Crash Risk Predictors in Older Drivers: A Cross-Sectional Study Based on a Driving Simulator and Machine Learning Algorithms
Abstract
1. Introduction
2. Materials and Methods
2.1. Participant Recruitment
2.2. Data Collection
2.3. Self-Perception of Disability
2.4. Driving Simulator Test
2.5. Measures
2.5.1. Motor Domain
Handgrip Strength
Functional Reach Test
Plantar Flexor Muscle Strength
Dynamic Balance
Articular Amplitude
2.5.2. Visual Domain
2.5.3. Cognitive Domain
Montreal Cognitive Assessment (MoCA)
Trail Making Test (Trails B)
2.6. Statistical Analysis
3. Results
3.1. Descriptive Analyses
3.2. Clusters
3.3. Characteristics of Older Adult Drivers by Cluster
3.4. Feature Selection
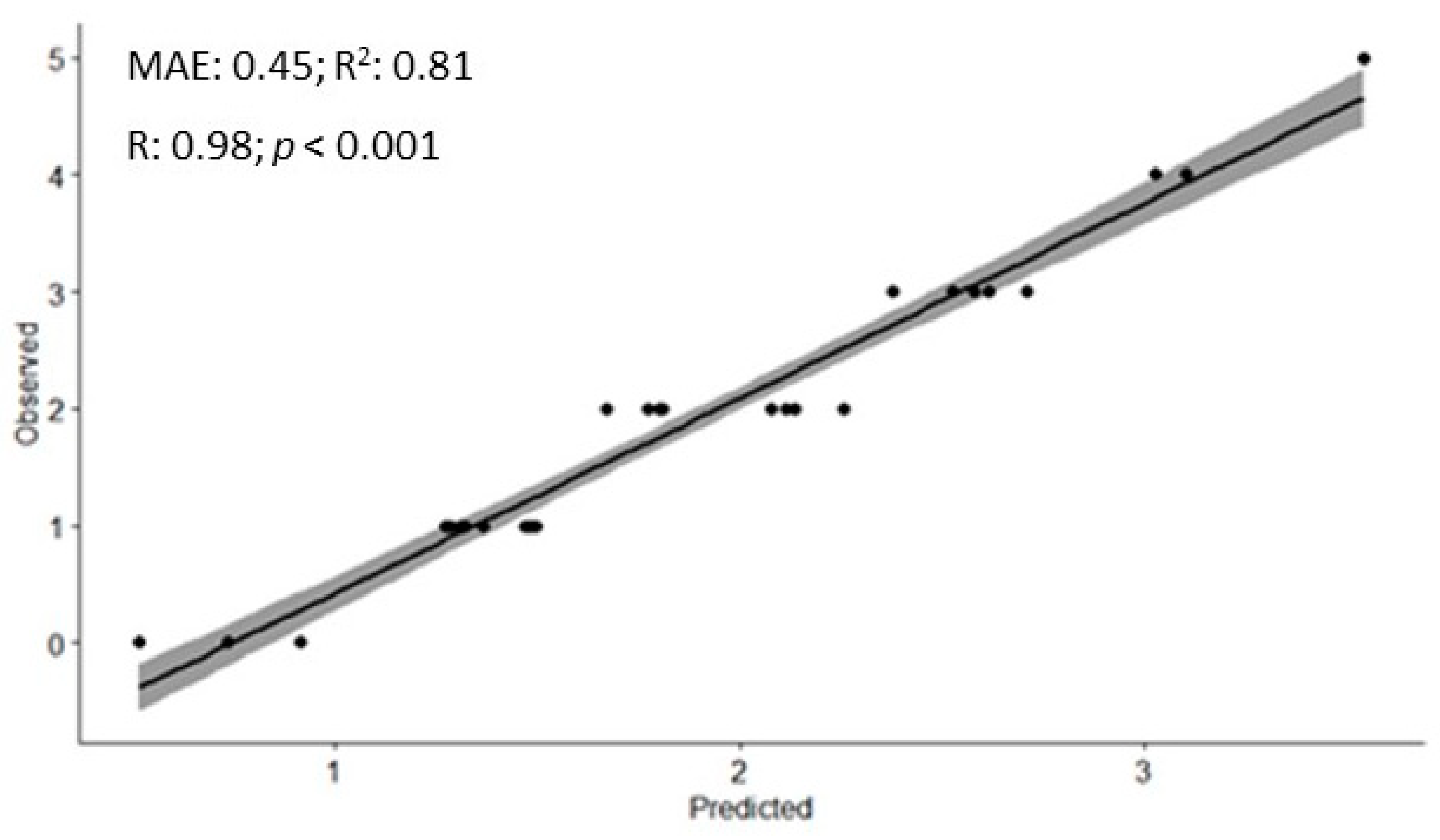
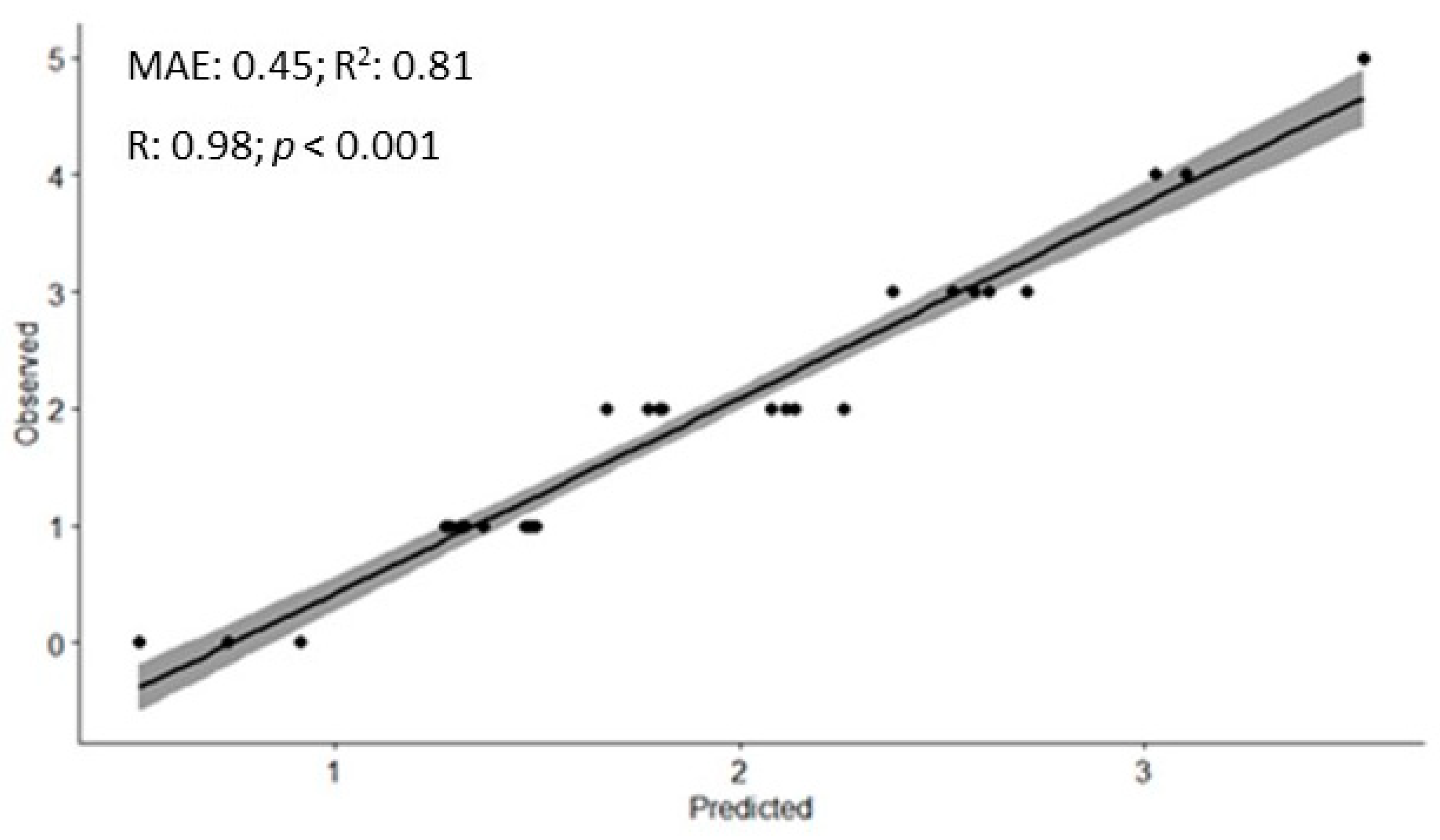
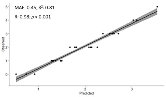
3.5. Observed vs. Predicted
4. Discussion
5. Conclusions
Author Contributions
Funding
Institutional Review Board Statement
Informed Consent Statement
Data Availability Statement
Acknowledgments
Conflicts of Interest
References
- Dawson, J.D.; Uc, E.Y.; Anderson, S.W.; Johnson, A.M.; Rizzo, M. Neuropsychological Predictors of Driving Errors in Older Adults. J. Am. Geriatr. Soc. 2010, 58, 1090–1096. [Google Scholar] [CrossRef] [PubMed]
- Munro, C.A.; Jefferys, J.; Gower, E.W.; Muñoz, B.E.; Lyketsos, C.G.; Keay, L.; Turano, K.A.; Bandeen-Roche, K.; West, S.K. Predictors of Lane-Change Errors in Older Drivers. J. Am. Geriatr. Soc. 2010, 58, 457–464. [Google Scholar] [CrossRef] [PubMed]
- License Renewal Procedures. Available online: https://www.iihs.org/topics/older-drivers/license-renewal-laws-table (accessed on 21 April 2022).
- FHWA, 2020. Available online: https://www.regulations.gov/docket/FHWA-2020-0001 (accessed on 21 April 2022).
- Wang, S.; Sharma, A.; Dawson, J.; Rizzo, M.; Merickel, J. Visual and Cognitive Impairments Differentially Affect Speed Limit Compliance in Older Drivers. J. Am. Geriatr. Soc. 2021, 69, 1300–1308. [Google Scholar] [CrossRef] [PubMed]
- Wood, J.M.; Anstey, K.J.; Kerr, G.K.; Lacherez, P.F.; Lord, S. A Multidomain Approach for Predicting Older Driver Safety under In-Traffic Road Conditions. J. Am. Geriatr. Soc. 2008, 56, 986–993. [Google Scholar] [CrossRef]
- Huisingh, C.; Levitan, E.B.; Irvin, M.R.; Maclennan, P.; Wadley, V.; Owsley, C. Visual Sensory and Visual-Cognitive Function and Rate of Crash and Near-Crash Involvement Among Older Drivers Using Naturalistic Driving Data. Investig. Ophthalmol. Vis. Sci. 2017, 58, 2959–2967. [Google Scholar] [CrossRef]
- Anderson, S.W.; Rizzo, M.; Shi, Q.; Uc, E.Y.; Dawson, J.D. Cognitive Abilities Related to Driving Performance in a Simulator and Crashing on the Road. In Proceedings of the 3rd International Driving Symposium on Human Factors in Driver Assessment, Training, and Vehicle Design, Rockport, ME, USA, 27–30 June 2005; pp. 286–292. [Google Scholar] [CrossRef]
- Tinella, L.; Lopez, A.; Caffò, A.O.; Nardulli, F.; Grattagliano, I.; Bosco, A. Cognitive Efficiency and Fitness-to-Drive along the Lifespan: The Mediation Effect of Visuospatial Transformations. Brain Sci. 2021, 11, 1028. [Google Scholar] [CrossRef]
- Tinella, L.; Lopez, A.; Caffò, A.O.; Grattagliano, I.; Bosco, A. Spatial Mental Transformation Skills Discriminate Fitness to Drive in Young and Old Adults. Front. Psychol. 2020, 11, 604762. [Google Scholar] [CrossRef]
- Alonso, A.C.; Peterson, M.D.; Busse, A.L.; Jacob-Filho, W.; Borges, M.T.A.; Serra, M.M.; Luna, N.M.S.; Marchetti, P.H.; Greve, J.M.D.A. Muscle Strength, Postural Balance, and Cognition Are Associated with Braking Time during Driving in Older Adults. Exp. Gerontol. 2016, 85, 13–17. [Google Scholar] [CrossRef]
- Ragland, D.R.; Satariano, W.A.; MacLeod, K.E. Reasons Given by Older People for Limitation or Avoidance of Driving. Gerontologist 2004, 44, 237–244. [Google Scholar] [CrossRef]
- Chihuri, S.; Mielenz, T.J.; Dimaggio, C.J.; Betz, M.E.; Diguiseppi, C.; Jones, V.C.; Li, G. Driving Cessation and Health Outcomes in Older Adults. J. Am. Geriatr. Soc. 2016, 64, 332–341. [Google Scholar] [CrossRef]
- Silva, V.C.; Gorgulho, B.; Marchioni, D.M.; de Araujo, T.A.; Santos, I.D.S.; Lotufo, P.A.; Benseñor, I.M. Clustering Analysis and Machine Learning Algorithms in the Prediction of Dietary Patterns: Cross-sectional Results of the Brazilian Longitudinal Study of Adult Health (ELSA-Brasil). J. Hum. Nutr. Diet. 2022, 35, 883–894. [Google Scholar] [CrossRef] [PubMed]
- Marshall, S.C.; Man-Son-Hing, M.; Bédard, M.; Charlton, J.; Gagnon, S.; Gélinas, I.; Koppel, S.; Korner-Bitensky, N.; Langford, J.; Mazer, B.; et al. Protocol for Candrive II/Ozcandrive, a Multicentre Prospective Older Driver Cohort Study. Accid. Anal. Prev. 2013, 61, 245–252. [Google Scholar] [CrossRef] [PubMed]
- Canonica, A.C.; Alonso, A.C.; Brech, G.C.; Peterson, M.; Luna, N.M.S.; Busse, A.L.; Jacob-Filho, W.; Rosa, J.L.; Soares-Junior, J.M.; Baracat, E.C.; et al. Adaptation to the Driving Simulator and Prediction of the Braking Time Performance, with and without Distraction, in Older Adults and Middle-Aged Adults. Clinics 2023, 78, 100168. [Google Scholar] [CrossRef]
- Alonso, A.C.; Ribeiro, S.M.; Luna, N.M.S.; Peterson, M.D.; Bocalini, D.S.; Serra, M.M.; Brech, G.C.; Greve, J.M.D.; Garcez-Leme, L.E. Association between Handgrip Strength, Balance, and Knee Flexion/Extension Strength in Older Adults. PLoS ONE 2018, 13, e0198185. [Google Scholar] [CrossRef] [PubMed]
- Itotani, K.; Suganuma, I.; Fujita, H. Are the Physical and Cognitive Functions of Older Adults Are the Physical and Cognitive Functions of Older Adults Affected by Having a Driver’s License?-A Pilot Study of Suburban Dwellers. Int. J. Environ. Res. Health 2022, 19, 4573. [Google Scholar] [CrossRef]
- Wood, J.M.; Horswill, M.S.; Lacherez, P.F.; Anstey, K.J. Evaluation of Screening Tests for Predicting Older Driver Performance and Safety Assessed by an On-Road Test. Accid. Anal. Prev. 2013, 50, 1161–1168. [Google Scholar] [CrossRef]
- Desapriya, E.; Harjee, R.; Brubacher, J.; Chan, H.; Hewapathirane, D.S.; Subzwari, S.; Pike, I. Vision Screening of Older Drivers for Preventing Road Traffic Injuries and Fatalities. Cochrane Database Syst. Rev. 2014, 2014, CD006252. [Google Scholar] [CrossRef]
- Lee, J.; Mehler, B.; Reimer, B.; Ebe, K.; Coughlin, J.F. Relationships Between Older Drivers’ Cognitive Abilities as Assessed on the MoCA and Glance Patterns During Visual-Manual Radio Tuning While Driving. J. Gerontol. B Psychol. Sci. Soc. Sci. 2018, 73, 1190–1197. [Google Scholar] [CrossRef]
- Gaudino, E.A.; Geisler, M.W.; Squires, N.K. Construct Validity in the Trail Making Test: What Makes Part B Harder? J. Clin. Exp. Neuropsychol. 2008, 17, 529–535. [Google Scholar] [CrossRef]
- Alonso, A.C.; Silva-Santos, P.R.; Quintana, M.S.L.; da Silva, V.C.; Brech, G.C.; Barbosa, L.G.; Pompeu, J.E.; Silva, E.C.G.E.; da Silva, E.M.; de Godoy, C.G.; et al. Physical and Pulmonary Capacities of Individuals with Severe Coronavirus Disease after Hospital Discharge: A Preliminary Cross-Sectional Study Based on Cluster Analysis. Clinics 2021, 76, e3540. [Google Scholar] [CrossRef]
- Capó, M.; Pérez, A.; Lozano, J.A. An Efficient K-Means Clustering Algorithm for Tall Data. Data Min. Knowl. Discov. 2020, 34, 776–811. [Google Scholar] [CrossRef]
- Probst, P.; Wright, M.N.; Boulesteix, A.L. Hyperparameters and Tuning Strategies for Random Forest. Wiley Interdiscip. Rev. Data Min. Knowl. Discov. 2019, 9, e1301. [Google Scholar] [CrossRef]
- Woolnough, A.; Salim, D.; Marshall, S.C.; Weegar, K.; Porter, M.M.; Rapoport, M.J.; Man-Son-Hing, M.; Bédard, M.; Gélinas, I.; Korner-Bitensky, N.; et al. Determining the Validity of the AMA Guide: A Historical Cohort Analysis of the Assessment of Driving Related Skills and Crash Rate among Older Drivers. Accid. Anal. Prev. 2013, 61, 311–316. [Google Scholar] [CrossRef] [PubMed]
- Ulleberg, P.; Bjørnskau, T.; Fostervold, K.I. Does Age Matter? Examining Age-Dependent Differences in at-Fault Collisions after Attending a Refresher Course for Older Drivers. Transp. Res. Part F Traffic Psychol. Behav. 2022, 87, 379–390. [Google Scholar] [CrossRef]
- Avila, R.; Moscoso, M.A.A.; Ribeiz, S.; Arrais, J.; Jaluul, O.; Bottino, C.M.C. Influence of Education and Depressive Symptoms on Cognitive Function in the Elderly. Int. Psychogeriatr. 2009, 21, 560–567. [Google Scholar] [CrossRef]
- Borzuola, R.; Giombini, A.; Torre, G.; Campi, S.; Albo, E.; Bravi, M.; Borrione, P.; Fossati, C.; Macaluso, A. Central and Peripheral Neuromuscular Adaptations to Ageing. J. Clin. Med. 2020, 9, 741. [Google Scholar] [CrossRef]
- Chevalier, A.; Coxon, K.; Rogers, K.; Chevalier, A.J.; Wall, J.; Brown, J.; Clarke, E.; Ivers, R.; Keay, L. A Longitudinal Investigation of the Predictors of Older Drivers’ Speeding Behaviour. Accid. Anal. Prev. 2016, 93, 41–47. [Google Scholar] [CrossRef]
- Green, K.A.; McGwin, G.; Owsley, C. Associations between Visual, Hearing, and Dual Sensory Impairments and History of Motor Vehicle Collision Involvement of Older Drivers. J. Am. Geriatr. Soc. 2013, 61, 252–257. [Google Scholar] [CrossRef]
- Owsley, C. Driving Mobility, Older Adults, and Quality of Life. Gerontechnology 2002, 1, 220–230. [Google Scholar] [CrossRef]
- Choi, H.; Kasko, J.; Feng, J. An Attention Assessment for Informing Older Drivers’ Crash Risks in Various Hazardous Situations. Gerontologist 2019, 59, 112–123. [Google Scholar] [CrossRef]
- Aksan, N.; Sager, L.; Hacker, S.; Lester, B.; Dawson, J.; Rizzo, M.; Ebe, K.; Foley, J. Individual Differences in Cognitive Functioning Predict Effectiveness of a Heads-up Lane Departure Warning for Younger and Older Drivers. Accid. Anal. Prev. 2017, 99. [Google Scholar] [CrossRef]
- Anstey, K.J.; Wood, J.; Lord, S.; Walker, J.G. Cognitive, Sensory and Physical Factors Enabling Driving Safety in Older Adults. Clin. Psychol. Rev. 2005, 25, 45–65. [Google Scholar] [CrossRef] [PubMed]
- Jian, M.; Shi, J. Analysis of Impact of Elderly Drivers on Traffic Safety Using ANN Based Car-Following Model. Saf. Sci. 2020, 122, 104536. [Google Scholar] [CrossRef]
- Boyle, L.N.; Lee, J.D. Using Driving Simulators to Assess Driving Safety. Accid. Anal. Prev. 2010, 42, 785–787. [Google Scholar] [CrossRef] [PubMed]



| Sociodemographic Data | Mean (SD) |
|---|---|
| Age (years) | 72.5 (5.7) |
| Education Level (years) | 12.3 (2.8) |
| Driving experience (years) | 48.2 (7.0) |
| Road crash | 1.8 (1.2) |
| Infractions | 2.4 (2.1) |
| Braking Time (s) | 0.95 (0.16) |
| Self-Perception of Difficulty | 4.9 (3.0) |
| Legend: SD—standard deviation | |
| Sociodemographic | Cluster 1 | Cluster 2 | p-Value |
|---|---|---|---|
| n = 59 | n = 41 | ||
| Age (years) | 74.9 (5.2) | 69.2 (4.8) | <0.001 * |
| Education Level (years) | 11.7 (2.8) | 13.2 (2.6) | <0.05 * |
| Driving Time (years) | 50.3 (6.8) | 45.1 (6.2) | <0.05 * |
| No. Crashes | 1.7 (1.1) | 1.8 (1.1) | 0.65 |
| No. Infractions | 2.6 (2.1) | 2.0 (1.8) | 0.14 |
| Braking Time (ms) | 0.98 (0.1) | 0.89 (0.1) | <0.05 * |
| Motor domain | |||
| DS Handgrip | 29.9 (8.2) | 34.9 (10.1) | <0.05 * |
| NDS Handgrip | 27.1 (8.0) | 31.8 (8.7) | <0.05 * |
| TUG (s) | 9.2 (1.8) | 7.9 (1.5) | <0.05 * |
| Reach Functional Test | 31.2 (6.1) | 33.7 (5.5) | <0.05 * |
| PT/BW plantar flexion (%) | 67.5 (23.3) | 93.2 (27.6) | <0.001 * |
| Total Work plantar flexion (J) | 24.9 (0.3) | 24.9 (0.3) | 0.177 |
| R Shoulder Flexion | 159.4 (20.0) | 167.2 (13.7) | <0.05 * |
| R Cervical Rotation | 67.1 (11.9) | 71.1 (10.2) | 0.08 |
| L Shoulder Flexion | 157.9 (20.6) | 167.5 (12.2) | <0.05 * |
| L Cervical Rotation | 70.4 (18.0) | 72.2 (12.1) | 0.56 |
| Visual domain | |||
| RE Snelling | 2.7 (2.2) | 6.1 (3.2) | <0.001 * |
| LE Snelling | 3.0 (2.4) | 5.2 (3.2) | <0.05 * |
| Binocular | 0.5 (0.8) | 2.0 (1.4) | <0.001 * |
| RE Campimetry | 86.0 (7.1) | 85.6 (8.3) | 0.79 |
| LE Campimetry | 85.6 (6.2) | 87.1 (0.8) | 0.20 |
| Campimetry Overall | 171.6 (12.0) | 172.8 (111.8) | 0.64 |
| Cognitive domain | |||
| MoCA | 22.8 (3.6) | 24.0 (3.2) | 0.08 |
| Trails B—errors | 5.6 (5.8) | 5.5 (7.3) | 0.94 |
| Trails B—time | 159.3 (103.3) | 147.0 (105.1) | 0.56 |
| TUG Cognitive | 11.7 (2.9) | 9.2 (2.6) | <0.001 * |
Disclaimer/Publisher’s Note: The statements, opinions and data contained in all publications are solely those of the individual author(s) and contributor(s) and not of MDPI and/or the editor(s). MDPI and/or the editor(s) disclaim responsibility for any injury to people or property resulting from any ideas, methods, instructions or products referred to in the content. |
© 2023 by the authors. Licensee MDPI, Basel, Switzerland. This article is an open access article distributed under the terms and conditions of the Creative Commons Attribution (CC BY) license (https://creativecommons.org/licenses/by/4.0/).
Share and Cite
Silva, V.C.; Dias, A.S.; Greve, J.M.D.; Davis, C.L.; Soares, A.L.d.S.; Brech, G.C.; Ayama, S.; Jacob-Filho, W.; Busse, A.L.; de Biase, M.E.M.; et al. Crash Risk Predictors in Older Drivers: A Cross-Sectional Study Based on a Driving Simulator and Machine Learning Algorithms. Int. J. Environ. Res. Public Health 2023, 20, 4212. https://doi.org/10.3390/ijerph20054212
Silva VC, Dias AS, Greve JMD, Davis CL, Soares ALdS, Brech GC, Ayama S, Jacob-Filho W, Busse AL, de Biase MEM, et al. Crash Risk Predictors in Older Drivers: A Cross-Sectional Study Based on a Driving Simulator and Machine Learning Algorithms. International Journal of Environmental Research and Public Health. 2023; 20(5):4212. https://doi.org/10.3390/ijerph20054212
Chicago/Turabian StyleSilva, Vanderlei Carneiro, Aluane Silva Dias, Julia Maria D’Andréa Greve, Catherine L. Davis, André Luiz de Seixas Soares, Guilherme Carlos Brech, Sérgio Ayama, Wilson Jacob-Filho, Alexandre Leopold Busse, Maria Eugênia Mayr de Biase, and et al. 2023. "Crash Risk Predictors in Older Drivers: A Cross-Sectional Study Based on a Driving Simulator and Machine Learning Algorithms" International Journal of Environmental Research and Public Health 20, no. 5: 4212. https://doi.org/10.3390/ijerph20054212
APA StyleSilva, V. C., Dias, A. S., Greve, J. M. D., Davis, C. L., Soares, A. L. d. S., Brech, G. C., Ayama, S., Jacob-Filho, W., Busse, A. L., de Biase, M. E. M., Canonica, A. C., & Alonso, A. C. (2023). Crash Risk Predictors in Older Drivers: A Cross-Sectional Study Based on a Driving Simulator and Machine Learning Algorithms. International Journal of Environmental Research and Public Health, 20(5), 4212. https://doi.org/10.3390/ijerph20054212

