Dietary Patterns of Competitive Swimmers with Moderate-to-Severe Cerebral Palsy: A 3-Year Longitudinal Evaluation
Abstract
1. Introduction
2. Materials and Methods
2.1. Participants
2.2. Study Design and Intervention
2.3. Data Collection
2.4. Data Analysis
2.5. Ethics
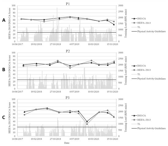
3. Results
3.1. Reliability
3.2. Diet Quality
3.3. Training Load
3.4. Food Group Analysis
4. Discussion
5. Conclusions
Author Contributions
Funding
Institutional Review Board Statement
Informed Consent Statement
Data Availability Statement
Conflicts of Interest
References
- Rosenbaum, P.; Paneth, N.; Leviton, A.; Goldstein, M.; Bax, M.; Damiano, D.; Dan, B.; Jacobsson, B. A report: The definition and classification of cerebral palsy April 2006. Dev. Med. Child Neurol. Suppl. 2007, 109, 8–14. [Google Scholar] [PubMed]
- Reid, S.M.; Carlin, J.B.; Reddihough, D.S. Rates of cerebral palsy in Victoria, Australia, 1970 to 2004: Has there been a change? Dev. Med. Child Neurol. 2011, 53, 907–912. [Google Scholar] [CrossRef] [PubMed]
- Palisano, R.; Rosenbaum, P.; Walter, S.; Russell, D.; Wood, E.; Galuppi, B. Development and reliability of a system to classify gross motor function in children with cerebral palsy. Dev. Med. Child Neurol. 1997, 39, 214–223. [Google Scholar] [CrossRef] [PubMed]
- Verschuren, O.; Peterson, M.D.; Balemans, A.C.; Hurvitz, E.A. Exercise and physical activity recommendations for people with cerebral palsy. Dev. Med. Child Neurol. 2016, 58, 798–808. [Google Scholar] [CrossRef]
- Dutia, I.M.; Connick, M.J.; Beckman, E.M.; Johnston, L.M.; Wilson, P.J.; Macaro, A.; Tweedy, S.M. Evaluating the Effects of Performance-Focused Swimming Training on People with Cerebral Palsy Who Have High Support Needs—A Study Protocol Using Single-Case Experimental Design. Brain Impair. 2019, 21, 217–234. [Google Scholar] [CrossRef]
- Kuperminc, M.N.; Stevenson, R.D. Growth and nutrition disorders in children with cerebral palsy. Dev. Disabil. Res. Rev. 2008, 14, 137–146. [Google Scholar] [CrossRef]
- Brooks, J.; Day, S.; Shavelle, R.; Strauss, D. Low Weight, Morbidity, and Mortality in Children With Cerebral Palsy: New Clinical Growth Charts. Pediatrics 2011, 128, e299–e307. [Google Scholar] [CrossRef]
- Stevenson, R.D.; Conaway, M.; Chumlea, W.C.; Rosenbaum, P.; Fung, E.B.; Henderson, R.C.; Worley, G.; Liptak, G.; O’Donnell, M.; Samson-Fang, L.; et al. Growth and Health in Children with Moderate-to-Severe Cerebral Palsy. Pediatrics 2006, 118, 1010–1018. [Google Scholar] [CrossRef]
- Oftedal, S.; Davies, P.S.; Boyd, R.N.; Stevenson, R.D.; Ware, R.S.; Keawutan, P.; Benfer, K.A.; Bell, K.L. Body composition, diet and physical activity: A longitudinal cohort study in preschoolers with cerebral palsy. Am. J. Clin. Nutr. 2017, 105, 369–378. [Google Scholar] [CrossRef]
- Henderson, R.C.; Kairalla, J.A.; Barrington, J.W.; Abbas, A.; Stevenson, R.D. Longitudinal Changes in Bone Density in Children and Adolescents with Moderate to Severe Cerebral Palsy. J. Pediatr. 2005, 146, 769–775. [Google Scholar] [CrossRef]
- Sullivan, P.B.; Juszczak, E.; Bachlet, A.M.; Lambert, B.; Vernon-Roberts, A.; Grant, H.W.; Eltumi, M.; McLean, L.; Alder, N.; Thomas, A.G. Gastrostomy tube feeding in children with cerebral palsy: A prospective, longitudinal study. Dev. Med. Child Neurol. 2005, 47, 77–85. [Google Scholar] [CrossRef]
- Verschuren, O.; Peterson, M.D. Nutrition and physical activity in people with cerebral palsy: Opposite sides of the same coin. Dev. Med. Child Neurol. 2016, 58, 426. [Google Scholar] [CrossRef]
- Joaquim, D.P.; Juzwiak, C.R.; Winckler, C. Diet Quality Profile of Track-and-Field Paralympic Athletes. Int. J. Sport Nutr. Exerc. Metab. 2019, 29, 589–595. [Google Scholar] [CrossRef]
- Williams, S.A.; McFadden, L.M.; Blackmore, A.M.; Davey, P.; Gibson, N. Do adolescents with cerebral palsy meet recommendations for healthy weight and physical activity behaviours? Disabil. Rehabil. 2020, 42, 1227–1232. [Google Scholar] [CrossRef]
- US Department of Agriculture; Center for Nutrition Policy and Promotion; Nutrition Evidence Library. Dietary Patterns Technical Expert Collaborative. A Series of Systematic Reviews on the Relationship Between Dietary Patterns and Health Outcomes. 2014. Available online: https://nesr.usda.gov/sites/default/files/2019-06/DietaryPatternsReport-FullFinal2.pdf (accessed on 6 March 2023).
- Australian Government, Department of Health. Australian Guide to Healthy Eating. ACT: National Health and Medical Research Council. 2017. Available online: https://www.eatforhealth.gov.au/guidelines/australian-guide-healthy-eating (accessed on 7 September 2022).
- Tapsell, L.; Pettengell, K.; Denmeade, S. Assessment of a narrative approach to the diet history. Public Heal. Nutr. 1999, 2, 61–68. [Google Scholar] [CrossRef]
- Golley, R.K.; Hendrie, G.A.; McNaughton, S.A. Scores on the Dietary Guideline Index for Children and Adolescents Are Associated with Nutrient Intake and Socio-Economic Position but Not Adiposity. J. Nutr. 2011, 141, 1340–1347. [Google Scholar] [CrossRef]
- Roy, R.; Hebden, L.; Rangan, A.; Allman-Farinelli, M. The development, application, and validation of a Healthy eating index for Australian Adults (HEIFA-2013). Nutrition 2016, 32, 432–440. [Google Scholar] [CrossRef] [PubMed]
- Giavarina, D. Understanding Bland Altman analysis. Biochem. Med. 2015, 25, 141–151. [Google Scholar] [CrossRef] [PubMed]
- Sellers, D.; Mandy, A.; Pennington, L.; Hankins, M.; Morris, C. Development and reliability of a system to classify the eating and drinking ability of people with cerebral palsy. Dev. Med. Child Neurol. 2013, 56, 245–251. [Google Scholar] [CrossRef] [PubMed]
- World Health Organization. Global Recommendations on Physical Activity for Health; World Health Organization: Geneva, Switzerland, 2010. [Google Scholar]
- Kwasnicka, D.; Dombrowski, S.U.; White, M.; Sniehotta, F. Theoretical explanations for maintenance of behaviour change: A systematic review of behaviour theories. Health Psychol. Rev. 2016, 10, 277–296. [Google Scholar] [CrossRef]
- Grech, A.; Sui, Z.; Siu, H.Y.; Zheng, M.; Allman-Farinelli, M.; Rangan, A. Socio-Demographic Determinants of Diet Quality in Australian Adults Using the Validated Healthy Eating Index for Australian Adults (HEIFA-2013). Healthcare 2017, 5, 7. [Google Scholar] [CrossRef]
- Fedewa, M.V.; Das, B.M.; Evans, E.M.; Dishman, R.K. Change in weight and adiposity in college students: A systematic review and meta-analysis. Am. J. Prev. Med. 2014, 47, 641–652. [Google Scholar] [CrossRef]
- Banfield, E.C.; Liu, Y.; Davis, J.S.; Chang, S.; Frazier-Wood, A.C. Poor Adherence to US Dietary Guidelines for Children and Adolescents in the National Health and Nutrition Examination Survey Population. J. Acad. Nutr. Diet. 2015, 116, 21–27. [Google Scholar] [CrossRef]
- Deforche, B.; Van Dyck, D.; Deliens, T.; De Bourdeaudhuij, I. Changes in weight, physical activity, sedentary behaviour and dietary intake during the transition to higher education: A prospective study. Int. J. Behav. Nutr. Phys. Act. 2015, 12, 16. [Google Scholar] [CrossRef]
- Deliens, T.; Verhoeven, H.; De Bourdeaudhuij, I.; Huybrechts, I.; Mullie, P.; Clarys, P.; Deforche, B. Factors associated with fruit and vegetable and total fat intake in university students: A cross-sectional explanatory study. Nutr. Diet. 2018, 75, 151–158. [Google Scholar] [CrossRef]
- Australian Bureau of Statistics. National Health Survey: First Results 2018; ABS Cat. No. 4364.0.55.001; Australian Bureau of Statistics: Canberra, Australia, 2018. [Google Scholar]



| Participant | Gender | Age | Motor Type/Distribution | GMFCS | EDACS |
|---|---|---|---|---|---|
| P1 | Male | 15 yr, 2 mo | Spastic Quadriplegia | IV | I |
| P2 | Male | 15 yr, 7 mo | Spastic Quadriplegia | IV | II |
| P3 | Female | 15 yr, 7 mo | Choreoathetosis | IV | I |
| Food Groups | Recommended Serves * | Timepoint | |||||||||||
|---|---|---|---|---|---|---|---|---|---|---|---|---|---|
| 14–18 y/o | 19–50 y/o | 1 | 2 | 3 | 4 | 5 | 6 | 7 | 8 | 9 | 10 | ||
| Sept’17 | Feb’18 | Aug’18 | Nov’18 | May’19 | Aug’19 | Feb’20 | May’20 | Sept’20 | Dec’20 | ||||
| Fruit | P1 | 2 | 2 | ||||||||||
| P2 | 2 | 2 | |||||||||||
| P3 | 2 | 2 | √ | √ | √ | ||||||||
| Vegetable | P1 | 5.5 | 6 | ||||||||||
| P2 | 5.5 | 6 | |||||||||||
| P3 | 5 | 5 | |||||||||||
| Grain | P1 | 7 | 6 | √ | √ | ||||||||
| P2 | 7 | 6 | √ | √ | √ | √ | |||||||
| P3 | 7 | 6 | √ | ||||||||||
| Dairy | P1 | 3.5 | 2.5 | √ | √ | ||||||||
| P2 | 3.5 | 2.5 | √ | ||||||||||
| P3 | 3.5 | 2.5 | √ | ||||||||||
| Meat | P1 | 2.5 | 3 | √ | √ | √ | |||||||
| P2 | 2.5 | 3 | √ | √ | √ | √ | √ | √ | √ | ||||
| P3 | 2.5 | 2.5 | √ | √ | √ | √ | |||||||
| Discretionary | P1 | 2 | 3 | √ | √ | √ | √ | √ | √ | √ | √ | √ | |
| P2 | 2 | 3 | √ | √ | √ | √ | √ | √ | √ | √ | √ | √ | |
| P3 | 2 | 2.5 | √ | √ | √ | √ | √ | ||||||
Disclaimer/Publisher’s Note: The statements, opinions and data contained in all publications are solely those of the individual author(s) and contributor(s) and not of MDPI and/or the editor(s). MDPI and/or the editor(s) disclaim responsibility for any injury to people or property resulting from any ideas, methods, instructions or products referred to in the content. |
© 2023 by the authors. Licensee MDPI, Basel, Switzerland. This article is an open access article distributed under the terms and conditions of the Creative Commons Attribution (CC BY) license (https://creativecommons.org/licenses/by/4.0/).
Share and Cite
Walker, J.L.; Cartwright, J.R.; Dutia, I.M.; Wheeler, M.; Tweedy, S.M. Dietary Patterns of Competitive Swimmers with Moderate-to-Severe Cerebral Palsy: A 3-Year Longitudinal Evaluation. Int. J. Environ. Res. Public Health 2023, 20, 5331. https://doi.org/10.3390/ijerph20075331
Walker JL, Cartwright JR, Dutia IM, Wheeler M, Tweedy SM. Dietary Patterns of Competitive Swimmers with Moderate-to-Severe Cerebral Palsy: A 3-Year Longitudinal Evaluation. International Journal of Environmental Research and Public Health. 2023; 20(7):5331. https://doi.org/10.3390/ijerph20075331
Chicago/Turabian StyleWalker, Jacqueline L., Jessica R. Cartwright, Iain M. Dutia, Mikaela Wheeler, and Sean M. Tweedy. 2023. "Dietary Patterns of Competitive Swimmers with Moderate-to-Severe Cerebral Palsy: A 3-Year Longitudinal Evaluation" International Journal of Environmental Research and Public Health 20, no. 7: 5331. https://doi.org/10.3390/ijerph20075331
APA StyleWalker, J. L., Cartwright, J. R., Dutia, I. M., Wheeler, M., & Tweedy, S. M. (2023). Dietary Patterns of Competitive Swimmers with Moderate-to-Severe Cerebral Palsy: A 3-Year Longitudinal Evaluation. International Journal of Environmental Research and Public Health, 20(7), 5331. https://doi.org/10.3390/ijerph20075331

