [CrossRef] [PubMed]
- Paffenbarger, R.S., Jr.; Hyde, R.T.; Wing, A.L.; Lee, I.-M.; Jung, D.L.; Kampert, J.B. The association of changes in physical-activity level and other lifestyle characteristics with mortality among men. N. Engl. J. Med. 1993, 328, 538–545. [Google Scholar] [CrossRef] [PubMed]
- Warburton, D.E.; Bredin, S.S. Health benefits of physical activity: A systematic review of current systematic reviews. Curr. Opin. Cardiol. 2017, 32, 541–556. [Google Scholar] [CrossRef] [PubMed]
- Fox, K.R. The influence of physical activity on mental well-being. Public Health Nutr. 1999, 2, 411–418. [Google Scholar] [CrossRef]
- Paluska, S.A.; Schwenk, T.L. Physical activity and mental health. Sports Med. 2000, 29, 167–180. [Google Scholar] [CrossRef]
- Singh, A.; Uijtdewilligen, L.; Twisk, J.W.; Van Mechelen, W.; Chinapaw, M.J. Physical activity and performance at school: A systematic review of the literature including a methodological quality assessment. Arch. Pediatr. Adolesc. Med. 2012, 166, 49–55. [Google Scholar] [CrossRef]
- World Health Organisation. WHO Guidelines on Physical Activity and Sedentary Behaviour. Available online: https://www.who.int/publications/i/item/9789240015128 (accessed on 12 February 2025).
- Witten, K.; Blakely, T.; Bagheri, N.; Badland, H.; Ivory, V.; Pearce, J.; Mavoa, S.; Hinckson, E.; Schofield, G. Neighborhood built environment and transport and leisure physical activity: Findings using objective exposure and outcome measures in New Zealand. Environ. Health Perspect. 2012, 120, 971–977. [Google Scholar] [CrossRef]
- Kondo, M.C.; Fluehr, J.M.; McKeon, T.; Branas, C.C. Urban green space and its impact on human health. Int. J. Environ. Res. Public Health 2018, 15, 445. [Google Scholar] [CrossRef]
- Rehrer, N.J.; Freeman, C.; Cassidy, T.; Waters, D.L.; Barclay, G.E.; Wilson, N. Through the eyes of young people: Favourite places for physical activity. Scand. J. Public Health 2011, 39, 492–500. [Google Scholar] [CrossRef]
- Mytton, O.T.; Townsend, N.; Rutter, H.; Foster, C. Green space and physical activity: An observational study using Health Survey for England data. Health Place 2012, 18, 1034–1041. [Google Scholar] [CrossRef]
- Richardson, E.A.; Pearce, J.; Mitchell, R.; Kingham, S. Role of physical activity in the relationship between urban green space and health. Public Health 2013, 127, 318–324. [Google Scholar] [CrossRef] [PubMed]
- Bratman, G.N.; Hamilton, J.P.; Daily, G.C. The impacts of nature experience on human cognitive function and mental health. Ann. N. Y. Acad. Sci. 2012, 1249, 118–136. [Google Scholar] [CrossRef] [PubMed]
- Cox, D.T.; Shanahan, D.F.; Hudson, H.L.; Plummer, K.E.; Siriwardena, G.M.; Fuller, R.A.; Anderson, K.; Hancock, S.; Gaston, K.J. Doses of neighborhood nature: The benefits for mental health of living with nature. Bioscience 2017, 67, 147–155. [Google Scholar] [CrossRef]
- Tillmann, S.; Tobin, D.; Avison, W.; Gilliland, J. Mental health benefits of interactions with nature in children and teenagers: A systematic review. J. Epidemiol. Community Health 2018, 72, 958–966. [Google Scholar] [CrossRef] [PubMed]
- Yang, B.-Y.; Markevych, I.; Heinrich, J.; Bowatte, G.; Bloom, M.S.; Guo, Y.; Dharmage, S.C.; Jalaludin, B.; Knibbs, L.D.; Morawska, L. Associations of greenness with diabetes mellitus and glucose-homeostasis markers: The 33 Communities Chinese Health Study. Int. J. Hyg. Environ. Health 2019, 222, 283–290. [Google Scholar] [CrossRef]
- Ji, J.S.; Zhu, A.; Bai, C.; Wu, C.-D.; Yan, L.; Tang, S.; Zeng, Y.; James, P. Residential greenness and mortality in oldest-old women and men in China: A longitudinal cohort study. Lancet Planet. Health 2019, 3, e17–e25. [Google Scholar] [CrossRef]
- Takano, T.; Nakamura, K.; Watanabe, M. Urban residential environments and senior citizens’ longevity in megacity areas: The importance of walkable green spaces. J. Epidemiol. Community Health 2002, 56, 913–918. [Google Scholar] [CrossRef]
- Kellert, S.R.; Wilson, E.O. The Biophilia Hypothesis; Island Press: Washington, DC, USA, 1993. [Google Scholar]
- Wilson, E.O. Biophilia; Harvard University Press: Cambridge, MA, USA, 1986. [Google Scholar]
- Nisbet, E.K.; Zelenski, J.M.; Murphy, S.A. The nature relatedness scale: Linking individuals’ connection with nature to environmental concern and behavior. Environ. Behav. 2009, 41, 715–740. [Google Scholar] [CrossRef]
- Martin, L.; White, M.P.; Hunt, A.; Richardson, M.; Pahl, S.; Burt, J. Nature contact, nature connectedness and associations with health, wellbeing and pro-environmental behaviours. J. Environ. Psychol. 2020, 68, 101389. [Google Scholar] [CrossRef]
- Martyn, P.; Brymer, E. The relationship between nature relatedness and anxiety. J. Health Psychol. 2016, 21, 1436–1445. [Google Scholar] [CrossRef]
- Nisbet, E.K.; Zelenski, J.M.; Murphy, S.A. Happiness is in our nature: Exploring nature relatedness as a contributor to subjective well-being. J. Happiness Stud. 2011, 12, 303–322. [Google Scholar] [CrossRef]
- Mitchell, R. Is physical activity in natural environments better for mental health than physical activity in other environments? Soc. Sci. Med. 2013, 91, 130–134. [Google Scholar] [CrossRef] [PubMed]
- Pasanen, T.P.; Tyrväinen, L.; Korpela, K.M. The relationship between perceived health and physical activity indoors, outdoors in built environments, and outdoors in nature. Appl. Psychol. Health Well Being 2014, 6, 324–346. [Google Scholar] [CrossRef] [PubMed]
- Scannell, L.; Gifford, R. The experienced psychological benefits of place attachment. J. Environ. Psychol. 2017, 51, 256–269. [Google Scholar] [CrossRef]
- Relph, E. Place and Placelessness; Pion London: London, UK, 1976; Volume 67. [Google Scholar]
- Tuan, Y.-F. Topohilia: A Study of Environmental Perception, Attitudes Andvalues; Columbia University Press: New York, NY, USA, 1974. [Google Scholar]
- Royal, C. Te Ao Mārama—The Natural World. Available online: https://teara.govt.nz/en/te-ao-marama-the-natural-world/page-5 (accessed on 12 February 2025).
- Royal, C. Tūrangawaewae—A Place to Stand. Available online: https://teara.govt.nz/en/papatuanuku-the-land/page-5#ref1 (accessed on 12 February 2025).
- Heke, I.; Rees, D.; Swinburn, B.; Waititi, R.T.; Stewart, A. Systems thinking and indigenous systems: Native contributions to obesity prevention. AlterNative Int. J. Indig. Peoples 2019, 15, 22–30. [Google Scholar] [CrossRef]
- Forde, C. Scoring the International Physical Activity Questionnaire (IPAQ). Available online: https://ugc.futurelearn.com/uploads/files/bc/c5/bcc53b14-ec1e-4d90-88e3-1568682f32ae/IPAQ_PDF.pdf (accessed on 12 February 2025).
- The EuroQol Group. EuroQol—A New Facility for the Measurement of Health-Related Quality of Life. Health Policy 1990, 16, 199–208. [Google Scholar] [CrossRef]
- Janssen, M.; Pickard, A.S.; Golicki, D.; Gudex, C.; Niewada, M.; Scalone, L.; Swinburn, P.; Busschbach, J. Measurement properties of the EQ-5D-5L compared to the EQ-5D-3L across eight patient groups: A multi-country study. Qual. Life Res. 2013, 22, 1717–1727. [Google Scholar] [CrossRef]
- World Health Organization. Wellbeing Measures in Primary Health Care/The DEPCARE Project: Report on a WHO Meeting: Stockholm, Sweden, 12–13 February 1998; World Health Organization: Geneva, Switzerland, 1998; Available online: https://iris.who.int/bitstream/handle/10665/349766/WHO-EURO-1998-4234-43993-62027-eng.pdf?sequence=1 (accessed on 14 February 2025).
- Topp, C.W.; Østergaard, S.D.; Søndergaard, S.; Bech, P. The WHO-5 Well-Being Index: A systematic review of the literature. Psychother. Psychosom. 2015, 84, 167–176. [Google Scholar] [CrossRef]
- Bech, P.; Olsen, L.R.; Kjoller, M.; Rasmussen, N.K. Measuring well-being rather than the absence of distress symptoms: A comparison of the SF-36 Mental Health subscale and the WHO-Five well-being scale. Int. J. Methods Psychiatr. Res. 2003, 12, 85–91. [Google Scholar] [CrossRef]
- Nisbet, E.K.; Zelenski, J.M. The NR-6: A new brief measure of nature relatedness. Front. Psychol. 2013, 4, 813. [Google Scholar] [CrossRef]
- Göb, R.; McCollin, C.; Ramalhoto, M.F. Ordinal methodology in the analysis of Likert scales. Qual. Quant. 2007, 41, 601–626. [Google Scholar] [CrossRef]
- R Core Team. R: A Language and Environment for Statistical Computing. R Foundation for Statistical Computing. Available online: https://www.r-project.org (accessed on 1 December 2024).
- Brooks, M.E.; Kristensen, K.; Van Benthem, K.J.; Magnusson, A.; Berg, C.W.; Nielsen, A.; Skaug, H.J.; Machler, M.; Bolker, B.M. glmmTMB balances speed and flexibility among packages for zero-inflated generalized linear mixed modeling. R J. 2017, 9, 378–400. [Google Scholar] [CrossRef]
- Hartig, F. DHARMa: Residual Diagnostics for Hierarchical (Multi-Level/Mixed) Regression Models. R Package Version 0.4.7. 2018. Available online: https://CRAN.R-project.org/package=DHARMa? (accessed on 1 December 2024).
- Lüdecke, D.; Ben-Shachar, M.S.; Patil, I.; Waggoner, P.; Makowski, D. Performance: An R package for assessment, comparison and testing of statistical models. J. Open Source Softw. 2021, 6, 3139. Available online: https://joss.theoj.org/papers/10.21105/joss.03139 (accessed on 1 December 2024). [CrossRef]
- Ferrari, S.; Cribari-Neto, F. Beta regression for modelling rates and proportions. J. Appl. Stat. 2004, 31, 799–815. [Google Scholar] [CrossRef]
- Lenth, R.V. Emmeans: Estimated Marginal Means, aka Least-Squares Means. R Package Version 1.10.5. Available online: https://CRAN.R-project.org/package=emmeans (accessed on 1 December 2024).
- Hothorn, T.; Bretz, F.; Westfall, P. Simultaneous inference in general parametric models. Biom. J. J. Math. Methods Biosci. 2008, 50, 346–363. [Google Scholar] [CrossRef]
- Fletcher, D.; Jowett, T. Single-fit bootstrapping: A simple alternative to the delta method. Methods Ecol. Evol. 2022, 13, 1358–1367. [Google Scholar] [CrossRef]
- Koenker, R. Quantreg: Quantile Regression. 2009. Available online: http://CRAN.R-project.org/package=quantreg (accessed on 1 December 2024).
- Mitchell, R.; Popham, F. Effect of exposure to natural environment on health inequalities: An observational population study. Lancet 2008, 372, 1655–1660. [Google Scholar] [CrossRef] [PubMed]
- Maas, J.; Verheij, R.A.; de Vries, S.; Spreeuwenberg, P.; Schellevis, F.G.; Groenewegen, P.P. Morbidity is related to a green living environment. J. Epidemiol. Community Health 2009, 63, 967–973. [Google Scholar] [CrossRef]
- Cohen-Cline, H.; Turkheimer, E.; Duncan, G.E. Access to green space, physical activity and mental health: A twin study. J. Epidemiol. Community Health 2015, 69, 523–529. [Google Scholar] [CrossRef]
- Bowler, D.E.; Buyung-Ali, L.M.; Knight, T.M.; Pullin, A.S. A systematic review of evidence for the added benefits to health of exposure to natural environments. BMC Public Health 2010, 10, 456. [Google Scholar] [CrossRef]
- Hartig, T. Green space, psychological restoration, and health inequality. Lancet 2008, 372, 1614–1615. [Google Scholar] [CrossRef] [PubMed]
- Hartig, T.; Marcus, C.C. Essay: Healing gardens—Places for nature in health care. Lancet 2006, 368, S36–S37. [Google Scholar] [CrossRef]
- Annerstedt, M.; Östergren, P.-O.; Björk, J.; Grahn, P.; Skärbäck, E.; Währborg, P. Green qualities in the neighbourhood and mental health–results from a longitudinal cohort study in Southern Sweden. BMC Public Health 2012, 12, 337. [Google Scholar] [CrossRef] [PubMed]
- White, M.P.; Alcock, I.; Grellier, J.; Wheeler, B.W.; Hartig, T.; Warber, S.L.; Bone, A.; Depledge, M.H.; Fleming, L.E. Spending at least 120 minutes a week in nature is associated with good health and wellbeing. Sci. Rep. 2019, 9, 7730. [Google Scholar] [CrossRef]
- Park, B.J.; Tsunetsugu, Y.; Kasetani, T.; Kagawa, T.; Miyazaki, Y. The physiological effects of Shinrin-yoku (taking in the forest atmosphere or forest bathing): Evidence from field experiments in 24 forests across Japan. Environ. Health Prev. Med. 2010, 15, 18–26. [Google Scholar] [CrossRef]
- De Bloom, J.; Sianoja, M.; Korpela, K.; Tuomisto, M.; Lilja, A.; Geurts, S.; Kinnunen, U. Effects of park walks and relaxation exercises during lunch breaks on recovery from job stress: Two randomized controlled trials. J. Environ. Psychol. 2017, 51, 14–30. [Google Scholar] [CrossRef]
- Hansmann, R.; Hug, S.-M.; Seeland, K. Restoration and stress relief through physical activities in forests and parks. Urban For. Urban Green. 2007, 6, 213–225. [Google Scholar] [CrossRef]
- Focht, B.C. Brief walks in outdoor and laboratory environments: Effects on affective responses, enjoyment, and intentions to walk for exercise. Res. Q. Exerc. Sport 2009, 80, 611–620. [Google Scholar] [CrossRef]
- Hartig, T.; Staats, H. The need for psychological restoration as a determinant of environmental preferences. J. Environ. Psychol. 2006, 26, 215–226. [Google Scholar] [CrossRef]
- Fuller, R.A.; Irvine, K.N.; Devine-Wright, P.; Warren, P.H.; Gaston, K.J. Psychological benefits of greenspace increase with biodiversity. Biol. Lett. 2007, 3, 390–394. [Google Scholar] [CrossRef]
- Gladwell, V.F.; Brown, D.K.; Wood, C.; Sandercock, G.R.; Barton, J.L. The great outdoors: How a green exercise environment can benefit all. Extrem. Physiol. Med. 2013, 2, 3. [Google Scholar] [CrossRef] [PubMed]
- Egner, L.E.; Sütterlin, S.; Calogiuri, G. Proposing a framework for the restorative effects of nature through conditioning: Conditioned restoration theory. Int. J. Environ. Res. Public Health 2020, 17, 6792. [Google Scholar] [CrossRef] [PubMed]
- Koivisto, M.; Jalava, E.; Kuusisto, L.; Railo, H.; Grassini, S. Top-down processing and nature connectedness predict psychological and physiological effects of nature. Environ. Behav. 2022, 54, 917–945. [Google Scholar] [CrossRef]
- Pyle, R.M. Nature matrix: Reconnecting people and nature. Oryx 2003, 37, 206–214. [Google Scholar] [CrossRef]
- Louv, R. Last Child in the Woods: Saving Our Children from Nature-Deficit Disorder; Algonquin Books: Chapel Hill, NC, USA, 2008. [Google Scholar]
- Mayer, F.S.; Frantz, C.M.; Bruehlman-Senecal, E.; Dolliver, K. Why is nature beneficial? The role of connectedness to nature. Environ. Behav. 2009, 41, 607–643. [Google Scholar] [CrossRef]



| Age (years) | |
| mean ± SD | 35 ± 17 |
| range | 18–83 |
| Gender (n (%)) | |
| Male | 84 (47%) |
| Female | 94 (52%) |
| Prefer not to say | 1 (<1%) |
| Ethnicity (n (%)) | |
| NZ European/European | 143 (80%) |
| Māori | 10 (6%) |
| Samoan | 3 (2%) |
| Cook Islands Māori | 1 (<1%) |
| Tongan | 2 (1%) |
| Chinese | 3 (2%) |
| Indian | 3 (2%) |
| Other | 14 (8%) |
| Marital status | |
| Married/living with partner | 65 (37%) |
| Single/living alone | 114 (64%) |
| Highest educational level obtained | |
| Secondary | 57 (32%) |
| Tertiary (undergraduate qualification) | 76 (42%) |
| Postgraduate qualification | 46 (26%) |
| Employment status a | |
| Unemployed | 13 (6%) |
| Part-time employment | 57 (27%) |
| Full-time employment | 72 (34%) |
| Part-time unpaid employment | 6 (3%) |
| Full-time unpaid employment | 0 (0%) |
| Part-time studying | 7 (3%) |
| Full-time studying | 51 (24%) |
| Retired | 7 (3%) |
| Physical disabilities that limit physical activity | |
| Yes | 15 (8%) |
| No | 164 (92%) |
| Physical Activity Level | n (%) | MET-Minutes Per Week (Mean ± SD) |
|---|---|---|
| Low | 18 (10%) | 194 ± 320 |
| Moderate | 66 (37%) | 1834 ± 732 |
| High | 95 (53%) | 7256 ± 5512 |
| Environment | Frequency (Mean ± SD) |
|---|---|
| Indoors | 2.3 ± 2.3 |
| Outdoors Built Setting | 1.6 ± 2.0 |
| Nature | 1.9 ± 3.1 |
| Nature-Constructed | 0.9 ± 1.8 |
| Nature-Wilderness/Native Bush | 0.8 ± 1.8 |
| Nature-Water | 0.3 ± 0.6 |
| Strongly Agree/Agree (5–4) n (%) | Neither Agree nor Disagree (3) n (%) | Disagree/Strongly Disagree (2–1) n (%) | Average Score * Mean (SD) | |
|---|---|---|---|---|
| My ideal vacation spot would be remote, wilderness | 118 (66%) | 25 (14%) | 36 (20%) | 3.6 (1.1) |
| I think how my actions affect the environment | 145 (81%) | 26 (14%) | 8 (4%) | 3.9 (0.7) |
| My connection to nature/environment is part of my spirituality | 105 (59%) | 41 (23%) | 33 (18%) | 3.7 (1.2) |
| I take notice of wildlife wherever I am | 155 (87%) | 20 (11%) | 4 (2%) | 4.3 (0.8) |
| My relationship to nature is an important part of who I am | 121 (68%) | 48 (27%) | 10 (6%) | 4.0 (1.0) |
| I feel connected to all living things and the earth | 110 (62%) | 40 (22%) | 29 (16%) | 3.7 (1.1) |
Disclaimer/Publisher’s Note: The statements, opinions and data contained in all publications are solely those of the individual author(s) and contributor(s) and not of MDPI and/or the editor(s). MDPI and/or the editor(s) disclaim responsibility for any injury to people or property resulting from any ideas, methods, instructions or products referred to in the content. |
© 2025 by the authors. Licensee MDPI, Basel, Switzerland. This article is an open access article distributed under the terms and conditions of the Creative Commons Attribution (CC BY) license (https://creativecommons.org/licenses/by/4.0/).
Share and Cite
Furjes-Crawshaw, J.; Heke, I.; Jowett, T.; Rehrer, N.J. The Physical Activity Environment, Nature-Relatedness and Wellbeing. Int. J. Environ. Res. Public Health 2025, 22, 299. https://doi.org/10.3390/ijerph22020299
Furjes-Crawshaw J, Heke I, Jowett T, Rehrer NJ. The Physical Activity Environment, Nature-Relatedness and Wellbeing. International Journal of Environmental Research and Public Health. 2025; 22(2):299. https://doi.org/10.3390/ijerph22020299
Chicago/Turabian StyleFurjes-Crawshaw, Josh, Ihirangi Heke, Tim Jowett, and Nancy J. Rehrer. 2025. "The Physical Activity Environment, Nature-Relatedness and Wellbeing" International Journal of Environmental Research and Public Health 22, no. 2: 299. https://doi.org/10.3390/ijerph22020299
APA StyleFurjes-Crawshaw, J., Heke, I., Jowett, T., & Rehrer, N. J. (2025). The Physical Activity Environment, Nature-Relatedness and Wellbeing. International Journal of Environmental Research and Public Health, 22(2), 299. https://doi.org/10.3390/ijerph22020299

