Abstract
Pregnancy carries substantial risk for developing lower urinary tract symptoms (LUTSs), with potential lifelong impacts on bladder health. Little is known about modifiable psychosocial factors that may influence the risk of postpartum LUTSs. We examined associations between depressive symptoms, perceived stress, and postpartum LUTSs, and the moderating effects of perceived social support, using data from a cohort study of Expect With Me group prenatal care (n = 462). One year postpartum, 40.3% participants reported one or more LUTS. The most frequent LUTS was daytime frequency (22.3%), followed by urinary incontinence (19.5%), urgency (18.0%), nocturia (15.6%), and bladder pain (6.9%). Higher odds of any LUTS were associated with greater depressive symptoms (adjusted odds ratio (AOR) 1.08, 95% confidence interval (CI) 1.04–1.11) and perceived stress (AOR 1.12, 95% CI 1.04–1.19). Higher perceived social support was associated with lower odds of any LUTS (AOR 0.94, 95% CI 0.88–0.99). Perceived social support mitigated the adverse effects of depressive symptoms (interaction AOR 0.99, 95% CI 0.98–0.99) and perceived stress (interaction AOR 0.97, 95% CI 0.95–0.99) on experiencing any LUTS. Greater depressive symptoms and perceived stress may increase the likelihood of experiencing LUTSs after childbirth. Efforts to promote bladder health among postpartum patients should consider psychological factors and social support.
1. Introduction
Pregnancy carries substantial risk for developing lower urinary tract symptoms (LUTSs) and is an exposure in 80% of United States (US) women by age 44 [1], leading to potential lifelong impacts on bladder health. Up to 52% of birthing people experience urinary incontinence (UI) during pregnancy [2], and 11–35% report LUTSs one year after delivery [3,4]. Though a large body of evidence links clinical parameters (e.g., age, body mass index (BMI), delivery mode, parity) with postpartum LUTSs [5], outcome measures typically focus on a single diagnosis (most commonly UI) [6,7,8,9,10], and little is known about modifiable psychosocial factors that may increase or reduce risk of LUTSs during the perinatal period.
Several longitudinal studies among the general population and clinic-based samples of adult women have demonstrated an association between depressive symptoms and risk of LUTSs [11,12,13,14,15]. Depressive symptoms have also been associated with progression of existing LUTSs [16,17,18]. Similarly, evidence suggests LUTSs are prospectively associated with the development of affective disorders [11,12,19,20,21]. However, the relationship between postpartum depressive symptoms and LUTSs is unclear. One study showed that UI was positively associated with postpartum depression [22], while others have not demonstrated a definitive association [23,24].
Stress has been hypothesized as a risk factor for LUTSs, either directly or via affective disorders [25]. However, few studies have examined stress in relation to LUTSs, and none among pregnant or postpartum populations. In studies among adult female patients, elevated psychological stress levels have been associated with LUTSs [26,27]. Stress and depression affect as many as 53% and 25% of pregnant people, respectively [28,29], warranting more research on their associations with postpartum LUTSs.
Research has highlighted the importance of social support—a multidimensional construct encompassing emotional, instrumental, or informational assistance received from others—as a psychosocial mechanism that may protect against adverse health outcomes directly and indirectly as a buffer against stressful circumstances [30,31,32]. Only a few studies have examined associations between perceived social support and LUTSs among women [33,34,35], one of which found low levels of social support to be prospectively associated with more burdensome LUTSs [33]. Another reported an association between low social support and greater prevalence and frequency of UI in a cohort of women aged 40 to 55 years old [34].
The objective of this study was to examine associations between depressive symptoms, perceived stress, and postpartum LUTSs and the direct and moderating effects of perceived social support. We hypothesized that higher levels of social support would be associated with lower odds of experiencing LUTSs and may buffer the adverse effects of depressive symptoms and perceived stress on postpartum LUTSs.
2. Materials and Methods
2.1. Data Source
These analyses utilized data collected as part of a prospective cohort study examining a group model of prenatal care (Expect With Me) implemented in four clinical sites in Nashville, TN, and Detroit, MI, that served a diverse population at risk for adverse birth outcomes from 2014 through 2016 [36,37]. Study participants were recruited from week 14 of pregnancy and followed through one year postpartum. Eligibility criteria included: less than 24 weeks pregnant; lack of a severe medical problem; ability to speak English or Spanish; and willingness to participate in the study. Individuals with a severe medical concern that a healthcare provider determined required more intensive monitoring via individual care were excluded. Staff at each clinical site explained the study to eligible participants, answered questions, and obtained informed consent. Analyses for this study used data collected through online surveys during the second trimester of pregnancy and twelve-months postpartum. Participants were paid USD 20 for each completed survey. The Institutional Review Boards at Yale, Vanderbilt, and Wayne State Universities approved all study procedures. The cohort was limited to study participants who provided data on LUTSs one year postpartum, resulting in an analytic sample of 462 pregnant individuals. Compared to pregnant individuals included in this analytic sample, those excluded were more likely to be younger and Black (p < 0.05). There were no other significant sociodemographic differences.
2.2. Measures
Demographic data including age, race and ethnicity (non-Hispanic White, non-Hispanic Black, Hispanic, and Other), educational attainment (less than high school, high school graduate/GED, and some college/higher education), relationship status (single/separated/divorced and married/living with partner), and insurance status (private, public, and none) were collected during the second trimester of pregnancy. The delivery mode for the most recent pregnancy (vaginal versus cesarean section), post-pregnancy BMI (underweight, healthy weight, overweight, and obese), depressive symptoms, perceived stress, perceived social support, parity, and LUTSs were assessed one year postpartum.
- Depressive symptoms: Depressive symptoms were measured using the Center for Epidemiologic Studies-Depression (CES-D) scale [38]. Consistent with prior studies of pregnant individuals, five items describing somatic symptoms often associated with pregnancy (e.g., poor appetite, poor sleep) were excluded [39,40]. Participants rated how often during the past week they experienced affective components of depressed mood (e.g., feelings of loneliness, failure, hopelessness) on a 4-point Likert scale, ranging from none of the time (0) to all of the time (3). Scores for each item were summed, with a higher summative score indicating greater depressive symptoms (α = 0.87).
- Perceived stress: An abridged, four-item version of the Perceived Stress Scale was used to measure the degree to which an individual appraised situations in their life as stressful [41]. Participants rated how often during the past month they felt or thought a certain way (e.g., unable to control important things, not confident about ability to handle personal problems) on a 5-point Likert scale, ranging from never (1) to very often (5). Item scores were summed, with higher scores indicating higher levels of stress (α = 0.79).
- Social support: Social support was assessed using an abridged, four-item version of the Multidimensional Scale of Perceived Social Support [42]. Participants rated their level of agreement about the availability of a support person (e.g., someone to talk to about my problems, someone who helps me make decisions) on a 5-point Likert scale, ranging from strongly disagree (1) to strongly agree (5). A summary score was calculated, with higher scores indicating greater perceived social support (α = 0.92).
- LUTSs: Items used to assess LUTSs were adapted from existing self-report measures of urinary frequency, urgency, nocturia, incontinence, and pain (Urogenital Distress Inventory, Overactive Bladder Questionnaire, Bristol Female Lower Urinary Tract Symptoms Questionnaire, King’s Health Questionnaire, O’Leary Sant Index) [43,44,45,46,47]. Participants responded ‘yes’ or ‘no’ to the following items assessing bladder symptoms: “I go to the bathroom too frequently during the day”; “I often have a strong or overwhelming urge to urinate”; “I go to the bathroom too frequently at night”; “I leak urine”; and “I have bladder pain”. Participants who responded ‘yes’ to at least one symptom were categorized as having ‘any LUTS’.
2.3. Data Analysis
Descriptive statistics were used to summarize participant characteristics. Multiple logistic regressions were run to examine the association between psychosocial factors and LUTSs (both single symptom and ‘any LUTS’) one year postpartum, controlling for participant characteristics (age, race/ethnicity, education, relationship status, insurance, post-pregnancy BMI, parity, delivery mode, and study site). Moderation effects of perceived social support between depressive symptoms, perceived stress, and LUTSs were tested using interaction terms. Significant interactions were probed by simple slopes tests using the “margins” command to generate simple slopes for exposure variables (depressive symptoms, perceived stress) at −1 standard deviation (SD), 0, and +1 SD on the centered perceived social support variable [48]. All analyses were conducted using Stata 17.0 (StataCorp, College Station, TX, USA). A p-value of less than 0.05 was considered statistically significant.
3. Results
3.1. Participant Characteristics
Table 1 shows participant characteristics. At baseline, participants had a mean age of 25.6 years, and 61.5% self-identified as non-Hispanic Black, 18.2% as non-Hispanic White, 16.5% as Hispanic and 3.9% as other. The majority had some college or higher education (46.5%), were single (including separated or divorced, 56.5%), had public insurance (68.4%), and had a vaginal delivery for their most recent pregnancy (72.9%). Fifty-two percent of participants were primiparous. Forty-three percent had a post-pregnancy BMI characterized as obese. One year postpartum, 40.3% reported having one or more LUTSs. The most frequent LUTS reported was frequent daytime urination (22.3%), followed by urinary incontinence (19.5%), urgency (18.0%), nocturia (15.6%), and bladder pain (6.9%).
Table 1.
Participant characteristics (n = 462).
3.2. Association of Psychosocial Factors with LUTSs Postpartum
Table 2 shows the multiple logistic regression model results for the association between psychosocial factors and LUTS type at 12 months postpartum. Participants who reported greater depressive symptoms had higher odds of having any LUTS (adjusted odds ratio (AOR) 1.08, 95% confidence interval (CI) 1.04–1.11), frequent daytime urination (AOR 1.05, 95% CI 1.02–1.08), urgency (AOR 1.05, 95% CI 1.01–1.09), nocturia (AOR 1.07, 95% CI 1.04–1.11), urinary incontinence (AOR 1.06, 95% CI 1.03–1.10), and bladder pain (AOR 1.05, 95% CI 1.00–1.10). Participants who reported greater perceived stress also had higher odds of having any LUTS (AOR 1.12, 95% CI 1.04–1.19), urgency (AOR 1.10, 95% CI 1.01–1.20), and urinary incontinence (AOR 1.14, 95% CI 1.04–1.23) compared to those who reported lower perceived stress. In contrast, higher perceived social support was associated with lower odds of having any LUTS (AOR 0.94, 95% CI 0.88–0.99), nocturia (AOR = 0.89, 95% CI 0.82–0.95), and urinary incontinence (AOR = 0.92, 95% CI 0.86–0.99).
Table 2.
Multiple logistic regression models for LUTSs postpartum.
3.3. Moderation Effects
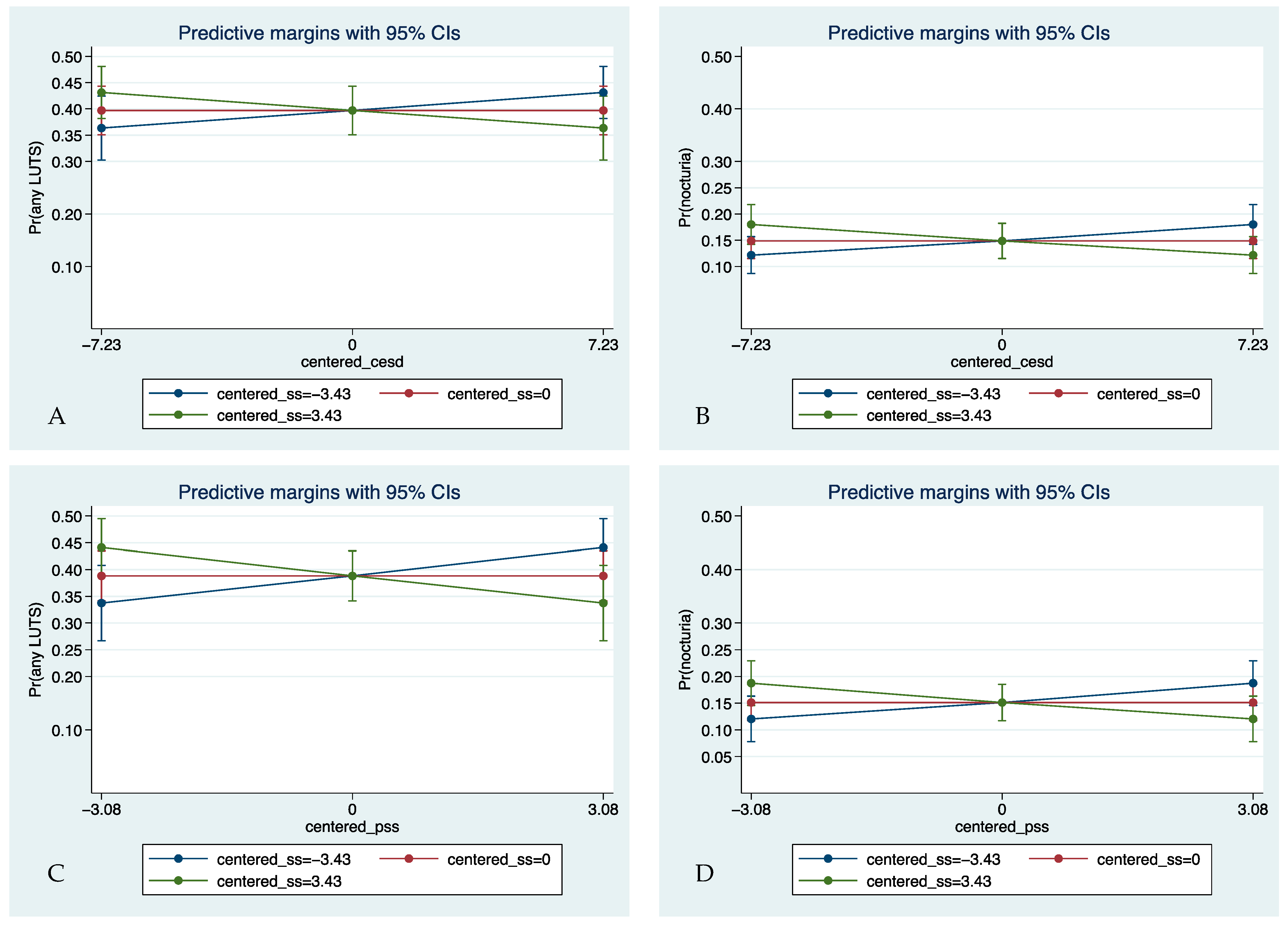
Perceived social support moderated the associations between depressive symptoms (interaction AOR 0.99, 95% CI 0.98–0.99) and perceived stress (interaction AOR 0.97, 95% CI 0.95–0.99) and any LUTS. In particular, perceived social support was protective against the adverse effects of depressive symptoms (interaction AOR 0.98, CI 0.98–0.99) and perceived stress (AOR = 0.97, 95% CI 0.95–0.99) on nocturia. However, these findings may not reflect clinical significance due to small effect sizes.
Figure 1 shows the simple slopes test of the significant interaction terms. There was a positive predictive relationship between depressive symptoms and any LUTS and nocturia among those low in perceived social support. There was a negative predictive relationship among those high in perceived social support. This pattern with LUTSs, perceived stress, and social support interaction was similar.
Figure 1.
Interaction plots: (A) depressive symptoms × social support at any LUTS; (B) depressive symptoms × social support at nocturia; (C) perceived stress × social support at any LUTS; (D) perceived stress × social support at nocturia. Abbreviations: cesd, depressive symptoms; LUTS, lower urinary tract symptom; pss, perceived stress; ss, social support.
4. Discussion
LUTSs are common one year after childbirth and are more common in participants with greater depressive symptoms and perceived stress scores. Additionally, there may be varying levels of effect for specific LUTSs (e.g., urgency vs. UI). Participants who perceived higher levels of social support had lower odds of experiencing LUTSs one year postpartum. Social support also played a protective role against the adverse effects of depressive symptoms and the perceived stress of having LUTSs.
A majority of the literature regarding postpartum LUTSs has focused on demographic and clinical factors associated with bladder health. The current study took a broader social-biologic-ecologic approach, as proposed by the Prevention of Lower Urinary Tract Symptom Research Consortium in its assessment of potentially modifiable psychosocial factors [49]. The positive associations between depressive symptoms and perceived stress scores and experience of postpartum LUTSs in the current sample are consistent with those reported among non-pregnant populations [50,51]. For instance, among women in the COBaLT study [52], depression was associated with SUI and the sensation of incomplete emptying. Although a systematic review noted a positive association between somatization, depression, and anxiety at baseline and a LUTS or its progression during follow-up, the evidence remains insufficient for establishing a bidirectional association, causality, or longitudinal changes [53]. Notably, existing longitudinal studies have predominantly centered on men, warranting further research to clarify these relationships in women [54,55,56].
Our findings are also consistent with the notion that supportive relationships have the potential to positively influence health [30,31,32]. This may occur through psychobiological mechanisms such as the attenuation of the sympathetic–adreno–medullar, hypothalamic–pituitary–adrenocortical, and inflammatory stress responses [30,57,58]. The mechanisms are not well understood; however, common pathways involving cortisol release and corticotropin-releasing factor have been suggested by clinical and animal studies to link increased psychological stress and LUTSs [57,59]. It is also possible that supportive relationships may lead to early treatment seeking and, in turn, less severe or quicker resolution of LUTSs [33].
Rates of postpartum UI, particularly stress urinary incontinence (SUI), have been extensively studied, although there is significant heterogeneity in populations, length of follow-up, and UI definition used. There is less literature regarding other LUTSs in the postpartum period, such as urgency, frequency, and nocturia. Thus, we sought to more broadly characterize LUTSs. A 2019 study that utilized the ICIQ-FLUTS questionnaire assessed a range of storage and voiding LUTSs and, similar to our study, reported an approximately 40% rate of storage LUTSs, with urgency and nocturia being the most common [60].
Several limitations of this study must be acknowledged. At the time of data collection, there were no validated tools that included the range of storage symptoms we wanted to assess within a limited number of items. Although the LUTS items used have not been validated as a group, the individual items use language common in many validated tools or utilize International Continence Society (ICS) terminology. Additionally, LUTS measures were not administered during pregnancy, precluding our ability to examine incident LUTSs or changes in LUTSs over time. Future research should examine the impact of depressive symptoms on LUTSs across the perinatal period. This study also did not account for prior or current treatment of LUTSs or depressive symptoms and data were not available regarding comorbid conditions or medications that individuals may have been taking that might influence LUTSs. All measures used were subject to self-report bias. Participants were all enrolled in group rather than traditional individual prenatal care; thus, the sample may not represent all pregnant people at risk for postpartum LUTSs.
Strengths of this study include its assessment of multiple LUTSs among a diverse sample. This is the first study among birthing people that examined the effect of psychosocial variables on postpartum LUTSs risk and investigated the moderating role of perceived social support. The use of validated measures of depressive symptoms, perceived stress, and social support also strengthen the internal validity of our findings.
5. Conclusions
Pregnancy and childbirth represent a critical timepoint for the development of pelvic floor disorders that can persist throughout a person’s lifetime. Although the risk of postpartum LUTSs has traditionally been attributed to clinical factors, the current analysis demonstrates the importance of psychosocial factors as well. In light of the high prevalence of postpartum LUTSs and the attendant impact on the lives of individuals who give birth, future postpartum research should incorporate psychosocial factors in addition to individual biologic and behavioral contributors. Delineating these mechanisms will enable improved screening across the perinatal period and inform strategies to maintain postpartum bladder health and prevent LUTSs over the life course.
Author Contributions
Conceptualization, S.D.C., L.M.B. and L.M.R.; methodology, S.D.C., L.M.B. and L.M.R.; formal analysis, R.R.C. and L.M.B.; writing—original draft preparation, S.D.C. and L.M.B.; writing—review and editing, S.D.C., R.R.C., L.M.B., J.B.L., J.R.I. and L.M.R.; visualization, R.R.C.; supervision, L.M.R.; project administration, S.D.C. and L.M.B.; funding acquisition, J.B.L. and J.R.I. All authors have read and agreed to the published version of the manuscript.
Funding
This research was funded by the United Health Foundation with in-kind support from the United Health Group.
Institutional Review Board Statement
This study was conducted according to the guidelines of the Declaration of Helsinki, and approved by Yale Institutional Review Board (Approval Code: 1304011772; Approval Date: 4/2/2020).
Informed Consent Statement
Informed consent was obtained from all subjects involved in the study.
Data Availability Statement
Data are available to qualified researchers upon reasonable request of the authors.
Acknowledgments
We thank the many healthcare providers and health center staff at Vanderbilt University Health Center, Wayne State University, and the Detroit Medical Center who made this research possible, as well as our research staff members.
Conflicts of Interest
The authors declare no conflicts of interest. The funders had no role in the design of this study; in the collection, analyses, or interpretation of data; in the writing of the manuscript; or in the decision to publish the results.
References
- Monte, L.M.; Ellis, R.R. Fertility of Women in the United States: June 2012; Current Population Reports; US Census Bureau: Washington, DC, USA, 2014; pp. 20–575. [Google Scholar]
- Wang, X.; Jin, Y.; Xu, P.; Feng, S. Urinary incontinence in pregnant women and its impact on health-related quality of life. Health Qual. Life Outcomes 2022, 20, 13. [Google Scholar] [CrossRef]
- Thom, D.H.; Rortveit, G. Prevalence of postpartum urinary incontinence: A systematic review. Acta Obstet. Gynecol. Scand. 2010, 89, 1511–1522. [Google Scholar] [CrossRef] [PubMed]
- Boyles, S.H.; Li, H.; Mori, T.; Osterweil, P.; Guise, J.M. Effect of mode of delivery on the incidence of urinary incontinence in primiparous women. Obstet. Gynecol. 2009, 113, 134–141. [Google Scholar] [CrossRef] [PubMed]
- Cerruto, M.A.; D’Elia, C.; Aloisi, A.; Fabrello, M.; Artibani, W. Prevalence, incidence and obstetric factors’ impact on female urinary incontinence in Europe: A systematic review. Urol. Int. 2013, 90, 1–9. [Google Scholar] [CrossRef] [PubMed]
- Hantoushzadeh, S.; Javadian, P.; Shariat, M.; Salmanian, B.; Ghazizadeh, S.; Aghssa, M. Stress urinary incontinence: Pre-pregnancy history and effects of mode of delivery on its postpartum persistency. Int. Urogynecol J. 2011, 22, 651–655. [Google Scholar] [CrossRef] [PubMed]
- Viktrup, L.; Rortveit, G.; Lose, G. Does the impact of subsequent incontinence risk factors depend on continence status during the first pregnancy or the postpartum period 12 years before? A cohort study in 232 primiparous women. Am. J. Obstet. Gynecol. 2008, 199, e1–e73. [Google Scholar] [CrossRef] [PubMed]
- Gyhagen, M.; Åkervall, S.; Molin, M.; Milsom, I. The effect of childbirth on urinary incontinence: A matched cohort study in women aged 40–64 years. Am. J. Obstet. Gynecol. 2019, 221, e1–e322. [Google Scholar] [CrossRef]
- Herrmann, V.; Scarpa, K.; Palma, P.C.; Riccetto, C.Z. Stress urinary incontinence 3 years after pregnancy: Correlation to mode of delivery and parity. Int. Urogynecol J. Pelvic Floor. Dysfunct. 2009, 20, 281–288. [Google Scholar] [CrossRef]
- Chang, S.R.; Chen, K.H.; Lin, H.H.; Lin, M.I.; Chang, T.C.; Lin, W.A. Association of mode of delivery with urinary incontinence and changes in urinary incontinence over the first year postpartum. Obstet. Gynecol. 2014, 123, 568–577. [Google Scholar] [CrossRef]
- Felde, G.; Ebbesen, M.H.; Hunskaar, S. Anxiety and depression associated with urinary incontinence. A 10-year follow-up study from the Norwegian HUNT study (EPINCONT). Neurourol. Urodyn. 2017, 36, 322–328. [Google Scholar] [CrossRef]
- Melville, J.L.; Fan, M.-Y.; Rau, H.; Nygaard, I.E.; Katon, W.J. Major depression and urinary incontinence in women: Temporal associations in an epidemiologic sample. Am. J. Obstet. Gynecol. 2009, 201, e1–e7. [Google Scholar] [CrossRef]
- Mishra, G.D.; Barker, M.S.; Herber-Gast, G.C.; Hillard, T. Depression and the incidence of urinary incontinence symptoms among young women: Results from a prospective cohort study. Maturitas 2015, 81, 456–461. [Google Scholar] [CrossRef] [PubMed]
- Legendre, G.; Fritel, X.; Panjo, H.; Zins, M.; Ringa, V. Incidence and remission of stress, urge, and mixed urinary incontinence in midlife and older women: A longitudinal cohort study. Neurourol. Urodyn. 2020, 39, 650–657. [Google Scholar] [CrossRef] [PubMed]
- Legendre, G.; Ringa, V.; Panjo, H.; Zins, M.; Fritel, X. Incidence and remission of urinary incontinence at midlife: A cohort study. BJOG 2015, 122, 816–824. [Google Scholar] [CrossRef] [PubMed]
- Bradley, C.S.; Nygaard, I.E.; Hillis, S.L.; Torner, J.C.; Sadler, A.G. Longitudinal associations between mental health conditions and overactive bladder in women veterans. Am. J. Obstet. Gynecol. 2017, 217, e1–e430. [Google Scholar] [CrossRef] [PubMed]
- Maserejian, N.N.; Minassian, V.A.; Chen, S.; Hall, S.A.; McKinlay, J.B.; Tennstedt, S. Treatment status and risk factors for incidence and persistence of urinary incontinence in women. Int. Urogynecol. J. 2014, 25, 775–782. [Google Scholar] [CrossRef] [PubMed]
- Liu, A.B.; Liu, Q.; Yang, C.C.; Griffith, J.W.; Smith, A.R.; Helmuth, M.E.; Lai, H.H.; Amundsen, C.L.; Erickson, B.A.; Jelovsek, J.E.; et al. Patient Characteristics Associated with More Bother from Lower Urinary Tract Symptoms. J. Urol. 2019, 202, 585–591. [Google Scholar] [CrossRef] [PubMed]
- Häkkinen, J.T.; Shiri, R.; Koskimäki, J.; Tammela, T.L.; Auvinen, A.; Hakama, M. Depressive symptoms increase the incidence of nocturia: Tampere Aging Male Urologic Study (TAMUS). J. Urol. 2008, 179, 1897–1901. [Google Scholar] [CrossRef] [PubMed]
- Huang, C.L.; Wu, M.P.; Ho, C.H.; Wang, J.J. The bidirectional relationship between anxiety, depression, and lower urinary track symptoms: A nationwide population-based cohort study. J. Psychosom. Res. 2017, 100, 77–82. [Google Scholar] [CrossRef]
- Perry, S.; McGrother, C.W.; Turner, K.; Leicestershire MRC Incontinence Study Group. An investigation of the relationship between anxiety and depression and urge incontinence in women: Development of a psychological model. Br. J. Health Psychol. 2006, 11, 463–482. [Google Scholar] [CrossRef]
- Swenson, C.W.; DePorre, J.A.; Haefner, J.K.; Berger, M.B.; Fenner, D.E. Postpartum depression screening and pelvic floor symptoms among women referred to a specialty postpartum perineal clinic. Am. J. Obstet. Gynecol. 2018, 218, e1–e335. [Google Scholar] [CrossRef] [PubMed]
- Jurášková, M.; Piler, P.; Kukla, L.; Švancara, J.; Daňsová, P.; Hruban, L.; Kandrnal, V.; Pikhart, H. Association between Stress Urinary Incontinence and Depressive Symptoms after Birth: The Czech ELSPAC Study. Sci. Rep. 2020, 10, 6233. [Google Scholar] [CrossRef] [PubMed]
- Doering, A.D.; Hundley, A.F.; Hudson, C.O.; Benedict, J.A.; Lynch, C.D.; Schaffir, J.A. Is There an Association Between Bothersome Urinary Symptoms and Postpartum Depression? Female Pelvic Med. Reconstr. Surg. 2019, 25, 323–327. [Google Scholar] [CrossRef] [PubMed]
- Smith, A.L.; Berry, A.; Brubaker, L.; Cunningham, S.D.; Gahagan, S.; Low, L.K.; Mueller, M.; Sutcliffe, S.; Williams, B.R.; Brady, S.S. The Brain, Gut, and Bladder Health Nexus: A Conceptual Model Linking Stress and Mental Health Disorders to Bladder Health in Women. The Brain, Gut, and Bladder Health Nexus: A Conceptual Model Linking Stress and Mental Health Disorders to Bladder Health in Women. Neurourol Urodyn. 2023. under review. [Google Scholar]
- Lai, H.; Gardner, V.; Vetter, J.; Andriole, G.L. Correlation between psychological stress levels and the severity of overactive bladder symptoms. BMC Urol. 2015, 15, 14. [Google Scholar] [CrossRef] [PubMed]
- Rothrock, N.E.; Lutgendorf, S.K.; Kreder, K.J.; Ratliff, T.; Zimmerman, B. Stress and symptoms in patients with interstitial cystitis: A life stress model. Urology 2001, 57, 422–427. [Google Scholar] [CrossRef] [PubMed]
- Gokoel, A.R.; Abdoel Wahid, F.; Zijlmans, W.C.W.R.; Shankar, A.; Hindori-Mohangoo, A.D.; Covert, H.H.; MacDonald-Ottevanger, M.S.; Lichtveld, M.Y.; Harville, E.W. Influence of perceived stress on prenatal depression in Surinamese women enrolled in the CCREOH study. Reprod. Health 2021, 18, 136. [Google Scholar] [CrossRef] [PubMed]
- Gelaye, B.; Rondon, M.B.; Araya, R.; Williams, M.A. Epidemiology of maternal depression, risk factors, and child outcomes in low-income and middle-income countries. Lancet Psychiatry 2016, 3, 973–982. [Google Scholar] [CrossRef]
- Gariépy, G.; Honkaniemi, H.; Quesnel-Vallée, A. Social support and protection from depression: Systematic review of current findings in Western countries. Br. J. Psychiatry 2016, 209, 284–293. [Google Scholar] [CrossRef]
- Holt-Lunstad, J.; Uchino, B.N. Social Support and Health. In Health Behavior: Theory, Research, and Practice; Glanz, K., Rimer, B.K., Viswanath, K., Eds.; Jossey-Bass/Wiley: Hoboken, NJ, USA, 2015; pp. 183–204. [Google Scholar]
- Vila, J. Social support and longevity: Meta-analysis-based evidence and psychobiological mechanisms. Front. Psychol. 2021, 12, 717164. [Google Scholar] [CrossRef]
- Brady, S.S.; Arguedas, A.; Huling, J.D.; Shan, L.; Lewis, C.E.; Fok, C.S.; Van Den Eeden, S.K.; Markland, A.D. Interpersonal Stressors and Resources for Support: Associations with Lower Urinary Tract Symptoms and Impact Among Women. J. Womens Health 2023, 32, 693–701. [Google Scholar] [CrossRef]
- Waetjen, L.E.; Liao, S.; Johnson, W.O.; Sampselle, C.M.; Sternfield, B.; Harlow, S.D.; Gold, E.B. Factors associated with prevalent and incident urinary incontinence in a cohort of midlife women: A longitudinal analysis of data: Study of women’s health across the nation. Am. J. Epidemiol. 2007, 165, 309–318. [Google Scholar] [CrossRef] [PubMed]
- Dybowski, C.; Lowe, B.; Brunahl, C. Predictors of pain, urinary symptoms and quality of life in patients with chronic pelvic pain syndrome (CPPS): A prospective 12-month follow-up study. J. Psychosom. Res. 2018, 112, 99–106. [Google Scholar] [CrossRef] [PubMed]
- Cunningham, S.D.; Lewis, J.B.; Thomas, J.L.; Grilo, S.A.; Ickovics, J.R. Expect With Me: Development and evaluation design for an innovative model of group prenatal care to improve perinatal outcomes. BMC Pregnancy Childbirth 2017, 17, 147. [Google Scholar] [CrossRef] [PubMed]
- Lewis, J.B.; Cunningham, S.D.; Shabanova, V.; Hassan, S.S.; Magriples, U.; Rodriguez, M.G.; Ickovics, J.R. Group prenatal care and improved birth outcomes: Results from a type 1 hybrid effectiveness-implementation study. Prev. Med. 2021, 153, 106853. [Google Scholar] [CrossRef] [PubMed]
- Radloff, L.S. The CES-D scale: A self-report depression scale for research in the general population. Appl. Psychol. Meas. 1977, 1, 385–401. [Google Scholar] [CrossRef]
- Ickovics, J.R.; Reed, E.; Magriples, U.; Westdahl, C.; Schindler Rising, S.; Kershaw, T.S. Effects of group prenatal care on psychosocial risk in pregnancy: Results from a randomised controlled trial. Psychol. Health 2011, 26, 235–250. [Google Scholar] [CrossRef] [PubMed]
- Cunningham, S.D.; Smith, A.; Kershaw, T.; Lewis, J.B.; Cassells, A.; Tobin, J.N.; Ickovics, J.R. Prenatal depressive symptoms and postpartum sexual risk among young urban women of color. J. Pediatr. Adolesc. Gynecol. 2016, 29, 11–17. [Google Scholar] [CrossRef] [PubMed]
- Cohen, S.; Kamarck, T.; Mermelstein, R. A global measure of perceived stress. J. Health Soc. Behav. 1983, 24, 385–396. [Google Scholar] [CrossRef]
- Zimet, G.D.; Powell, S.S.; Farley, G.K.; Werkman, S.; Berkoff, K.A. Psychometric characteristics of the Multidimensional Scale of Perceived Social Support. J. Pers. Assess. 1990, 55, 610–617. [Google Scholar]
- Uebersax, J.S.; Wyman, J.F.; Shumaker, S.A.; McClish, D.K.; Fantl, J.A. Short forms to assess life quality and symptom distress for urinary incontinence in women: The Incontinence Impact Questionnaire and the Urogenital Distress Inventory. Continence Program for Women Research Group. Neurourol. Urodyn. 1995, 14, 131–139. [Google Scholar] [CrossRef]
- Coyne, K.S.; Thompson, C.L.; Lai, J.S.; Sexton, C.C. An overactive bladder symptom and health-related quality of life short-form: Validation of the OAB-q SF. Neurourol. Urodyn. 2015, 34, 255–263. [Google Scholar] [CrossRef] [PubMed]
- Jackson, S.; Donovan, J.; Brookes, S.; Eckford, S.; Swithinbank, L.; Abrams, P. The Bristol Female Lower Urinary Tract Symptoms questionnaire: Development and psychometric testing. Br. J. Urol. 1996, 77, 805–812. [Google Scholar] [CrossRef] [PubMed]
- Kelleher, C.J.; Cardozo, L.D.; Khullar, V.; Salvatore, S. A new questionnaire to assess the quality of life of urinary incontinent women. Br. J. Obstet. Gynaecol. 1997, 104, 1374–1379. [Google Scholar] [CrossRef] [PubMed]
- O’Leary, M.P.; Sant, G.R.; Fowler, F.J.; Whitmore, K.E.; Spolarich-Kroll, J. The interstitial cystitis symptom index and problem index. Urology 1997, 49, 58–63. [Google Scholar] [CrossRef] [PubMed]
- Hayes, A.F. Introduction to Mediation, Moderation, and Conditional Process Analysis: A Regression-Based Approach; The Guilford Press: New York, NY, USA, 2018. [Google Scholar]
- Brady, S.S.; Bavendam, T.G.; Berry, A.; Fok, C.S.; Gahagan, S.; Goode, P.S.; Hardacker, C.T.; Hebert-Beirne, J.; Lewis, C.E.; Lewis, J.B.; et al. Prevention of Lower Urinary Tract Symptoms (PLUS) Research Consortium. The Prevention of Lower Urinary Tract Symptoms (PLUS) in girls and women: Developing a conceptual framework for a prevention research agenda. Neurourol. Urodyn. 2018, 37, 2951–2964. [Google Scholar] [CrossRef] [PubMed]
- Vrijens, D.; Drossaerts, J.; van Koeveringe, G.; Van Kerrebroeck, P.; van Os, J.; Leue, C. Affective symptoms and the overactive bladder-a systematic review. J. Psychosom. Res. 2015, 78, 95–108. [Google Scholar] [CrossRef] [PubMed]
- Golabek, T.; Skalski, M.; Przydacz, M.; Świerkosz, A.; Siwek, M.; Golabek, K.; Stangel-Wojcikiewicz, K.; Dudek, D.; Chlosta, P. Lower urinary tract symptoms, nocturia and overactive bladder in patients with depression and anxiety. Psychiatr. Pol. 2016, 50, 417–430. [Google Scholar] [CrossRef] [PubMed]
- Zuluaga, L.; Caicedo, J.I.; Mogollón, M.P.; Santander, J.; Bravo-Balado, A.; Trujillo, C.G.; Diaz Ritter, C.; Rondón, M.; Plata, M. Anxiety and depression in association with lower urinary tract symptoms: Results from the COBaLT study. World J. Urol. 2023, 41, 1381–1388. [Google Scholar] [CrossRef]
- Mahjoob, D.M.; Janssen, J.M.W.; van Koeveringe, G.A.; Leue, C.; van Osch, F.H.M.; Vrijens, D.M.J. Psychiatric disorders in patients with lower urinary tract symptoms: A systematic review including a subgroup meta-analysis on the association between LUTS and depressive symptoms. Continence 2023, 6, 100589. [Google Scholar] [CrossRef]
- Yang, Y.J.; Koh, J.S.; Ko, H.J.; Cho, K.J.; Kim, J.C.; Lee, S.-J.; Pae, C.-U. The Influence of Depression, Anxiety and Somatization on the Clinical Symptoms and Treatment Response in Patients with Symptoms of Lower Urinary Tract Symptoms Suggestive of Benign Prostatic Hyperplasia. J. Korean Med. Sci. 2014, 29, 1145–1151. [Google Scholar] [CrossRef]
- Wong, S.Y.; Woo, J.; Leung, J.C.; Leung, P.C. Depressive symptoms and lifestyle factors as risk factors of lower urinary tract symptoms in Southern Chinese men: A prospective study. Aging Male 2010, 13, 113–119. [Google Scholar] [CrossRef] [PubMed]
- Rhee, S.J.; Kim, E.Y.; Kim, S.W.; Kim, S.H.; Lee, H.J.; Yoon, D.H.; Ahn, Y.M. Longitudinal study of the relationship between lower urinary tract symptoms and depressive symptoms. J. Psychosom. Res. 2019, 116, 100–105. [Google Scholar] [CrossRef] [PubMed]
- Chess-Williams, R.; McDermott, C.; Sellers, D.J.; West, E.G.; Mills, K.A. Chronic psychological stress and lower urinary tract symptoms. Low. Urin. Tract. Symptoms 2021, 13, 414–424. [Google Scholar] [CrossRef] [PubMed]
- Grundy, L.; Caldwell, A.; Brierley, S.M. Mechanisms underlying overactive bladder and interstitial cystitis/Painful Bladder Syndrome. Front. Neurosci. 2018, 12, 931. [Google Scholar] [CrossRef] [PubMed]
- Smith, A.L.; Hantsoo, L.; Malykhina, A.P.; File, D.W.; Valentino, R.; Wein, A.J.; Sammel, M.D.; Epperson, C.N. Basal and stress-activated hypothalamic pituitary adrenal axis function in postmenopausal women with overactive bladder. Int. Urogynecol. J. 2016, 27, 1383–1391. [Google Scholar] [CrossRef] [PubMed]
- Li, Z.; Xu, T.; Zhang, L.; Zhu, L. Prevalence, potential risk factors, and symptomatic bother of lower urinary tract symptoms during and after pregnancy. Low. Urin. Tract. Symptoms 2019, 11, 217–223. [Google Scholar] [CrossRef] [PubMed]
Disclaimer/Publisher’s Note: The statements, opinions and data contained in all publications are solely those of the individual author(s) and contributor(s) and not of MDPI and/or the editor(s). MDPI and/or the editor(s) disclaim responsibility for any injury to people or property resulting from any ideas, methods, instructions or products referred to in the content. |
© 2023 by the authors. Licensee MDPI, Basel, Switzerland. This article is an open access article distributed under the terms and conditions of the Creative Commons Attribution (CC BY) license (https://creativecommons.org/licenses/by/4.0/).
