How Valuable Are Small Measurement Datasets in Supplementing Occupational Exposure Models? A Numerical Study Using the Advanced Reach Tool
Abstract
1. Introduction
2. Materials and Methods
2.1. Overview of Approach
2.2. Case Studies
2.2.1. Case Study (a): Spreading of Glue
2.2.2. Case Study (b): Plastering of Walls
2.2.3. Case Study (c): Electroplating
2.2.4. Case Study (d): Mixing Drugs
2.2.5. Case Study (e): Sawing of Wood
2.2.6. Case Study (f): Pumping Gasoline
2.3. Statistical Modelling
2.3.1. ART Exposure Model
2.3.2. Initial Runs
2.3.3. Simulation Framework and Analysis
2.3.4. Computational Framework
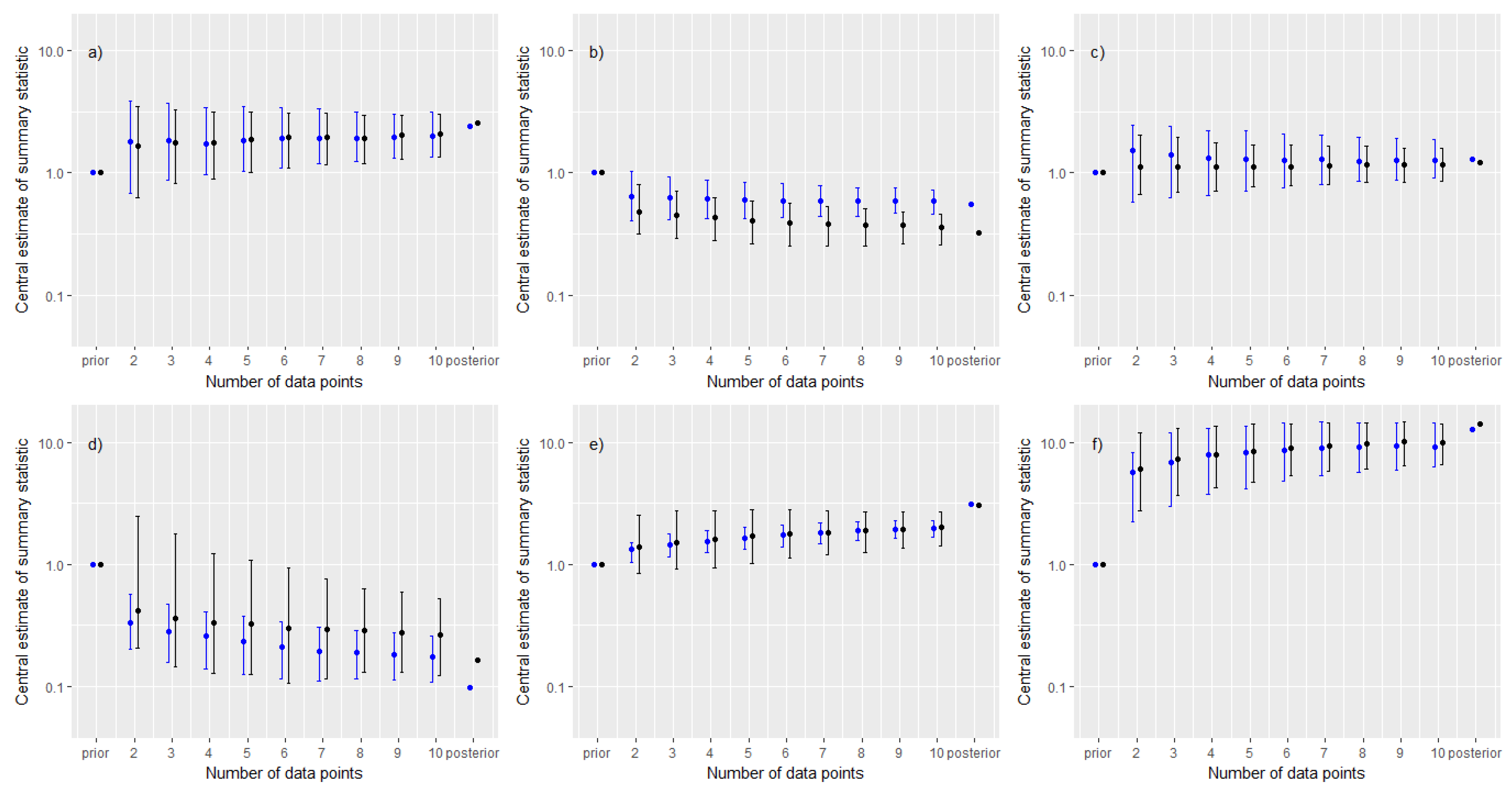
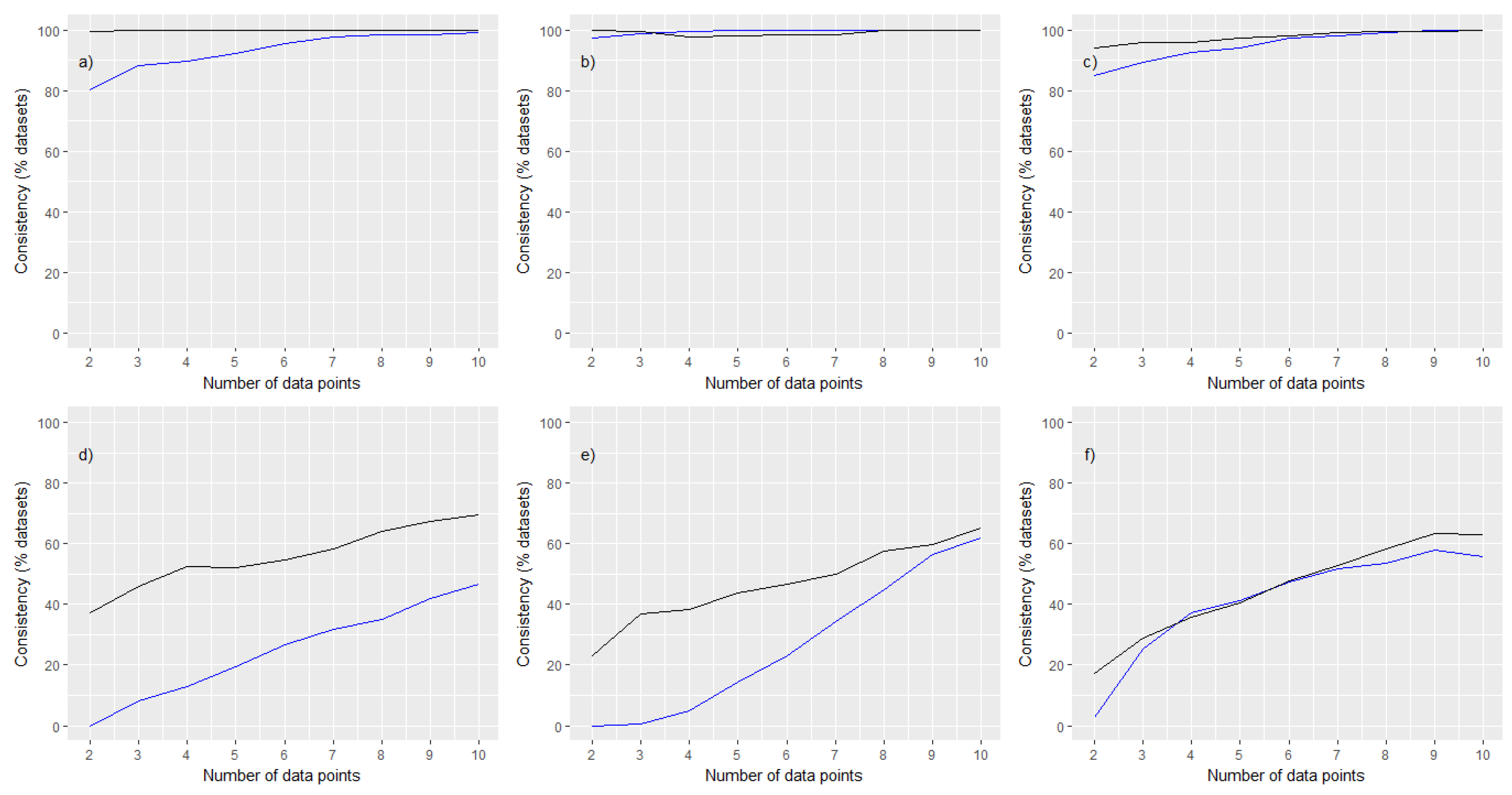
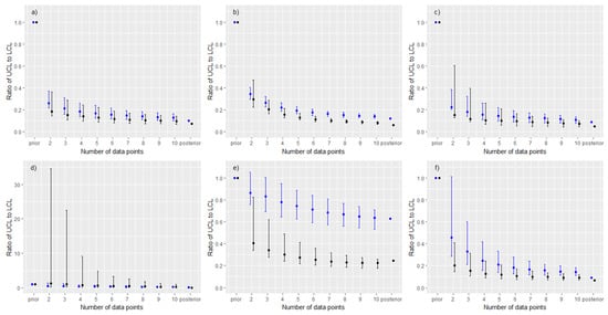
3. Results
3.1. Cases with Prior-Data Consistency
3.2. Cases with Prior-Data Conflicts
4. Discussion
5. Conclusions
Supplementary Materials
Funding
Institutional Review Board Statement
Informed Consent Statement
Data Availability Statement
Acknowledgments
Conflicts of Interest
References
- ECHA. Guidance on Information Requirements and Chemical Safety Assessment Part R.14: Occupational Exposure Assessment. Draft (Public) Version 3.0. August 2016. 2016. Available online: https://echa.europa.eu/documents/10162/13632/information_requirements_r14_en.pdf/bb14b581-f7ef-4587-a171-17bf4b332378 (accessed on 17 March 2023).
- EN 689; Workplace Exposure-Measurement of Exposure by Inhalation to Chemical Agents-Strategy for Testing Compliance with Occupational Exposure Limit Values. European Committee for Standardization EN 689: Bruxelles, Belgium, 2018.
- Franken, R.; Shandilya, N.; Marquart, H.; McNally, K.; Fransman, W. Extrapolating the Applicability of Measurement Data on Worker Inhalation Exposure to Chemical Substances. Ann. Work Expo. Health 2020, 64, 250–269. [Google Scholar] [CrossRef]
- Tickner, J.; Friar, J.; Creely, K.S.; Cherrie, J.; Pryde, D.E.; Kingston, J. The development of the EASE model. Ann. Occup. Hyg. 2005, 49, 103–110. [Google Scholar]
- Cherrie, J.W.; Fransman, W.; Heussen, G.A.H.; Koppisch, D.; Jensen, K.A. Exposure Models for REACH and Occupational Safety and Health Regulations. Int. J. Environ. Res. Public Health 2020, 17, 383. [Google Scholar] [CrossRef]
- Money, C.D.; Jacobi, S.; Penman, M.G.; Rodriguez, C.; de Rooij, C.; Veenstra, G. The ECETOC approach to targeted risk assessment; Lessons and experiences relevant to REACH. J. Expo. Sci. Environ. Epidemiol. 2007, 17 (Suppl. 1), S67–S71. [Google Scholar] [CrossRef] [PubMed]
- Marquart, H.; Heussen, H.; Le Feber, M.; Noy, D.; Tielemans, E.; Schinkel, J.; West, J.; van der Schaaf, D. ‘Stoffenmanager’, a web-based control banding tool using an exposure process model. Ann. Occup. Hyg. 2008, 52, 429–441. [Google Scholar] [PubMed]
- Tielemans, E.; Warren, N.; Fransman, W.; Van Tongeren, M.; Mcnally, K.; Tischer, M.; Ritchie, P.; Kromhout, H.; Schinkel, J.; Schneider, T.; et al. Advanced REACH Tool (ART): Overview of Version 1.0 and Research Needs. Ann. Occup. Hyg. 2011, 55, 949–956. [Google Scholar] [PubMed]
- Koivisto, A.J.; Kling, K.I.; Hänninen, O.; Jayjock, M.; Löndahl, J.; Wierzbicka, A.; Fonseca, A.S.; Uhrbrand, K.; Boor, B.E.; Jiménez, A.S.; et al. Source specific exposure and risk assessment for indoor aerosols. Sci. Total Environ. 2019, 668, 13–24. [Google Scholar] [CrossRef]
- Koivisto, A.J.; Jayjock, M.; Hämeri, K.J.; Kulmala, M.; Van Sprang, P.; Yu, M.; Boor, B.E.; Hussein, T.; Koponen, I.K.; Löndahl, J.; et al. Evaluating the theoretical background of STOFFENMANAGER® and the Advanced REACH Tool. Ann. Work Expo. Health 2022, 64, 520–536. [Google Scholar] [CrossRef]
- Fransman, W.; Arnone, M.; Borghi, F.; Cattaneo, A.; Cavallo, D.M.; Cherrie, J.W.; Franken, R.; Galea, K.S.; Van Der Haar, R.; Heussen, G.A.; et al. Response Letter to Koivisto et al. ‘Evaluating the Theoretical Background of STOFFENMANAGER® and the Advanced REACH Tool’. Ann. Work Expo. Health 2022, 66, 543–549. [Google Scholar] [CrossRef]
- Savic, N.; Lee, E.G.; Gasic, B.; Vernez, D. TREXMO plus: An advanced self-learning model for occupational exposure assessment. J. Expo. Sci. Environ. Epidemiol. 2020, 30, 554–566. [Google Scholar] [CrossRef]
- Kromhout, H.; Symanski, E.; Rappaport, S.M. A comprehensive evaluation of within- and between-worker components of occupational exposure to chemical agents. Ann. Occup. Hyg. 1993, 37, 253–270. [Google Scholar] [PubMed]
- Symanski, E.; Maberti, S.; Chan, W. A meta-analytic approach for characterizing the within-worker and between-worker sources of variation in occupational exposure. Ann. Occup. Hyg. 2006, 50, 343–357. [Google Scholar] [PubMed]
- McNally, K.; Warren, N.; Fransman, W.; Entink, R.K.; Schinkel, J.; Van Tongeren, M.; Cherrie, J.W.; Kromhout, H.; Schneider, T.; Tielemans, E. Advanced REACH Tool: A Bayesian model for occupational exposure assessment. Ann. Occup. Hyg. 2014, 58, 551–565. [Google Scholar] [PubMed]
- Spinazzè, A.; Borghi, F.; Campagnolo, D.; Rovelli, S.; Keller, M.; Fanti, G.; Cattaneo, A.; Cavallo, D.M. How to obtain a reliable estimate of occupational exposure? Review and discussion of models’ reliability. Int. J. Environ. Res. Public Health 2019, 16, 2764. [Google Scholar] [CrossRef] [PubMed]
- LeBlanc, M.; Allen, J.G.; Herrick, R.F.; Stewart, J.H. Comparison of the near field/far field model and the advanced reach tool (ART) model V1.5: Exposure estimates to benzene during parts washing with mineral spirits. Int. J. Hyg. Environ. Health 2018, 221, 231–238. [Google Scholar] [CrossRef]
- Schinkel, J.; Ritchie, P.; Goede, H.; Fransman, W.; van Torgersen, M.; Cherrie, J.W.; Tielemans, E.; Kromhout, H.; Warren, N. The Advanced REACH Tool (ART): Incorporation of an exposure measurement database. Ann. Occup. Hyg. 2013, 57, 717–727. [Google Scholar]
- Fransman, W.; Van Tongeren, M.; Cherrie, J.W.; Tischer, M.; Schneider, T.; Schinkel, J.; Kromhout, H.; Warren, N.; Goede, H.; Tielemans, E. Advanced Reach Tool (ART): Development of the Mechanistic Model. Ann. Occup. Hyg. 2011, 55, 957–979. [Google Scholar]
- Schinkel, J.; Warren, N.; Fransman, W.; van Tongeren, M.; McDonnell, P.; Voogd, E.; Tischer, M.; Kromhout, H.; Tielemans, E. Advanced REACH tool (ART): Calibration of the mechanistic model. J. Environ. Monit. 2011, 13, 1374–1382. [Google Scholar] [CrossRef] [PubMed]
- Lunn, D.; Spiegelhalter, D.; Thomas, A.; Best, N. The BUGS project: Evolution, critique and future directions. Stat. Med. 2009, 28, 3049–3067. [Google Scholar]
- R Development Core Team. R: A Language and Environment for Statistical Computing; R Foundation for Statistical Computing: Vienna, Austria, 2008; Available online: http://www.R-project.org (accessed on 17 March 2023).
- Sturtz, S.; Ligges, U.; Gelman, A. R2WinBUGS: A Package for Running WinBUGS from R. J. Stat. Softw. 2005, 3, 1–16. [Google Scholar]
- Schinkel, J.; Fransman, W.; McDonnell, P.E.; Klein Entink, R.; Tielemans, E.; Kromhout, H. Reliability of the Advanced REACH Tool (ART). Ann. Occup. Hyg. 2014, 58, 450–468. [Google Scholar]
- Andrade, J.A.A.; O’Hagan, A. Bayesian Robustness Modelling of Location and Scale Parameters. Scand. J. Stat. 2011, 38, 691–711. [Google Scholar] [CrossRef]
- Andrade, J.A.A.; Omey, E. Modelling conflicting information using sub-exponential distributions and related classes. Ann. Inst. Stat. Math. 2013, 65, 491–511. [Google Scholar] [CrossRef]
- Choy, S.T.B.; Smith, A.F.M. On Robust Analysis of a Normal Location Parameter. J. R. Stat. Soc. Ser. B (Stat. Methodol.) 1997, 59, 463–474. [Google Scholar] [CrossRef]
- O’Hagan, A.; Pericchi, L. Bayesian heavy-tailed models and conflict resolution: A review. Braz. J. Probab. Stat. 2012, 26, 372–401. [Google Scholar] [CrossRef]
- O’Hagan, A. Modelling with Heavy Tails. Bayesian Stat. 1988, 3, 345–359. [Google Scholar]
- O’Hagan, A. Outliers and Credence for Location Parameter Inference. J. Am. Stat. Assoc. 1990, 85, 172–176. [Google Scholar] [CrossRef]



| Scenario | Activity Class | Substance Class | Setting | Measurements, Companies, Workers | ||
|---|---|---|---|---|---|---|
| Spreading glue | Spreading of liquid products | Vapour | Indoors | 85 | 14 | 14 |
| Plastering walls | Handling of contaminated solid objects or paste | Dust | Indoors | 21 | 7 | 21 |
| Electroplating | Activities with agitated surfaces | Aerosol | Indoors | 24 | 6 | 24 |
| Mixing drugs | Movement and agitation of powders, granules and pelletised products | Dust | Indoors | 41 | 9 | 13 |
| Sawing wood | Fracturing and abrasion of solid objects | Solid object | Indoors | 17 | 7 | 17 |
| Pumping gasoline | Falling liquids | Vapour | Indoors | 36 | 7 | 36 |
| Substance Class | Setting | 1 | 2 | |||||
|---|---|---|---|---|---|---|---|---|
| GM | GSD | GM | GSD | GM | GSD | |||
| Dusts | Indoors | 0.89 | 0.44 | 1.29 | 0.32 | 2.82 | 0.65 | 1.64 |
| Outdoors | 0.89 | 0.44 | 1.29 | 0.32 | 2.82 | 1.57 | 1.64 | |
| Vapours | Indoors | 0.97 | 0.44 | 1.29 | 0.26 | 2.82 | 0.48 | 1.64 |
| Outdoors | 0.97 | 0.44 | 1.29 | 0.26 | 2.82 | 1.16 | 1.64 | |
| Mists (low-volatiles) | Indoors | 1.06 | 0.44 | 1.29 | 0.32 | 2.82 | 0.65 | 1.64 |
| Outdoors | 1.06 | 0.44 | 1.29 | 0.32 | 2.82 | 1.57 | 1.64 | |
| Solid object/abraision | Indoors | 0.46 | 0.44 | 1.29 | 0.32 | 2.82 | 0.65 | 1.64 |
| Outdoors | 0.46 | 0.44 | 1.29 | 0.32 | 2.82 | 1.57 | 1.64 | |
Disclaimer/Publisher’s Note: The statements, opinions and data contained in all publications are solely those of the individual author(s) and contributor(s) and not of MDPI and/or the editor(s). MDPI and/or the editor(s) disclaim responsibility for any injury to people or property resulting from any ideas, methods, instructions or products referred to in the content. |
© 2023 by the author. Licensee MDPI, Basel, Switzerland. This article is an open access article distributed under the terms and conditions of the Creative Commons Attribution (CC BY) license (https://creativecommons.org/licenses/by/4.0/).
Share and Cite
McNally, K. How Valuable Are Small Measurement Datasets in Supplementing Occupational Exposure Models? A Numerical Study Using the Advanced Reach Tool. Int. J. Environ. Res. Public Health 2023, 20, 5386. https://doi.org/10.3390/ijerph20075386
McNally K. How Valuable Are Small Measurement Datasets in Supplementing Occupational Exposure Models? A Numerical Study Using the Advanced Reach Tool. International Journal of Environmental Research and Public Health. 2023; 20(7):5386. https://doi.org/10.3390/ijerph20075386
Chicago/Turabian StyleMcNally, Kevin. 2023. "How Valuable Are Small Measurement Datasets in Supplementing Occupational Exposure Models? A Numerical Study Using the Advanced Reach Tool" International Journal of Environmental Research and Public Health 20, no. 7: 5386. https://doi.org/10.3390/ijerph20075386
APA StyleMcNally, K. (2023). How Valuable Are Small Measurement Datasets in Supplementing Occupational Exposure Models? A Numerical Study Using the Advanced Reach Tool. International Journal of Environmental Research and Public Health, 20(7), 5386. https://doi.org/10.3390/ijerph20075386
