The Switch to Online Learning during the COVID-19 Pandemic: The Interplay between Personality and Mental Health on University Students
Abstract
1. Introduction
2. Materials and Methods
2.1. Participants
2.2. Measures
2.2.1. Socio-Demographic Questionnaire
2.2.2. Personality Inventory (PI)
2.2.3. State-Trait Anxiety Inventory
2.2.4. The General Self-Efficacy Scale
2.2.5. Academic Motivation Scale (AMS-C 28)
2.2.6. Fear of COVID-19
2.2.7. Impact of COVID-19 on Physical and Mental Health and Help Requests
2.3. Statistical Analysis
3. Results
3.1. Preliminary Analysis
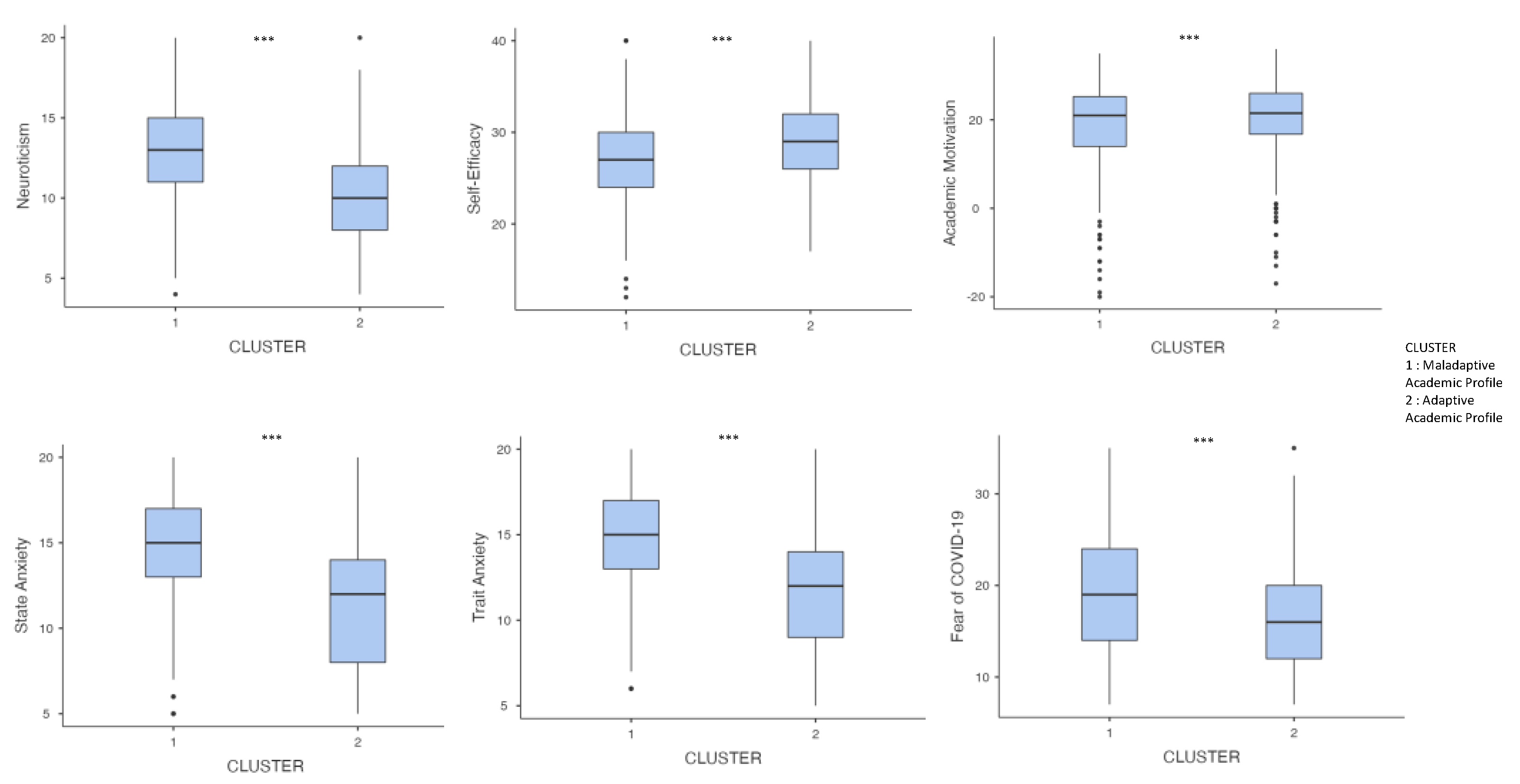
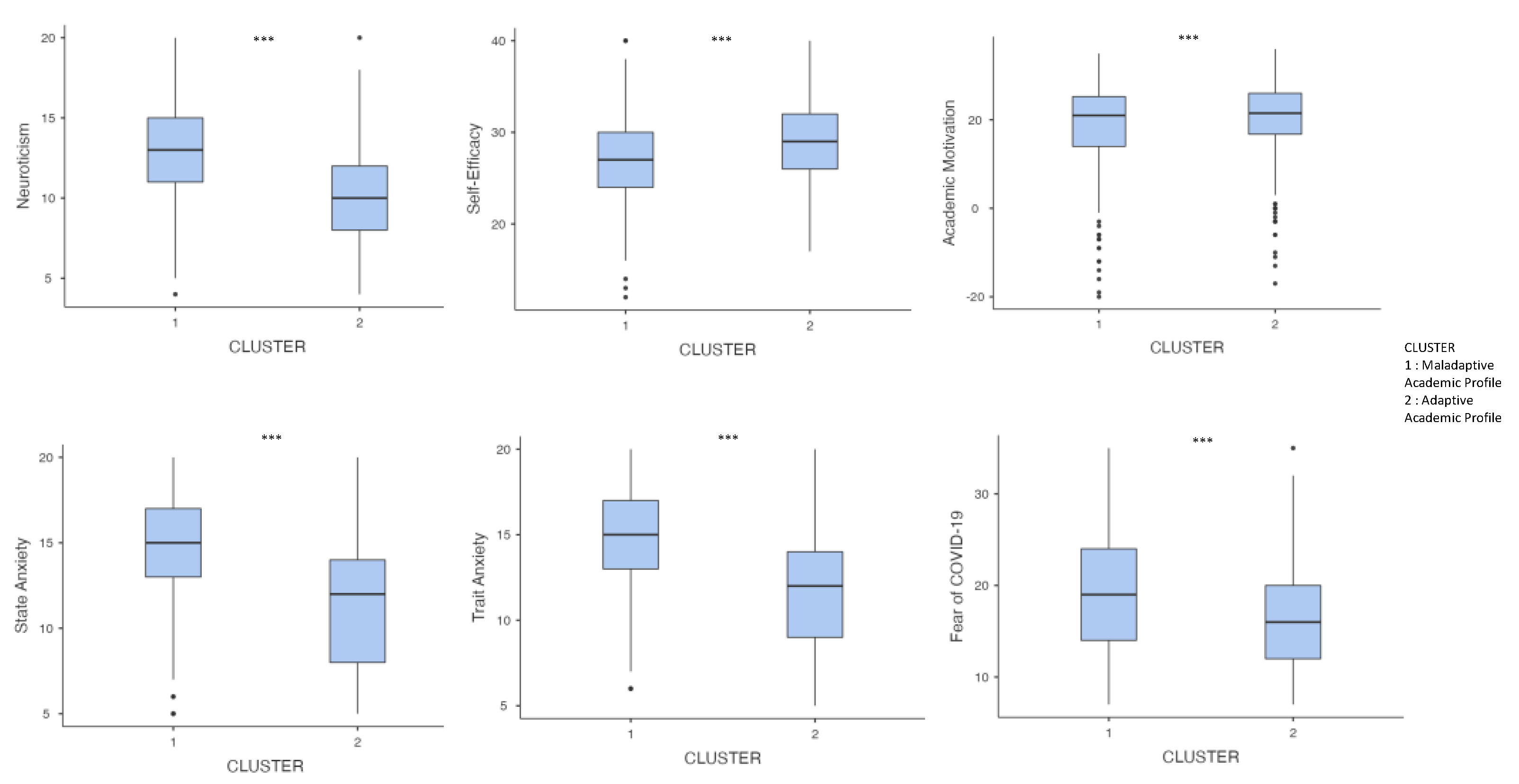
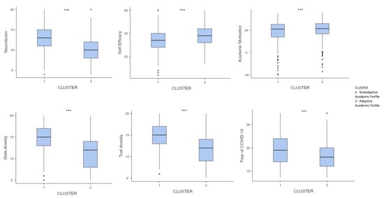
3.2. Cluster Analysis
4. Discussion
5. Conclusions
Author Contributions
Funding
Institutional Review Board Statement
Informed Consent Statement
Data Availability Statement
Conflicts of Interest
References
- History of Developmental Psychology: Socialization and Personality Development through the Life Span. Available online: https://www.sciencedirect.com/science/article/pii/B9780120771509500071 (accessed on 10 January 2023).
- Manning, T.T. Gender, Managerial Level, Transformational Leadership and Work Satisfaction. Women Manag. Rev. 2002, 17, 207–216. [Google Scholar] [CrossRef]
- Dong, C.; Cao, S.; Li, H. Young Children’s Online Learning during COVID-19 Pandemic: Chinese Parents’ Beliefs and Attitudes. Child Youth Serv. Rev. 2020, 118, 105440. [Google Scholar] [CrossRef] [PubMed]
- Clabaugh, A.; Duque, J.F.; Fields, L.J. Academic Stress and Emotional Well-Being in United States College Students Following Onset of the COVID-19 Pandemic. Front. Psychol. 2021, 12, 765. [Google Scholar] [CrossRef] [PubMed]
- Liao, Z.; Zhang, X.; Wang, Y.; Wang, T.; Li, X.; Zhao, M.; Zhuang, Q. Delayed-Onset PTSD and Coping Strategies of Chinese College Students during the COVID-19 Pandemic. Front. Sociol. 2021, 6, 185. [Google Scholar] [CrossRef] [PubMed]
- Batra, K.; Sharma, M.; Batra, R.; Singh, T.P.; Schvaneveldt, N. Assessing the Psychological Impact of COVID-19 among College Students: An Evidence of 15 Countries. Healthcare 2021, 9, 222. [Google Scholar] [CrossRef] [PubMed]
- Qi, M.; Zhou, S.J.; Guo, Z.C.; Zhang, L.G.; Min, H.J.; Li, X.M.; Chen, J.X. The Effect of Social Support on Mental Health in Chinese Adolescents during the Outbreak of COVID-19. J. Adolesc. Health 2020, 67, 514–518. [Google Scholar] [CrossRef]
- Naser, A.Y.; Dahmash, E.Z.; Al-Rousan, R.; Alwafi, H.; Alrawashdeh, H.M.; Ghoul, I.; Abidine, A.; Bokhary, M.A.; AL-Hadithi, H.T.; Ali, D.; et al. Mental Health Status of the General Population, Healthcare Professionals, and University Students during 2019 Coronavirus Disease Outbreak in Jordan: A Cross-Sectional Study. Brain Behav. 2020, 10, e01730. [Google Scholar] [CrossRef]
- Savitsky, B.; Findling, Y.; Ereli, A.; Hendel, T. Anxiety and Coping Strategies among Nursing Students during the COVID-19 Pandemic. Nurse Educ. Prac. 2020, 46, 102809. [Google Scholar] [CrossRef]
- Wang, X.; Hegde, S.; Son, C.; Keller, B.; Smith, A.; Sasangohar, F. Investigating Mental Health of US College Students during the COVID-19 Pandemic: Cross-Sectional Survey Study. J. Med. Internet Res. 2020, 22, e22817. [Google Scholar] [CrossRef]
- Ma, Z.; Zhao, J.; Li, Y.; Chen, D.; Wang, T.; Zhang, Z.; Chen, Z.; Yu, Q.; Jiang, J.; Fan, F.; et al. Mental Health Problems and Correlates among 746 217 College Students during the Coronavirus Disease 2019 Outbreak in China. Epidemiol. Psychiatr. Sci. 2020, 29, e181. [Google Scholar] [CrossRef]
- Capone, V.; Caso, D.; Donizzetti, A.R.; Procentese, F. University Student Mental Well-Being during COVID-19 Outbreak: What Are the Relationships between Information Seeking, Perceived Risk and Personal Resources Related to the Academic Context? Sustainability 2020, 12, 7039. [Google Scholar] [CrossRef]
- Zhang, X.; Jiang, X.; Ni, P.; Li, H.; Li, C.; Zhou, Q.; Ou, Z.; Guo, Y.; Cao, J.; School, G.; et al. Association between Resilience and Burnout of Front-Line Nurses at the Peak of the COVID-19 Pandemic: Positive and Negative Affect as Mediators in Wuhan. Int. J. Ment. Health Nurs. 2021, 30, 939–954. [Google Scholar] [CrossRef] [PubMed]
- Houkes, I.; Winants, Y.; Twellaar, M.; Verdonk, P. Development of Burnout over Time and the Causal Order of the Three Dimensions of Burnout among Male and Female GPs. A Three-Wave Panel Study. BMC Public Health 2011, 11, 1–13. [Google Scholar] [CrossRef] [PubMed]
- Elmer, T.; Mepham, K.; Stadtfeld, C. Students under Lockdown: Comparisons of Students’ Social Networks and Mental Health before and during the COVID-19 Crisis in Switzerland. PLoS ONE 2020, 15, e0236337. [Google Scholar] [CrossRef] [PubMed]
- Zimmermann, M.; Chong, A.K.; Vechiu, C.; Papa, A. Modifiable Risk and Protective Factors for Anxiety Disorders among Adults: A Systematic Review. Psychiatry Res. 2020, 285, 112705. [Google Scholar] [CrossRef] [PubMed]
- Li, Q.; Miao, Y.; Zeng, X.; Tarimo, C.S.; Wu, C.; Wu, J. Prevalence and Factors for Anxiety during the Coronavirus Disease 2019 (COVID-19) Epidemic among the Teachers in China. J. Affect. Disord. 2020, 277, 153–158. [Google Scholar] [CrossRef]
- Amendola, S.; von Wyl, A.; Volken, T.; Zysset, A.; Huber, M.; Dratva, J. A Longitudinal Study on Generalized Anxiety Among University Students during the First Wave of the COVID-19 Pandemic in Switzerland. Front. Psychol. 2021, 12, 706. [Google Scholar] [CrossRef]
- Caci, B.; Miceli, S.; Scrima, F.; Cardaci, M. Neuroticism and Fear of COVID-19. The Interplay Between Boredom, Fantasy Engagement, and Perceived Control over Time. Front. Psychol. 2020, 11, 574393. [Google Scholar] [CrossRef]
- Alemany-Arrebola, I.; Rojas-Ruiz, G.; Granda-Vera, J.; Mingorance-Estrada, Á.C. Influence of COVID-19 on the Perception of Academic Self-Efficacy, State Anxiety, and Trait Anxiety in College Students. Front. Psychol. 2020, 11, 2640. [Google Scholar] [CrossRef]
- Fernández-Espínola, C.; Robles, M.T.A.; Collado-Mateo, D.; Almagro, B.J.; Viera, E.C.; Fuentes-Guerra, F.J.G. Effects of Cooperative-Learning Interventions on Physical Education Students’ Intrinsic Motivation: A Systematic Review and Meta-Analysis. Int. J. Environ. Res. Public Health 2020, 17, 4451. [Google Scholar] [CrossRef]
- Ahmadi, A.; Ziapour, A.; Yoosefi Lebni, J.; Mehedi, N. Prediction of Academic Motivation Based on Variables of Personality Traits, Academic Self-Efficacy, Academic Alienation and Social Support in Paramedical Students. Community Health Equity Res. Policy 2023, 43, 195–201. [Google Scholar] [CrossRef] [PubMed]
- Chen, J.; Li, J.; Cao, B.; Wang, F.; Luo, L.; Xu, J. Mediating Effects of Self-Efficacy, Coping, Burnout, and Social Support between Job Stress and Mental Health among Young Chinese Nurses. J. Adv. Nurs. 2020, 76, 163–173. [Google Scholar] [CrossRef] [PubMed]
- Fiske, S.T.; Taylor, S.E. Social Cognition: From Brains to Culture; Sage Publications Ltd.: New York, NY, USA, 2020; pp. 1–672. [Google Scholar]
- Alghamdi, A.; Karpinski, A.C.; Lepp, A.; Barkley, J. Online and Face-to-Face Classroom Multitasking and Academic Performance: Moderated Mediation with Self-Efficacy for Self-Regulated Learning and Gender. Comput. Hum. Behav. 2020, 102, 214–222. [Google Scholar] [CrossRef]
- Prado-Gascó, V.; Gómez-Domínguez, M.T.; Soto-Rubio, A.; Díaz-Rodríguez, L.; Navarro-Mateu, D. Stay at Home and Teach: A Comparative Study of Psychosocial Risks between Spain and Mexico during the Pandemic. Front. Psychol. 2020, 11, 2576. [Google Scholar] [CrossRef] [PubMed]
- Calandri, E.; Graziano, F.; Begotti, T.; Cattelino, E.; Gattino, S.; Rollero, C.; Fedi, A. Adjustment to COVID-19 Lockdown among Italian University Students: The Role of Concerns, Change in Peer and Family Relationships and in Learning Skills, Emotional, and Academic Self-Efficacy on Depressive Symptoms. Front. Psychol. 2021, 12, 3581. [Google Scholar] [CrossRef] [PubMed]
- Kohút, M.; Šrol, J.; Čavojová, V. How Are You Holding up? Personality, Cognitive and Social Predictors of a Perceived Shift in Subjective Well-Being during COVID-19 Pandemic. Pers. Individ. Dif. 2022, 186, 111349. [Google Scholar] [CrossRef] [PubMed]
- Cusinato, M.; Iannattone, S.; Spoto, A.; Poli, M.; Moretti, C.; Gatta, M.; Miscioscia, M. Stress, Resilience, and Well-Being in Italian Children and Their Parents during the COVID-19 Pandemic. Int. J. Environ. Res. Public Health 2020, 17, 8297. [Google Scholar] [CrossRef]
- Costa, P.T.; McCrae, R.R. Four Ways Five Factors Are Basic. Pers. Individ. Dif. 1992, 13, 653–665. [Google Scholar] [CrossRef]
- Aftab, M.; Abadi, A.M.; Nahar, S.; Ahmed, R.A.; Mahmood, S.E.; Madaan, M.; Ahmad, A. COVID-19 Pandemic Affects the Medical Students’ Learning Process and Assaults Their Psychological Wellbeing. Int. J. Environ. Res. Public Health 2021, 18, 5792. [Google Scholar] [CrossRef]
- Patricia Aguilera-Hermida, A. College Students’ Use and Acceptance of Emergency Online Learning Due to COVID-19. Int. J. Educ. Res. Open 2020, 1, 100011. [Google Scholar] [CrossRef]
- Bolatov, A.K.; Seisembekov, T.Z.; Askarova, A.Z.; Baikanova, R.K.; Smailova, D.S.; Fabbro, E. Online-Learning Due to COVID-19 Improved Mental Health among Medical Students. Med. Sci. Educ. 2021, 31, 183–192. [Google Scholar] [CrossRef]
- Machado, D.B.; de Araujo, J.A.P.; Alves, F.J.O.; Castro-De-Araujo, L.F.S.; da Silva Rodrigues, E.; Xavier, E.F.M.; Rodrigues, R.L.; Rasella, D.; Naslund, J.; Patel, V.; et al. The Impact of Social Drivers, Conditional Cash Transfers and Their Mechanisms on the Mental Health of the Young; an Integrated Retrospective and Forecasting Approach Using the 100 Million Brazilian Cohort: A Study Protocol. PLoS ONE 2022, 17, e0272481. [Google Scholar] [CrossRef] [PubMed]
- Pang, N.T.P.; Kamu, A.; Hambali, N.L.B.; Mun, H.C.; Kassim, M.A.; Mohamed, N.H.; Ayu, F.; Rahim, S.S.S.A.; Omar, A.; Jeffree, M.S. Malay Version of the Fear of COVID-19 Scale: Validity and Reliability. Int. J. Ment. Health Addict. 2022, 20, 263–272. [Google Scholar] [CrossRef] [PubMed]
- Kassim, M.A.M.; Pang, N.T.P.; Mohamed, N.H.; Kamu, A.; Ho, C.M.; Ayu, F.; Rahim, S.S.S.A.; Omar, A.; Jeffree, M.S. Relationship between Fear of COVID-19, Psychopathology and Sociodemographic Variables in Malaysian Population. Int. J. Ment. Health Addict. 2022, 20, 1303–1310. [Google Scholar] [CrossRef] [PubMed]
- Allen, D.N.; Goldstein, G. Cluster Analysis in Neuropsychological Research: Recent Applications; Springer: Berlin/Heidelberg, Germany, 2013; pp. 1–136. [Google Scholar] [CrossRef]
- Chiu, T.; Fang, D.P.; Chen, J.; Wang, Y.; Jeris, C. A Robust and Scalable Clustering Algorithm for Mixed Type Attributes in Large Database Environment. In Proceedings of the Seventh ACM SIGKDD International Conference on Knowledge Discovery and Data Mining, San Francisco, CA, USA, 26–29 August 2001; pp. 263–268. [Google Scholar] [CrossRef]
- SPSS TwoStep Cluster – A First Evaluation. Available online: https://www.ssoar.info/ssoar/bitstream/handle/document/32715/ssoar-2004-bacher_et_al-SPSS_TwoStep_Cluster_-_a.pdf?sequence=1 (accessed on 1 January 2023).
- Kent, P.; Jensen, R.K.; Kongsted, A. A Comparison of Three Clustering Methods for Finding Subgroups in MRI, SMS or Clinical Data: SPSS TwoStep Cluster Analysis, Latent Gold and SNOB. BMC Med. Res. Methodol. 2014, 14, 1–14. [Google Scholar] [CrossRef] [PubMed]
- Sarstedt, M.; Mooi, E. A Concise Guide to Market Research. In The Process, Data, and Methods Using IBM SPSS Statistics; Springer: Berlin/Heidelberg, Germany, 2014. [Google Scholar] [CrossRef]
- Frades, I.; Matthiesen, R. Overview on Techniques in Cluster Analysis. Methods Mol. Biol. 2010, 593, 81–107. [Google Scholar] [CrossRef]
- Caci, B.; Cardaci, M.; Tabacchi, M.E.; Scrima, F. Personality Variables as Predictors of Facebook Usage. Psychol. Rep. 2014, 114, 528–539. [Google Scholar] [CrossRef]
- Zsido, A.N.; Teleki, S.A.; Csokasi, K.; Rozsa, S.; Bandi, S.A. Development of the Short Version of the Spielberger State—Trait Anxiety Inventory. Psychiatry Res. 2020, 291, 113223. [Google Scholar] [CrossRef]
- Italian Adaptation of the General Self-Efficacy Scale. Available online: http://userpage.fu-berlin.de/health/italian.htm (accessed on 25 January 2023).
- Vallerand, R.J.; Pelletier, L.G.; Blais, M.R.; Briere, N.M.; Senecal, C.; Vallieres, E.F. On the Assessment of Intrinsic, Extrinsic, and Amotivation in Education: Evidence on the Concurrent and Construct Validity of the Academic Motivation Scale. SAGE J. 2016, 53, 159–172. [Google Scholar] [CrossRef]
- Deci, E.L.; Ryan, R.M.; Vallerand, R.J.; Pelletier, L.G. Motivation and Education: The Self-Determination Perspective. Educ. Psychol. 2011, 26, 325–346. [Google Scholar] [CrossRef]
- Vallerand, R.J.; Blssonnette, R. Intrinsic, Extrinsic, and Amotivational Styles as Predictors of Behavior: A Prospective Study. J. Pers. 1992, 60, 599–620. [Google Scholar] [CrossRef]
- Alivernini, F.; Lucidi, F.; Manganelli, S. Assessment of Academic Motivation: A Mixed Methods Study. Ceased 2014, 2, 71–82. [Google Scholar] [CrossRef]
- Howard, J.L.; Chong, J.X.Y.; Bureau, J.S. The Tripartite Model of Intrinsic Motivation in Education: A 30-Year Retrospective and Meta-Analysis. J. Pers. 2020, 88, 1268–1285. [Google Scholar] [CrossRef] [PubMed]
- Vallerand, R.J.; Ratelle, C.F. Intrinsic and Extrinsic Motivation: A Hierarchical Model. In Handbook of Self-Determination Research; Deci, E.L., Ryan, R.M., Eds.; University of Rochester Press: Rochester, NY, USA, 2002; pp. 37–63. [Google Scholar]
- Ahorsu, D.K.; Lin, C.Y.; Imani, V.; Saffari, M.; Griffiths, M.D.; Pakpour, A.H. The Fear of COVID-19 Scale: Development and Initial Validation. Int. J. Ment. Health Addict. 2022, 20, 1537–1545. [Google Scholar] [CrossRef] [PubMed]
- Everitt, B.; Hothorn, T. An Introduction to Applied Multivariate Analysis with R.; Springer: Berlin/Heidelberg, Germany, 2011. [Google Scholar] [CrossRef]
- Tsiptsis, K.; Chorianopoulos, A. Data Mining Techniques in CRM: Inside Customer Segmentation; John Wiley & Sons: Hoboken, NJ, USA, 2009; p. 357. [Google Scholar]
- Cohen, J. Eta-Squared and Partial Eta-Squared in Fixed Factor Anova Designs. Educ. Psychol. Meas. 1973, 33, 107–112. [Google Scholar] [CrossRef]
- Kline, P. A Handbook of Test Construction (Psychology Revivals): Introduction to Psychometric Design; Informa: London, UK, 2015. [Google Scholar] [CrossRef]
- Miceli, S.; Cardaci, M.; Scrima, F.; Caci, B. Time Perspective and Facebook Addiction: The Moderating Role of Neuroticism. Curr. Psychol. 2021, 41, 8811–8820. [Google Scholar] [CrossRef]
- Orleans-Pobee, R.M. Personality and Fear Conditioning: Effects of Neuroticism. Bachelor’s thesis, College of William and Mary, Williamsburg, VA, USA, April 2017. [Google Scholar]
- Zelenski, J.M.; Larsen, R.J. Susceptibility to Affect: A Comparison of Three Personality Taxonomies. J. Pers. 1999, 67, 761–791. [Google Scholar] [CrossRef]
- Günther, V.; Hußlack, A.; Weil, A.S.; Bujanow, A.; Henkelmann, J.; Kersting, A.; Quirin, M.; Hoffmann, K.T.; Egloff, B.; Lobsien, D.; et al. Individual Differences in Anxiety and Automatic Amygdala Response to Fearful Faces: A Replication and Extension of Etkin et al. (2004). Neuroimage Clin. 2020, 28, 102441. [Google Scholar] [CrossRef]
- Garcia, N.M.; Zoellner, L.A. Fear Generalisation in Individuals with High Neuroticism: Increasing Predictability Is Not Necessarily Better. Cogn. Emot. 2016, 31, 1647–1662. [Google Scholar] [CrossRef]
- Penley, J.A.; Tomaka, J.; Wiebe, J.S. The Association of Coping to Physical and Psychological Health Outcomes: A Meta-Analytic Review. J. Behav. Med. 2002, 25, 551–603. [Google Scholar] [CrossRef]
- Duncan, E.; Dorahy, M.J.; Hanna, D.; Bagshaw, S.; Blampied, N. Psychological Responses after a Major, Fatal Earthquake: The Effect of Peritraumatic Dissociation and Posttraumatic Stress Symptoms on Anxiety and Depression. J. Trauma Dissociation 2013, 14, 501–518. [Google Scholar] [CrossRef] [PubMed]
- Miceli, S.; Caci, B.; Roccella, M.; Vetri, L.; Quatrosi, G.; Cardaci, M. Do Mental Health and Vitality Mediate the Relationship between Perceived Control over Time and Fear of COVID-19? A Survey in an Italian Sample. J. Clin. Med. 2021, 10, 3516. [Google Scholar] [CrossRef] [PubMed]
- Gentile, A.; Alesi, M.; Caci, B. Protective and Educational Effects of Physical Activity Practice on Mental Health in Young Age during COVID-19 Lockdown. Sustainability 2023, 15, 752. [Google Scholar] [CrossRef]
- Qiu, J.; Shen, B.; Zhao, M.; Wang, Z.; Xie, B.; Xu, Y. A Nationwide Survey of Psychological Distress among Chinese People in the COVID-19 Epidemic: Implications and Policy Recommendations. Gen. Psychiatr. 2020, 33, 100213. [Google Scholar] [CrossRef]
- Mikolai, J.; Keenan, K.; Kulu, H. Intersecting Household-Level Health and Socio-Economic Vulnerabilities and the COVID-19 Crisis: An Analysis from the UK. SSM Popul. Health 2020, 12, 100628. [Google Scholar] [CrossRef]
- Favieri, F.; Forte, G.; Tambelli, R.; Casagrande, M. The Italians in the Time of Coronavirus: Psychosocial Aspects of the Unexpected COVID-19 Pandemic. Front. Psychiatry 2021, 12, 279. [Google Scholar] [CrossRef]
- Resilience, Hope, and Subjective Happiness among the Turkish Population: Fear of COVID-19 as a Mediator. Available online: https://psycnet.apa.org/record/2020-93353-001 (accessed on 12 January 2023).
- Jiang, Y. Problematic Social Media Usage and Anxiety among University Students During the COVID-19 Pandemic: The Mediating Role of Psychological Capital and the Moderating Role of Academic Burnout. Front. Psychol. 2021, 12, 612007. [Google Scholar] [CrossRef] [PubMed]
- Gonzalez, T.; de la Rubia, M.A.; Hincz, K.P.; Comas-Lopez, M.; Subirats, L.; Fort, S.; Sacha, G.M. Influence of COVID-19 Confinement on Students’ Performance in Higher Education. PLoS ONE 2020, 15, e0239490. [Google Scholar] [CrossRef]
- Schwarzer, R.; Warner, L.M. Perceived Self-Efficacy and Its Relationship to Resilience. In Resilience in Children, Adolescents, and Adults; Springer: New York, NY, USA, 2013; pp. 139–150. [Google Scholar] [CrossRef]
- Galatzer-Levy, I.R.; Burton, C.L.; Bonanno, G.A. Coping Flexibility, Potentially Traumatic Life Events, and Resilience: A Prospective Study of College Student Adjustment. J. Soc. Clin. Psychol. 2012, 31, 542–567. [Google Scholar] [CrossRef]
- Honicke, T.; Broadbent, J. The Influence of Academic Self-Efficacy on Academic Performance: A Systematic Review. Educ. Res. Rev. 2016, 17, 63–84. [Google Scholar] [CrossRef]
- Martin, A.J.; Ginns, P.; Collie, R.J. University Students in COVID-19 Lockdown: The Role of Adaptability and Fluid Reasoning in Supporting Their Academic Motivation and Engagement. Learn. Instr. 2023, 83, 101712. [Google Scholar] [CrossRef] [PubMed]
- Piumatti, G. Motivation, Health-Related Lifestyles and Depression among University Students: A Longitudinal Analysis. Psychiatry Res. 2018, 260, 412–417. [Google Scholar] [CrossRef]
- Ryan, R.M.; Deci, E.L. Intrinsic and Extrinsic Motivations: Classic Definitions and New Directions. Contemp. Educ. Psychol. 2000, 25, 54–67. [Google Scholar] [CrossRef] [PubMed]
- Dykman, B.M. Integrating Cognitive and Motivational Factors in Depression: Initial Tests of a Goal-Orientation Approach. J. Pers. Soc. Psychol. 1998, 74, 139–158. [Google Scholar] [CrossRef] [PubMed]
- Salmela-Aro, K.; Kiuru, N.; Nurmi, J.E. The Role of Educational Track in Adolescents’ School Burnout: A Longitudinal Study. Br. J. Educ. Psychol. 2008, 78, 663–689. [Google Scholar] [CrossRef]
- Békés, V.; Aafjes-van Doorn, K.; Luo, X.; Prout, T.A.; Hoffman, L. Psychotherapists’ Challenges With Online Therapy During COVID-19: Concerns About Connectedness Predict Therapists’ Negative View of Online Therapy and Its Perceived Efficacy Over Time. Front. Psychol. 2021, 12, 3036. [Google Scholar] [CrossRef]
- Morgül, E.; Kallitsoglou, A.; Essau Essau, C.A. Psychological Effects of the COVID-19 Lockdown on Children and Families in the UK. Rev. De Psicol. Clínica Con Niños Y Adolesc. 2020, 7, 42–48. [Google Scholar] [CrossRef]


| 1 | 2 | 3 | 4 | 5 | 6 | |
|---|---|---|---|---|---|---|
| 1. Neuroticism | - | |||||
| 2. Self-Efficacy | −0.489 ** | - | ||||
| 3. Academic Motivation | −0.255 ** | 0.262 ** | - | |||
| 4. State Anxiety | 0.513 ** | −0.245 ** | −0.186 ** | - | ||
| 5. Trait Anxiety | 0.640 ** | −0.346 ** | −0.191 ** | 0.672 ** | - | |
| 6. Fear of COVID-19 | 0.247 ** | −0.110 ** | 0.422 | 0.257 ** | 0.269 ** | - |
| Mean | 11.23 | 28.02 | 19.51 | 12.66 | 12.87 | 17.46 |
| SD | 3.23 | 4.55 | 8.71 | 4.06 | 3.62 | 6.13 |
| Skewness | 0.07 | −0.03 | −1.24 | −0.34 | −0.24 | 0.34 |
| kurtosis | −0.45 | 0.27 | 2.12 | −0.69 | −0.58 | −0.49 |
| Number of Clusters | Schwarz’s Bayesian Criterion (BIC) | Ratio of Distance Measures |
|---|---|---|
| 1 | 16,534,885 | |
| 2 | 14,234,734 | 2142 |
| 3 | 13,475,259 | 1456 |
| 4 | 13,138,158 | 1446 |
| 5 | 13,086,876 | 1464 |
| 6 | 13,238,790 | 1498 |
| 7 | 13,536,109 | 1168 |
| 8 | 13,875,385 | 1056 |
| 9 | 14,227,911 | 1029 |
| 10 | 14,587,058 | 1185 |
| 11 | 14,982,234 | 1021 |
| 12 | 15,381,346 | 1004 |
| 13 | 15,781,153 | 1117 |
| 14 | 16,200,760 | 1014 |
| 15 | 16,622,636 | 1001 |
| Adaptive Academic Profile (n = 456) | Maladaptive Academic Profile (n = 572) | F | p | η2p | |||
|---|---|---|---|---|---|---|---|
| M | DS | M | DS | ||||
| Neuroticism | 12.59 | 3.02 | 10.15 | 2.98 | 166.7 | <0.001 | 0.140 |
| Self-Efficacy | 26.96 | 4.71 | 28.87 | 4.24 | 46.45 | <0.001 | 0.043 |
| Academic Motivation | 18.62 | 9.58 | 20.21 | 7.88 | 8.57 | <0.01 | 0.008 |
| State Anxiety | 14.58 | 3.42 | 11.14 | 3.89 | 220.78 | <0.001 | 0.177 |
| Trait Anxiety | 14.46 | 3.19 | 11.60 | 3.45 | 185.48 | <0.001 | 0.153 |
| Fear of COVID-19 | 19.00 | 6.41 | 16.23 | 5.62 | 54.02 | <0.001 | 0.050 |
Disclaimer/Publisher’s Note: The statements, opinions and data contained in all publications are solely those of the individual author(s) and contributor(s) and not of MDPI and/or the editor(s). MDPI and/or the editor(s) disclaim responsibility for any injury to people or property resulting from any ideas, methods, instructions or products referred to in the content. |
© 2023 by the authors. Licensee MDPI, Basel, Switzerland. This article is an open access article distributed under the terms and conditions of the Creative Commons Attribution (CC BY) license (https://creativecommons.org/licenses/by/4.0/).
Share and Cite
Alesi, M.; Giordano, G.; Gentile, A.; Caci, B. The Switch to Online Learning during the COVID-19 Pandemic: The Interplay between Personality and Mental Health on University Students. Int. J. Environ. Res. Public Health 2023, 20, 5255. https://doi.org/10.3390/ijerph20075255
Alesi M, Giordano G, Gentile A, Caci B. The Switch to Online Learning during the COVID-19 Pandemic: The Interplay between Personality and Mental Health on University Students. International Journal of Environmental Research and Public Health. 2023; 20(7):5255. https://doi.org/10.3390/ijerph20075255
Chicago/Turabian StyleAlesi, Marianna, Giulia Giordano, Ambra Gentile, and Barbara Caci. 2023. "The Switch to Online Learning during the COVID-19 Pandemic: The Interplay between Personality and Mental Health on University Students" International Journal of Environmental Research and Public Health 20, no. 7: 5255. https://doi.org/10.3390/ijerph20075255
APA StyleAlesi, M., Giordano, G., Gentile, A., & Caci, B. (2023). The Switch to Online Learning during the COVID-19 Pandemic: The Interplay between Personality and Mental Health on University Students. International Journal of Environmental Research and Public Health, 20(7), 5255. https://doi.org/10.3390/ijerph20075255

