Abstract
Potentially Preventable Hospitalisations (PPH) is a widely used indicator of the effectiveness of non-hospital care. Specified using the International Classification of Diseases (ICD) coding, PPH comprises a suite of health conditions that could have potentially been prevented with appropriate care. The most recent edition of the National Guide to a Preventative Health Assessment for First Nations People documents the health conditions of interest to providers of primary care, many of which are not represented in PPH. Given the National Guide has been developed specifically with First Nations in mind, the aim of this research is twofold. The first aim is to formally posit the question of whether a summative measure of hospitalisations aligned diagnostically to the National Guide has value either as an alternative or complement to PPH in the context of First Nations primary health information. The second aim is to develop and present a prototype ICD-10 data specification for such a measure, referred to as the First Nations primary healthcare (FNPHC) data specification, and examine the age-standardised hospitalisation rates for FNPHC and PPH for correlations and/or differences. Age-standardised hospitalisation rates from 2016–17 to 2019–20 using both classifications were examined to assess the usefulness and relevance of summative measures of hospitalisations for informing primary care. Rates of FNPHC for principal diagnoses were between 1.5 and 2.5 times higher than those of PPH and approximately between 6 and 12 times higher for additional diagnoses. There was a strong correlation with PPH when rates were compared across all observations: jurisdictions with higher rates of PPH tended to have higher rates of hospitalisations according to the custom specification. Findings support its application as a summary measure for First Nations primary care providers. Given the policy landscape in Australia that aims to close the gap, it is imperative that measures of primary health take advantage of the concepts and application of First Nations data sovereignty and governance. The validity and cultural appropriateness of the First Nations primary health data specification needs to be further researched.
1. Introduction
In 2007, the Australian Commonwealth, state, territory and local governments made a commitment to work together to close the gap in First Nations disadvantage [1]. This led to the National First Nations Reform Agreement, a significant step toward more co-ordinated action [2]. There are 17 national socio-economic targets across areas that have impacts on life outcomes for First Nations Australians in health and wellbeing, education, employment, justice, safety, housing, land and waters, languages and digital inclusion. Five of these targets relate to health and well-being, with a key priority being to close the health and life-expectancy gap between First Nations and other Australians within a generation [1]. Achieving equality in life expectancy and closing the gap in life expectancy within a generation is not on track to be met by 2031: First Nations people still have a lower life expectancy than other Australians [2,3].
The primary care sector plays an integral and determining role in achieving these national targets [4,5,6,7,8,9,10]; however, the data and information available on the health and well-being of Australian people are predominantly sourced from outside the primary care sector. Since 2006, the Australian Institute of Health and Welfare (AIHW) has generated Health Performance Framework (HPF) reports that provide a range of information pertaining to First Nations health and well-being outcomes, as well as factors influencing the performance of the health system [7,8,9]. Data from hospital admissions and national health surveys feature heavily in this framework. A recent article published in this journal questioned the utility of the HPF to inform healthcare reform [11]. Hospitalisation for ambulatory care-sensitive conditions, also called ‘potentially preventable’ or ‘avoidable’ hospitalisations, has been used extensively as an indicator of the accessibility and overall effectiveness of primary healthcare [12,13,14]. Specified using the International Classification of Diseases, 10th Edition, Australian Modification (ICD-10-AM), Potentially Preventable Hospitalisations (PPH) are organised into 22 diagnosis groups across 3 categories of vaccine-preventable conditions, chronic conditions and acute conditions [15].
Latest data from Australia suggest that, in 2022–2023, there were 548,000 PPHs in public hospitals and 178,000 in private hospitals. These included 273,000 hospitalisations for chronic conditions (excluding diabetes), 58,300 hospitalisations for diabetes complications, and 55,500 hospitalisations for vaccine-preventable conditions. The likelihood of a person having a PPH can vary according to their age, sex, where they live, their level of socioeconomic disadvantage and First Nations status [8]. First Nations people account for 3.3% of the Australian population [16] but were hospitalised for potentially preventable conditions at three times the rate of non-First Nation Australians between July 2019 and June 2021 (based on age-standardised rates) [9]. Overall, between 2013–2014 and 2020–2021, the gap between First Nations people and First Nation Australians increased from a rate difference of 40 PPH per 1000 population (in 2013–2014) to 46 PPH per 1000 population (in 2020–2021). At a national level, the rate of PPH for First Nations people was higher for those living in remote rather than non-remote areas. The rate among First Nations people was highest for those living in remote areas (97 PPH per 1000 population), followed by very remote areas (91 PPH per 1000 population). The rate was lowest for those in major cities and inner regional areas (both 40 PPH per 1000 population), followed by outer regional areas (57 per 1000 population) [9].
The majority of PPHs involve conditions that could have been identified and treated earlier by either primary healthcare or public health interventions and, thus, prevented, or at least limited, the necessity for hospital care. Consequently, the indicator is commonly used by governments to provide an evidence-based foundation for targeted interventions designed to control costs and improve primary healthcare effectiveness. A review of the Health Needs Assessments published by Australia’s 31 primary health networks found that PPH was included as an indicator of primary health needs in all assessments that were publicly accessible (n = 29). Approximately two-thirds (n = 19) referenced PPH specifically in the context of First Nations primary health needs [3,17,18,19,20,21,22,23,24,25,26,27,28,29,30,31,32].
The most recent edition of the National Guide to a Preventative Health Assessment for First Nations people documents the health conditions of interest to providers of primary care [33]. It compiles comprehensive, evidence-based advice and guidance on the best practices for providers of primary healthcare across the lifecycle. Developed with the National Aboriginal Community Controlled Health Organisation and the Royal Australian College of General Practitioners, the National Guide consists of seventeen chapters, each addressing an important domain of health and wellbeing. Despite the dominant use of PPH in health statistics as a proxy measure of primary care effectiveness, PPH omits many of the health conditions relevant to primary care according to the National Guide (e.g., cancer, chronic kidney disease, conditions of the eyes and ears, STI, mental health, alcohol and drug use, dementia, osteoporosis, lifestyle factors) [33]. Given the National Guide has been developed specifically with First Nations primary health in mind, the aim of this research is twofold. The first aim is to formally posit the question of whether a summative measure of hospitalisations aligned diagnostically to the National Guide has value either as an alternative or complement to PPH in the context of First Nations primary health information. The second aim is to develop and present a prototype ICD-10 data specification for such a measure, referred to as the First Nations primary healthcare (FNPHC) data specification, and examine the age-standardised hospitalisation rates for FNPHC and PPH for correlations and/or differences.
2. Methods
2.1. Approach
The National Guide was reviewed, and health conditions of interest were coded using the ICD-10-AM (referred to interchangeably hereafter with ICD-10 for brevity where needed). Where a condition also existed as a measure in the HPF reporting, the ICD-10 specifications utilised and published by the Australian Institute of Health and Welfare were adopted. For example, Chapter 9 of the National Guide relates to respiratory health with a subsection specifically for asthma. Section 1.04 of the HPF relates to respiratory health, and the ICD-10 specification for asthma utilised in HPF reporting (J45–J46) was adopted for the FNPHC specification also. Conversely, Chapter 5 of the National Guide relates to the health of older persons and has a subsection for falls in people 50 years and older. No such specification exists in the HPF, so the relevant ICD-10 codes W05–W10 were included in this category. Figure 1 summarises this decision process.
Figure 1.
Process for ICD-10-AM specification of conditions addressed in the National Guide.
ICD-10 codes were organised into sixteen categories: Diabetes, Respiratory health, Circulatory health, Acute rheumatic fever and rheumatic heart disease (ARF/RHD), Chronic kidney disease (CKD), Eyes and ears, Oral health, Sexually transmitted infections (STI) and blood-borne diseases, Cancer, Depression and suicide, Mental disorders, Mental-health related conditions, Alzheimer and dementia, Alcohol and drugs, Older adults and Lifestyle factors. Age-standardised hospitalisation rates from 2016–2017 to 2019–2020 using both classifications were calculated. FNPHC rates were compared descriptively with PPH with respect to correlations and rate ratios. Hospitalisation rates using the FNPHC specification were examined for each diagnosis category, principal or additional diagnoses and regional variation to explore an application of the FNPHC and consider implications for implementation in practice.
2.2. Data
Data were requested from the National Hospital Morbidity Database—a repository of episode-level records from admitted patient data collections in Australian public and private hospitals—using the FNPHC and PPH specifications. Annual counts of admitted patients (identified as First Nations people) were provided for each specified category for financial years 2016–2017 through 2019–2020 by State/Territory and five–year age groups from 0–4 through 65+. Counts were provided for both principal (PDx) and additional (ADx) diagnoses under the FNPHC specification, except for codes designating external causes (X60–X84, X45, Y15, W05–W10, W18–W19, X85–Y09) for which the concept of principal or additional diagnosis does not apply.
Population data for First Nations people were obtained from the Australian Bureau of Statistics via the online data explorer (explore.data.abs.gov.au, accessed on 22 December 2022), using the Series B projection for States and Territories. Population data by calendar year was converted to financial years by taking the average of the population across the two calendar years.
Age-standardised hospitalisation rates (per 1000 population) were calculated using the 2001 Australian population standard for both FNPHC and PPH specifications. For the FNPHC specification, rates for both principal and additional diagnoses for all categories and the sum total were calculated and compared. External cause codes were included in the relevant category totals (Table 1) for both (principal/additional) calculations. External cause diagnoses were included in the relevant category totals for both principal and additional diagnosis rate calculations.
Table 1.
ICD-10-AM specification for conditions of interest to First Nations primary healthcare (FNPHC).
2.3. Ethics
Ethics approval was obtained from the Human Research Ethics Committee at Central Queensland University (Application Number 22739).
3. Results
Table 1 shows the FNPHC specification and its alignment with the National Guide and HPF. There was good alignment between these categories and the chapters of the National Guide, particularly where the relevant health conditions are presented as discrete chapters, for example, Respiratory health (Chapter 9). Conversely, some conditions were relevant to more than one chapter. Diabetes, for example, is important to antenatal care (Chapter 2) and diabetes prevention and early detection (Chapter 12). The category of Lifestyle factors contained several items that were important to more than one chapter of the National Guide.
Extensions to the chapters were made in developing the FNPHC specification. Chapter 17 of the National Guide addresses mental health but specifies only prevention of depression and prevention of suicide as sub–chapters. Together, these comprise the Depression and suicide category in the FNPHC specification to align with the National Guide. The categories Mental disorders and Mental health-related conditions were adopted directly from the HPF and included in the FNPHC specification (excluding those codes already used for depression and dementia in their respective categories) to provide greater utility in measuring mental health more broadly. Chapter 16 relates to family abuse and violence, for which no ICD-10 specifications could be established. External cause codes for assault (X85–Y09) were included in the FNPHC specification under Lifestyle factors to capture this aspect. Implications are considered in the discussion.
3.1. FNPHC Categories
As a total measure, FNPHC hospitalisations with a principal diagnosis at the national level were between 125.5 and 134.7 per 1000 for the period of collected data. Hospitalisations for FNPHC as an additional diagnosis are over four times higher each year—between 561.1 and 597.3 per 1000. Additional diagnoses were more inclusive in all categories except for Respiratory health, Eyes and ears and Oral health, where rates of principal diagnoses were between 1.3 and 1.7 times higher than those of additional diagnoses. National rates by year are presented for all FNPHC categories in Table 2.
Table 2.
Age-standardised hospitalisation rates for FNPHC for financial years 2016–2017 through 2019–2020.
3.2. Comparison with Potentially Preventable Hospitalisations
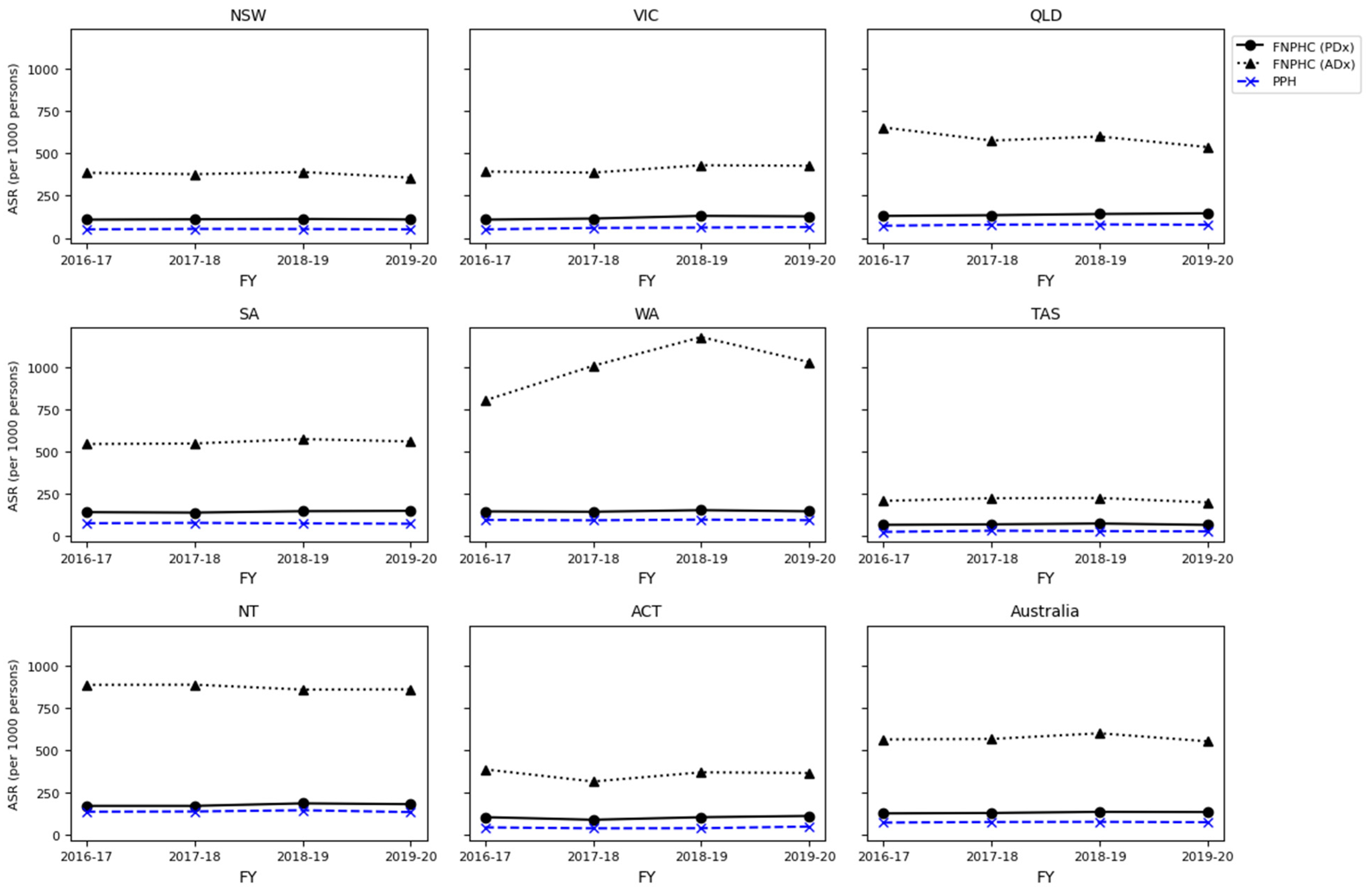
Age-standardised FNPHC rates were compared with those of PPH. FNPHC and PPH specifications are not independent. ICD-10 codes common to both specifications are shown in Supplementary Table S1. Little variability of rates across years was observed in all jurisdictions for both PPH and FNPHC measures (see Figure 2). Rates of FNPHC as principal diagnoses were between 1.5 and 2.5 times higher than those of PPH and approximately between 6 and 12 times higher for additional diagnoses (Figure 2 and Figure 3). Rates for additional diagnoses increased differentially for Western Australia compared to other jurisdictions owing to an increase in additional diagnoses in the categories Diabetes and CKD, peaking in 2018–2019. Rates and ratios for all years by jurisdiction are included in Supplementary Table S2.
Figure 2.
Jurisdictional comparison of PPH and FNPHC hospitalisation rates.
Figure 3.
Rate ratios and correlation between all observations of PPH and FNPHC hospitalisations. The distribution of rate ratios across State/Territory for FNPHC:PPH is shown; a vertical line denotes ratio = 1.
Spearman’s rank correlation coefficients between measures were not significant except for South Australia, which had a negative correlation (years with higher rates of PPH had lower rates of FNPHC; ρ = −1, p < 0.001), and for the Australian Capital Territory, which had a positive correlation (years with higher rates of PPH also had higher rates of FNPHC; ρ = 1, p < 0.001) for principal diagnoses only (Table 3). Correlating all observations by jurisdiction-year showed a positive association with PPH in both principal and additional diagnoses: jurisdictions with higher rates of PPH were statistically likely to also have higher rates of FNPHC (ρ = 0.95–0.96, p < 0.001; see Figure 3).
Table 3.
Age-standardised rates of Potentially Preventable Hospitalisations and rank correlations with FNPHC hospitalisation rates, States/Territories.
3.3. Principal and Additional Diagnoses
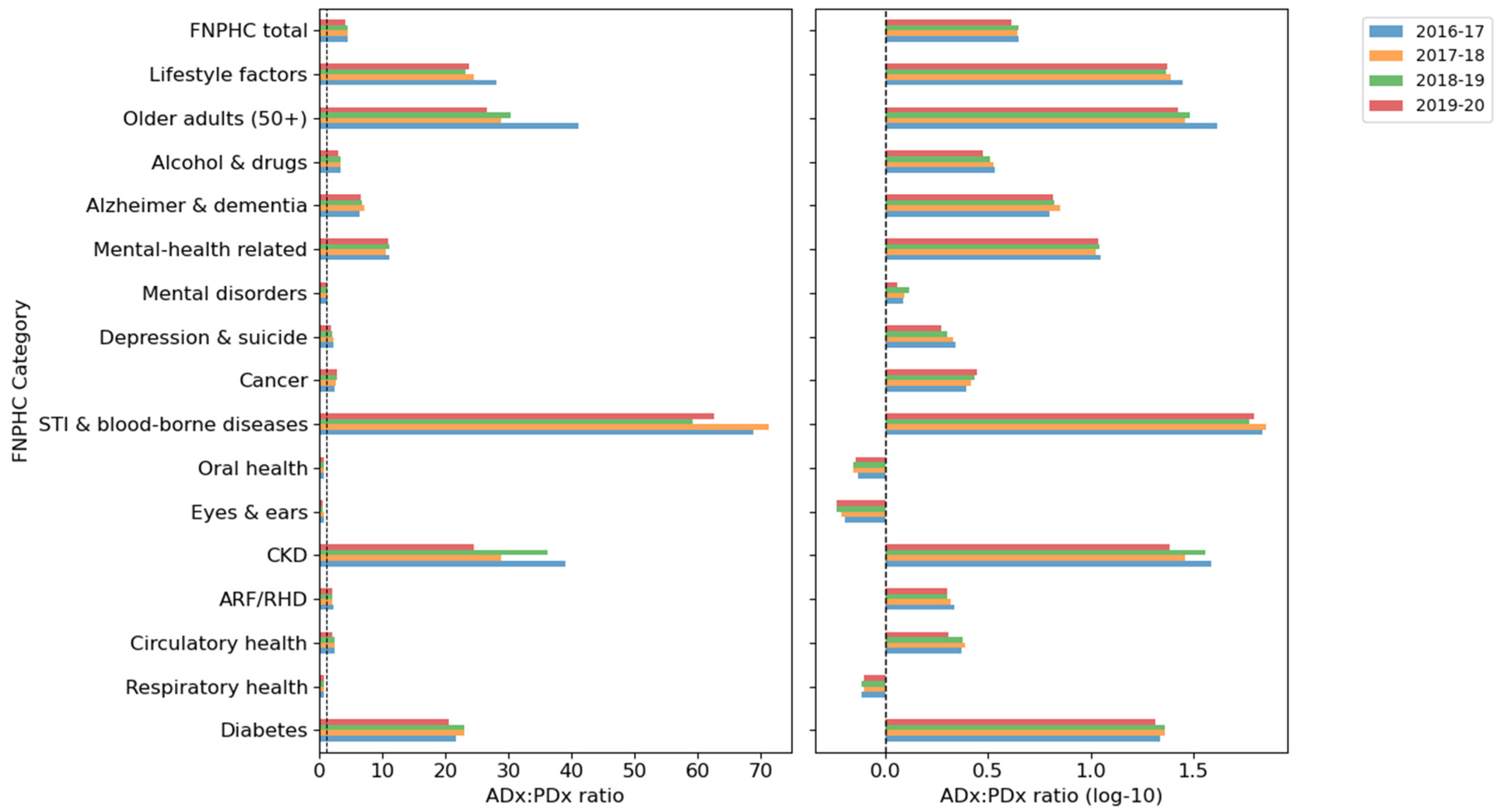
As a total measure, FNPHC rates for additional diagnoses were higher than rates for principal diagnoses. This was also true of most individual categories, except for Oral health, Eyes and ears and Respiratory health, which were more likely to be reported as principal diagnoses. STI and blood-borne diseases were almost exclusively reported in additional diagnoses in Tasmania and the ACT and accounted for less than one per thousand hospitalisations in other jurisdictions. Figure 4 shows the rate ratios of additional to principal diagnoses for each category and financial year. All rates by jurisdiction, year and category are provided in Supplementary Table S3.
Figure 4.
Rate ratios of additional diagnoses and principal diagnoses for FNPHC categories. The second panel shows ratios on a base-10 logarithmic scale to highlight categories where principal diagnoses exceed additional diagnoses.
Rates based on principal diagnoses were correlated with those based on additional diagnoses for all FNPHC categories by State/Territory and financial year. There was a generally high-ranking correlation between rates based on principal and additional diagnoses for each category. That is, jurisdictions and financial years with high rates of principal diagnoses also tended to have higher rates of additional diagnoses relative to other jurisdictions and years. Values of Spearman’s correlation were high, between 0.7 and 0.9, except for Mental health-related conditions (ρ = 0.44), and were significant at the 0.01 level. However, weak or non-existent correlations were observed for Oral health, Cancer, Depression and suicide, Older adults and Lifestyle factors, and none of which were statistically significant. Table 4 shows the rank correlation coefficients for each category.
Table 4.
Spearman’s rank correlation between principal and additional diagnoses for all observations.
4. Discussion
This study developed a prototype ICD-10 specification to reflect the health conditions of interest to First Nations primary healthcare as advised by the National Guide and compared rates of hospitalisation with those of the traditional PPH data. As a total summative measure, the FNPHC classification contains more diagnostic categories than PPH, and this is reflected in the higher rates of hospitalisation observed under the former classification.
There was no clear evidence of a correlation between the two measures; however, it must be noted that hospitalisation rates nationally changed by less than 5 per 1000 for PPH and less than 10 per 1000 for FNPHC across the period observed. There was a strong correlation between the measures for jurisdiction-years, with States/Territories that had higher rates of PPH also tended to have higher rates of FNPHC hospitalisations. The specifications are not mutually exclusive in terms of the diagnoses included, which contributes to the statistical association; however, many of the conditions documented in the National Guide are not represented in the PPH specification. It is, therefore, also possible that both specifications reflect the underlying area’s propensity for hospitalisations or health status in a general way. Analysis of data for smaller geographical regions and/or linked data for individuals would help elucidate these relationships.
Year-to-year variability was more likely to be observed when considering additional diagnoses as the inclusion criteria rather than principal diagnoses alone. With respect to individual disease/condition categories, higher rates were typically observed in additional diagnoses; however, this was not the case for Oral health, Eyes and ears and Respiratory health. Further consultation is required with First Nations health workers and health practitioners regarding the appropriateness and usefulness of principal or additional diagnoses. Further, as this work is a desktop and document analysis, clinical validation and further refinements to the specification would strengthen the validity of the measure, such as those benefiting the PPH specification: diagnosis-specific inclusion/exclusion criteria regarding principal or additional diagnoses, age and hospital procedures. For example, heart failure (I50) is counted only as a principal diagnosis and excludes admissions for heart surgeries; acute bronchitis (J20) is counted only as a principal diagnosis and if the admission has an additional diagnosis of bronchiectasis (J47). Similar refinements to the FNPHC specification warrant consideration.
Of particular importance is the fact that cancer is not included in the PPH specification but has a dedicated chapter in the National Guide. This highlights the fundamental disconnect between the concept of avoidable hospitalisations and the prevalence of health conditions that are of interest to primary care that motivated the current study. The FNPHC specification has high face validity owing to its direct relationship to the National Guide; however, the value of a broad, summative measure of hospitalisations to inform First Nations primary care—be it PPH or FNPHC—should also be questioned and further tested. As with any indicator, they can add value when used as outcome variables in conjunction with other explanatory or input variables, such as those reflecting service activity in the case of primary care, rather than providing a numerical value in isolation. Examining correlations between FNPHC and other health system measures is a topic for future research.
5. Conclusions
This research has developed a First Nations primary health data (FNPHC) specification and compared it with the traditional specification derived using PPH. Preliminary findings support its application as a summary measure for First Nations primary care providers to monitor hospitalisations for health conditions specified in the National Guide. Given the policy landscape in Australia that aims to close the gap, it is imperative that measures of primary health take advantage of the concepts and application of First Nations data sovereignty and governance. The validity and cultural appropriateness of the First Nations primary health data specification needs to be further researched.
Supplementary Materials
The following supporting information can be downloaded at: https://www.mdpi.com/article/10.3390/ijerph21091192/s1, Table S1. Overlap between PPH and FNPHC specifications; Table S2. Aged-standardised rates and rate ratios for Potentially Preventable Hospitalisations; Table S3. Age-standardised rates for all categories of FNPHC.
Author Contributions
As lead author, B.P. was responsible for data extraction and analysis. All authors (B.P., C.M.D. and S.J.B.) contributed to conceptual thinking and manuscript preparation. All authors have read and agreed to the published version of the manuscript.
Funding
This research was partially funded by Allen and Clarke as part of a larger project funded by the Australian Government Department of Health.
Institutional Review Board Statement
The study was conducted in accordance with the Declaration of Helsinki and approved by the Human Research Ethics Committee at Central Queensland University (Application Number 22739, approval December 2020).
Informed Consent Statement
Not applicable, as the study is based on routinely collected data.
Data Availability Statement
All data used in the manuscript are available upon request by contacting the lead author.
Conflicts of Interest
The authors declare that the research was conducted in the absence of any commercial or financial relationships that could be construed as potential conflicts of interest.
References
- Australian Government. Closing the Gap on Indigenous Disadvantage: The Challenge for Australia; Australian Government: Canberra, Australia, 2009. Available online: https://www.dss.gov.au/sites/default/files/documents/05_2012/closing_the_gap.pdf (accessed on 20 December 2022).
- Australian Government. Closing the Gap; Australian Government: Canberra, Australia, 2023.
- Australian Institute of Health and Welfare. Australia’s Health; AIHW: Canberra, Australia, 2023.
- Coombs, D. Primary Health Networks’ impact on Aboriginal Community Controlled Health Services. Aust. J. Public Adm. 2018, 77, S37–S46. [Google Scholar] [CrossRef]
- Davy, C.; Harfield, S.; McArthur, A.; Munn, Z.; Brown, A. Access to primary health care services for Indigenous peoples: A framework synthesis. Int. J. Equity Health 2016, 15, 163. [Google Scholar] [CrossRef] [PubMed]
- Laycock, A.; Conte, K.; Harkin, K.; Bailie, J.; Matthews, V.; Cunningham, F.; Ramanathan, S.A.; Bailie, R. Improving the Quality of Primary Health Care for Aboriginal and Torres Strait Islander Australians. Centre for Research Excellence in Integrated Quality Improvement 2015–2019: Messages for Action, Impact and Research; University Centre for Rural Health, The University of Sydney: Lismore, Australia, 2020. [Google Scholar]
- Australian Institute of Health and Welfare. Aboriginal and Torres Strait Islander Health Performance Framework 2020 Summary Report; Cat. no. IHPF 2; AIHW: Canberra, Australia, 2020.
- Australian Institute of Health and Welfare. Disparities in Potentially Preventable Hospitalisations across Australia, 2012–2013 to 2017–2018; AIHW: Canberra, Australia, 2020. Available online: https://www.aihw.gov.au/reports/indigenous-australians/review-indigenous-data-sets-osr-kpi/contents/table-of-contents (accessed on 1 September 2024).
- Australian Institute of Health and Welfare. Aboriginal and Torres Strait Islander Health Performance Framework; AIHW: Canberra, Australia, 2022.
- Bailie, J.; Matthews, V.; Laycock, A.; Schultz, R.; Burgess, C.P.; Peiris, D.; Larkins, S.; Bailie, R. Improving preventive health care in Aboriginal and Torres Strait Islander primary care settings. Glob. Health 2017, 13, 48. [Google Scholar] [CrossRef]
- Potts, B.; Doran, C.M.; Begg, S. The Utility of Data Collected as Part of Australia’s Aboriginal and Torres Strait Islander Health Performance Framework. Int. J. Environ. Res. Public Health 2024, 21, 340. [Google Scholar] [CrossRef] [PubMed]
- Ansari, Z. A Review of Literature on Access to Primary Health Care %J Australian Journal of Primary Health. Aust. J. Prim. Health 2007, 13, 80–95. [Google Scholar] [CrossRef]
- Caminal, J.; Starfield, B.; Sánchez, E.; Casanova, C.; Morales, M. The role of primary care in preventing ambulatory care sensitive conditions. Eur. J. Public Health 2004, 14, 246–251. [Google Scholar] [CrossRef]
- Ansari, Z.; Laditka, J.N.; Laditka, S.B. Access to Health Care and Hospitalization for Ambulatory Care Sensitive Conditions. Med. Care Res. Rev. 2006, 63, 719–741. [Google Scholar] [CrossRef] [PubMed]
- World Health Organization. The ICD-10 Classification of Mental and Behavioural Disorders; WHO: Geneva, Switzerland, 1993. [Google Scholar]
- Australian Bureau of Statistics. Estimates of Aboriginal and Torres Strait Islander Australians; ABS cat. no. 3238.0.55.001; ABS: Canberra, Australia, 2018. [Google Scholar]
- Capital Health Network PHN. 2021–2024 Needs Assessment; Capital Health: Canberra, Australia, 2021; Available online: https://www.chnact.org.au/wp-content/uploads/2022/03/Capital-Health-Network-ACT-PHN-2021-24-Needs-Assessment.pdf (accessed on 30 August 2024).
- Central and Eastern Sydney PHN. 2022–2024 Needs Assessment; Central and Eastern Sydney (PHN): Sydney, Australia, 2023; Available online: https://cesphn.org.au/wp-content/uploads/All_Categories/planning/pdf/Planning_Needs-Assessment_Executive_summary.pdf (accessed on 30 August 2024).
- Central Queensland Wide Bay Sunshine Coast PHN. Aboriginal and Torres Strait Islander People’s Health: Health Needs and Service Analysis; Central Queensland Wide Bay Sunshine Coast PHN: Maroochydore, Australia, 2021; Available online: https://c2coast.org.au/wp-content/uploads/HNA_Narrative_final.pdf (accessed on 30 August 2024).
- Country South Australia PHN. Needs Assessment Report 2022–2025; Country South Australia PHN: Nuriootpa, Australia, 2022; Available online: https://issuu.com/csaphn/docs/csaphn_na_report_2022-25_v1_nov_2021 (accessed on 30 August 2024).
- Gippsland PHN. Gippsland PHN Health Needs Assessment; Gippsland PHN: Traralgon, Australia, 2021; Available online: https://gphn.org.au/what-we-do/health-planning-research-and-evaluation/health-needs-assessment-2/ (accessed on 1 September 2024).
- Gold Coast PHN. Needs Assessment 2023; Gold Coast PHN: Robina, Australia, 2023; Available online: https://gcphn.org.au/about/our-region/gold-coast-needs-assessment-2023/ (accessed on 2 September 2024).
- Murrumbidgee PHN. Health Needs Assessment 2022–2025; Murrumbidgee PHN: Murrumbidgee, Australia, 2022; Available online: https://mphn.org.au/health-needs-assessment-20222025 (accessed on 1 September 2024).
- Nepean Blue Mountains PHN. Needs Assessment 2023; Nepean Blue Mountains PHN: Nepean, Australia, 2022; Available online: https://www.nbmphn.com.au/Resources/About/NBMPHN-Needs-Assessment-2023 (accessed on 2 September 2024).
- PHN HNEaCC. Core Needs Assesment 2022–2025; Hunter New England and Central Coast PHN: Broadmeadow, Australia, 2024; Available online: https://hneccphn.imgix.net/assets/src/uploads/images/HNECC-Core-Needs-Assessment-22-25-Summary.pdf (accessed on 29 August 2024).
- Primary Health Tasmania. Health Needs Assessment 2022–2023 to 2024–2025; Primary Health Tasmania: Hobart, Australia, 2022; Available online: https://www.primaryhealthtas.com.au/wp-content/uploads/2023/05/Health-in-Tasmania-Comprehensive-Needs-Assessment-2022-25.pdf (accessed on 30 August 2024).
- South Eastern Melbourne PHN. South Eastern Melbourne PHN Annual Needs Assessment 2023–2025; South Eastern Melbourne PHN: Heatherton, Australia, 2022; Available online: https://www.semphn.org.au/2023-health-needs-assessment (accessed on 28 August 2024).
- South Western Sydney PHN. 2022–2025 Needs Assessment; South Western Sydney PHN: Bankstown, Australia, 2024; Available online: https://swsphn.com.au/wp-content/uploads/2023/11/SWSPHN-Needs-Assessment-2023.pdf (accessed on 30 August 2024).
- Western Australia Primary Health Alliance. Needs Assessment 2022–2024; Western Australia Primary Health Alliance: Perth, Australia, 2022; Available online: https://www.wapha.org.au/service-providers/health-planning/needs-assessment/ (accessed on 30 August 2024).
- Western Queensland PHN. 2022–2025 Health Needs Assessment; Western Queensland PHN: Roma, Italy, 2022; Available online: https://www.wqphn.com.au/annual-report-2021-2022/AR-our-people/2022-2026-health-needs-assessment (accessed on 30 August 2024).
- Western Sydney PHN. Needs Assessment 2022/23–2024/25; Western Sydney PHN: Dubbo, Australia, 2022; Available online: https://www.wnswphn.org.au/about-us/our-region/needs-assessment (accessed on 30 August 2024).
- Western Victoria PHN. Western Victoria Primary Health Network Needs Assessment; Western Victoria PHN: Geelong, Australia, 2023; Available online: https://westvicphn.com.au/wp-content/uploads/2024/02/2023-WVPHN-Needs-Assessment-Update-Public.pdf (accessed on 30 August 2024).
- Practitioners. NACCHOaTRACoG. National Guide to a Preventive Health Assessment for Aboriginal and Torres Strait Islander People, 3rd ed.; RACGP: Victoria, Australia, 2018. [Google Scholar]
Disclaimer/Publisher’s Note: The statements, opinions and data contained in all publications are solely those of the individual author(s) and contributor(s) and not of MDPI and/or the editor(s). MDPI and/or the editor(s) disclaim responsibility for any injury to people or property resulting from any ideas, methods, instructions or products referred to in the content. |
© 2024 by the authors. Licensee MDPI, Basel, Switzerland. This article is an open access article distributed under the terms and conditions of the Creative Commons Attribution (CC BY) license (https://creativecommons.org/licenses/by/4.0/).



