Co-Benefits of China’s Carbon Emissions Trading Scheme: Impact Mechanism and Spillover Effect
Abstract
1. Introduction
2. Research Design
2.1. The DID Model
2.2. Variable Selection
2.3. Data Resources
2.4. Descriptive Analysis
3. Results
3.1. Base Results: The Effect on Co-Benefits
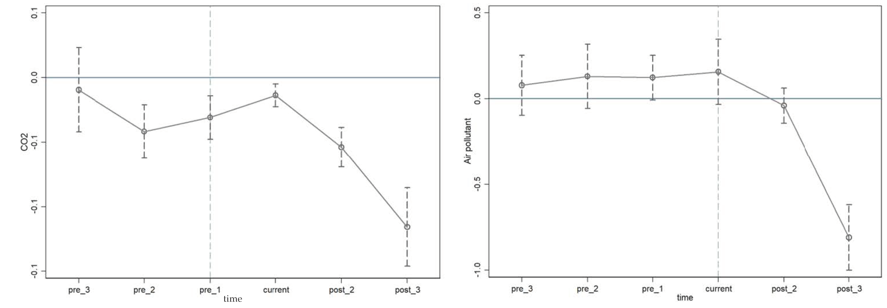
3.2. Parallel Trend Test
3.3. Robustness Test
3.3.1. Placebo Test
3.3.2. Propensity Score Matching (PSM)
3.3.3. Alternative Calculation Method
3.3.4. Winsorization
3.3.5. Policy Interference
3.4. Heterogeneity Analysis
3.4.1. City Location
3.4.2. City Level
4. Impact Mechanism
5. Additional Impacts: Spatial Spillovers
6. Conclusions
Author Contributions
Funding
Institutional Review Board Statement
Informed Consent Statement
Data Availability Statement
Conflicts of Interest
References
- Cohen, A.J.; Brauer, M.; Burnett, R.; Anderson, H.R.; Frostad, J.; Estep, K.; Balakrishnan, K.; Brunekreef, B.; Dandona, L.; Dandona, R.; et al. Estimates and 25-year trends of the global burden of disease attributable to ambient air pollution: An analysis of data from theGlobal Burden of Diseases Study 2015. Lancet 2017, 389, 1907–1918. [Google Scholar] [CrossRef]
- Ayres, R.U.; Walter, J. The greenhouse effect: Damages, costs and abatement. Environ. Resour. Econ. 1991, 1, 237–270. [Google Scholar] [CrossRef]
- IPCC. Climate Change 2001-Mitigation; Cambridge University Press: Cambridge, UK, 2001. [Google Scholar]
- World Bank. State and Trends of Carbon Pricing 2022; World Bank: Washington, DC, USA, 2022. [Google Scholar]
- Parry, I.; Black, S.; Zhunussova, K. Carbon Taxes or Emissions Trading Systems? Instrument Choice and Design; IMF Staff Climate Note 2022/006; International Monetary Fund: Washington, DC, USA, 2022. [Google Scholar]
- Driscoll, C.T.; Buonocore, J.J.; Levy, J.I.; Lambert, K.F.; Burtraw, D.; Reid, S.B.; Fakhraei, H.; Schwartz, J. US power plant carbon standards and clean air and health co-benefits. Nat. Clim. Change 2015, 5, 535–540. [Google Scholar] [CrossRef]
- Thompson, T.M.; Rausch, S.; Saari, R.K.; Selin, N.E. Asystems approach to evaluating the air quality co-benefits of UScarbon policies. Nat. Clim. Change 2014, 4, 917–923. [Google Scholar] [CrossRef]
- Liu, J.Y.; Woodward, R.T.; Zhang, Y.J. Has Carbon Emissions Trading Reduced PM2.5 in China? Environ. Sci. Technol. 2021, 55, 6631–6643. [Google Scholar] [CrossRef]
- Cao, L.; Tang, Y.; Cai, B.; Wu, P.; Zhang, Y.; Zhang, F.; Xin, B.; Lv, C.; Chen, K.; Fang, K. Was it better or worse? Simulating the environmental and health impacts of emissions trading scheme in Hubei province, China. Energy 2021, 217, 119427. [Google Scholar] [CrossRef]
- Choi, C.; Berry, P.; Smith, A. The climate benefits, co-benefits, and trade-offs of green infrastructure: A systematic literature review. J. Environ. Manag. 2021, 291, 112583. [Google Scholar] [CrossRef] [PubMed]
- Sadayuki, T.; Arimura, T.H. Do regional emission trading schemes lead to carbon leakage within firms? Evidence from Japan. Energy Econ. 2021, 104, 105664. [Google Scholar] [CrossRef]
- Zhang, Y.-J.; Cheng, H.-S. The impact mechanism of the ETS on CO2 emissions from the service sector: Evidence from Beijing and Shanghai. Technol. Forecast. Soc. Change 2021, 173, 121114. [Google Scholar] [CrossRef]
- Zhang, Y.-J.; Wang, W. How does China’s carbon emissions trading (CET) policy affect the investment of CET-covered enterprises? Energy Econ. 2021, 98, 105224. [Google Scholar] [CrossRef]
- Zhang, S.; Wang, Y.; Hao, Y.; Liu, Z. Shooting two hawks with one arrow: Could China’s emission trading scheme promote green development efficiency and regional carbon equality? Energy Econ. 2021, 101, 105412. [Google Scholar] [CrossRef]
- Cai, S.; Ma, Q.; Wang, S.; Zhao, B.; Brauer, M.; Cohen, A.; Martin, R.V.; Zhang, Q.; Li, Q.; Wang, Y.; et al. Impact of air pollution control policies on future PM2.5 concentrations and their source contributions in China. J. Environ. Manag. 2018, 227, 124–133. [Google Scholar] [CrossRef] [PubMed]
- Yue, H.; He, C.; Huang, Q.; Yin, D.; Bryan, B.A. Stronger policy required to substantially reduce deaths from PM2.5 pollution in China. Nat. Commun. 2020, 11, 1462. [Google Scholar] [CrossRef]
- Meng, W.; Zhong, Q.; Chen, Y.; Shen, H.; Yun, X.; Smith, K.R.; Li, B.; Liu, J.; Wang, X.; Ma, J.; et al. Energy and air pollution benefits of householdfuel policies in northern China. Proc. Natl. Acad. Sci. USA 2019, 116, 16773–16780. [Google Scholar] [CrossRef] [PubMed]
- Mittal, S.; Hanaoka, T.; Shukla, P.R.; Masui, T. Air pollutionco-benefits of low carbon policies in road transport: A sub-nationalassessment for India. Environ. Res. Lett. 2015, 10, 85006. [Google Scholar] [CrossRef]
- Thompson, T.M.; Rausch, S.; Saari, R.K.; Selin, N.E. Airquality co-benefits of subnational carbon policies. J. Air Waste Manag. Assoc. 2016, 66, 988–1002. [Google Scholar] [CrossRef]
- Gehrsitz, M. The effect of low emission zones on air pollutionand infant health. J. Environ. Econ. Manag. 2017, 83, 121–144. [Google Scholar] [CrossRef]
- Zhang, H.; Duan, M.; Deng, Z. Have China’s pilot emissions trading schemes promoted carbon emission reductions? the evidence from industrial sub-sectors at the provincial level. J. Clean. Prod. 2019, 234, 912–924. [Google Scholar] [CrossRef]
- Zhou, B.; Zhang, C.; Song, H.; Wang, Q. How does emission trading reduce China’s carbon intensity? An exploration using a decomposition and difference-in-differences approach. Sci. Total Environ. 2019, 676, 514–523. [Google Scholar] [CrossRef]
- Hu, Y.; Ren, S.; Wang, Y.; Chen, X. Can carbon emission trading scheme achieve energy conservation and emission reduction? Evidence from the industrial sector in China. Energy Econ. 2020, 85, 104590. [Google Scholar] [CrossRef]
- Lin, S.; Wang, B.; Wu, W.; Qi, S. The potential influence of the carbon market on clean technology innovation in China. Clim. Policy 2018, 18 (Suppl. 1), 71–89. [Google Scholar] [CrossRef]
- Zhu, J.; Fan, Y.; Deng, X.; Xue, L. Low-carbon innovation induced by emissions trading in China. Nat. Commun. 2019, 10, 4088. [Google Scholar] [CrossRef] [PubMed]
- Chang, S.; Yang, X.; Zheng, H.; Wang, S.; Zhang, X. Air quality and health co-benefits of China’s national emission trading system. Appl. Energy 2020, 261, 114226. [Google Scholar] [CrossRef]
- Cheng, B.; Dai, H.; Wang, P.; Zhao, D.; Masui, T. Impacts of carbon trading scheme on air pollutant emissions in Guangdong Province of China. Energy Sustain. Dev. 2015, 27, 174–185. [Google Scholar] [CrossRef]
- Mao, X.; Zeng, A.; Hu, T.; Zhou, J.; Xing, Y.; Liu, S. Co-control of Local Air Pollutants and CO2 in the Chinese Iron and Steel Industry. Environ. Sci. Technol. 2013, 47, 12002–12010. [Google Scholar] [CrossRef] [PubMed]
- Chen, J.; Huang, S.; Shen, Z.; Song, M.; Zhu, Z. Impact of sulfur dioxide emissions trading pilot scheme on pollution emissions intensity: A study based on the synthetic control method. Energy Policy 2021, 161, 112730. [Google Scholar] [CrossRef]
- Chen, Z.; Song, P.; Wang, B. Carbon emissions trading scheme, energy efficiency and rebound effect—Evidence from China’s provincial data. Energy Policy 2021, 157, 112507. [Google Scholar] [CrossRef]
- Zhang, Q.-Y.; Cai, B.-F.; Wang, M.-D.; Wang, J.-X.; Xing, Y.-K.; Dong, G.-X.; Zhang, Z.; Mao, X.-Q. City level CO2 and local air pollutants co-control performance evaluation: A case study of 113 key environmental protection cities in China. Adv. Clim. Chang. Res. 2022, 13, 118–130. [Google Scholar] [CrossRef]
- Mao, X.; Yang, S.; Liu, Q.; Tu, J.; Jaccard, M. Achieving CO2 emission reduction and the co-benefits of local air pollution abatement in the transportation sector of China. Environ. Sci. Policy 2012, 21, 1–13. [Google Scholar] [CrossRef]
- Li, Y.; Cui, Y.; Cai, B.; Guo, J.; Cheng, T.; Zheng, F. Spatial characteristics of CO2 emissions and PM2.5 concentrations in China based on gridded data. Appl. Energy 2020, 266, 114852. [Google Scholar] [CrossRef]
- La Ferrara, E.; Chong, A.; Duryea, S. Soap Operas and Fertility: Evidence from Brazil. Am. Econ. J. Appl. Econ. 2012, 4, 1–31. [Google Scholar] [CrossRef]
- Li, P.; Lu, Y.; Wang, J. Does flattening government improve economic performance? Evidence from China. J. Dev. Econ. 2016, 123, 18–37. [Google Scholar] [CrossRef]
- Ramaswami, A.; Tong, K.; Fang, A.; Lal, R.M.; Nagpure, A.S.; Li, Y.; Yu, H.; Jiang, D.; Russell, A.G.; Shi, L.; et al. Urban cross-sector actions for carbon mitigation with local health co-benefits in China. Nat. Clim. Change 2017, 7, 736–742. [Google Scholar] [CrossRef]
- Hong, Z.; Peng, Z.; Zhang, L. Game analysis on the choice of emission trading among industrial enterprises driven by data. Energy 2022, 239, 122447. [Google Scholar] [CrossRef]
- Guan, D.; Klasen, S.; Hubacek, K.; Feng, K.; Liu, Z.; He, K.; Geng, Y.; Zhang, Q. Determinants of stagnating carbon intensity in China. Nat. Clim. Change 2014, 4, 1017–1023. [Google Scholar] [CrossRef]
- Li, Z.; Shao, S.; Shi, X.; Sun, Y.; Zhang, X. Structural transformation of manufacturing, natural resource dependence, and carbon emissions reduction: Evidence of a threshold effect from China. J. Clean. Prod. 2019, 206, 920–927. [Google Scholar] [CrossRef]
- Hu, Y.; Li, R.; Du, L.; Ren, S.; Chevallier, J. Could SO2 and CO2 emissions trading schemes achieve co-benefits of emissions reduction? Energy Policy 2022, 170, 113252. [Google Scholar] [CrossRef]
- Clarke, D. Estimating difference-in-differences in the presence of spillovers. Munich Pers. RePEc Arch. 2017, 81604. [Google Scholar]


| Types | Coefficient | Value | Source | Explanation |
|---|---|---|---|---|
| SO2 | α | 1/0.95 | According to the “Environmental Protection Tax Law” in China: “Taxable Pollutants and Equivalent Value Table”, each pollution equivalent value is “0.95 kg SO2, 0.95 kg NOx, 16.7 kg CO, 2.18 kg soot……”, according to which the conversion coefficients of various air pollutants to APi,t can be obtained, and the PM10 is valued according to the equivalent conversion coefficient of “smoke and dust”. | According to “The schedule of Tax items and tax rates in the Environmental Protection Tax Law of China”, per unit of local air pollutants equivalence is equal to 0.95 kg SO2, 0.95 kg NOx, 2.18 kg PM10, 16.7 kg CO, 0.95 kg VOCs. |
| NOx | β | 1/0.95 | ||
| PM10 | γ | 1/2.18 | ||
| CO | δ | 1/16.7 | ||
| VOCs | ε | 1/0.95 |
| Dependent Variables | |
|---|---|
| lnCO2 | Log of CO2 emissions at the city level |
| lnAP | Log of the comprehensive index of air pollutant emission at the city level according to Table 1 |
| Independent Variables | |
| treatedi ∗ timet | treatedi = 1, when the city belongs to an ETS pilot area and when the time is after 2014 (timet = 1) |
| Controls | |
| PGDP | GDP per capita |
| IS | The ratio of the secondary industry’s GDP to the total GDP |
| SL | The tertiary industry’s total value as a proportion of the total GDP |
| IU | The ratio of the output value of the tertiary industry to that of the secondary industry |
| CUR | Comprehensive utilization rate of industrial solid waste |
| IPC | The city’s industrial electricity consumption |
| Variables | Means before 2014 | Means after 2014 | SE | Min | Max | Observations |
|---|---|---|---|---|---|---|
| CO2 | 27.7675 | 27.2106 | 42.7714 | 6.5380 | 230.7117 | 36 |
| CO2 * | 27.8164 | 27.5764 | 20.1961 | 2.0907 | 129.6009 | 245 |
| AP | 11.5898 | 11.2308 | 0.85545 | 8.8662 | 13.5844 | 36 |
| AP * | 11.4745 | 11.4481 | 0.9169 | 4.6806 | 14.7594 | 245 |
| Variables | ln(CO2) | ln(AP) | ||||
|---|---|---|---|---|---|---|
| (1) | (2) | (3) | (4) | (5) | (6) | |
| treatedi ∗ timet | −0.0656 *** | −0.0668 *** | −0.0480 *** | −0.0719 ** | −0.0695 * | −0.0691 ** |
| (0.0095) | (0.0168) | (0.0091) | (0.0267) | (0.0308) | (0.0258) | |
| Con_ | 3.3044 *** | 2.7598 *** | 3.1887 *** | 11.4376 *** | 10.1839 | 11.4322 |
| (0.0931) | (0.0063) | (0.3559) | (0.3166) | (0.4123) | (0.3258) | |
| Fixed effect | No | No | Yes | No | No | Yes |
| Controls × t | No | Yes | Yes | No | Yes | Yes |
| Controls × t2 | No | Yes | Yes | No | Yes | Yes |
| Controls × t3 | No | Yes | Yes | No | Yes | Yes |
| N | 2565 | 2565 | 2565 | 2205 | 2205 | 2205 |
| R-squared | 0.9908 | 0.9744 | 0.9927 | 0.6775 | 0.6835 | 0.7197 |
| Variables | PSM-DID | Variable Substitution | Winsorization | Policy Interference | |||
|---|---|---|---|---|---|---|---|
| lnCO2 (1) | lnAP (2) | lnSO2 (3) | lnCO2 (4) | lnAP (5) | lnCO2 (6) | lnAP (7) | |
| treatedi ∗ timet | −0.0474 *** | −0.0741 ** | −0.0595 ** | −0.0586 *** | −0.0539 * | −0.0506 ** | −0.0767 * |
| (0.0124) | (0.0301) | (0.0192) | (0.0168) | (0.0283) | (0.0207) | (0.0355) | |
| Con_ | 2.208 *** | 10.30 *** | 10.79 *** | 2.761 *** | 11.48 *** | 3.0286 *** | 10.07 *** |
| (0.385) | (0.469) | (0.386) | (0.0062) | (0.222) | (0.0097) | (0.461) | |
| Fixed effect | Yes | Yes | Yes | Yes | Yes | Yes | Yes |
| Controls × t | Yes | Yes | Yes | Yes | Yes | Yes | Yes |
| Controls × t2 | Yes | Yes | Yes | Yes | Yes | Yes | Yes |
| Controls × t3 | Yes | Yes | Yes | Yes | Yes | Yes | Yes |
| Observations | 2491 | 2149 | 2230 | 2012 | 1897 | 1536 | 1780 |
| R-squared | 0.827 | 0.727 | 0.724 | 0.789 | 0.739 | 0.767 | 0.727 |
| Variables | Cities in Central and Western Regions | Cities in Eastern Region | Non Central City | Central City | ||||
|---|---|---|---|---|---|---|---|---|
| lnCO2 (1) | lnAP (2) | lnCO2 (3) | lnAP (4) | lnCO2 (5) | lnAP (6) | lnCO2 (7) | lnAP (8) | |
| treatedi ∗ timet | −0.0391 * | −0.0704 ** | −0.0604 *** | −0.0755 ** | −0.0445 * | −0.0695 * | −0.0656 ** | −0.0752 ** |
| (0.0203) | (0.0304) | (0.0145) | (0.0299) | (0.0215) | (0.0308) | (0.0259) | (0.0292) | |
| Con_ | 3.0972 *** | 10.18 *** | 2.9118 *** | 10.08 *** | 3.225 *** | 9.76 *** | 3.302 *** | 10.13 *** |
| (0.1824) | (0.412) | (0.1706) | (0.459) | (0.159) | (0.262) | (0.159) | (0.3690) | |
| Fixed effect | Yes | Yes | Yes | Yes | Yes | Yes | Yes | Yes |
| Controls | Yes | Yes | Yes | Yes | Yes | Yes | Yes | Yes |
| N | 2312 | 2003 | 2491 | 2156 | 2005 | 2005 | 2265 | 2149 |
| R-squared | 0.9918 | 0.726 | 0.8127 | 0.726 | 0.991 | 0.697 | 0.992 | 0.73 |
| Variables | GTFP | Gross Output | AIS |
|---|---|---|---|
| (1) | (2) | (3) | |
| treated ∗ timet | 0.0066 * | −0.1487 * | 249.2 ** |
| (0.0040) | (0.0911) | (126.6) | |
| Con_ | 0.957 *** | 1.183 ** | −534.7 |
| (0.0288) | (0.461) | (397.7) | |
| Fixed effects | Yes | Yes | Yes |
| Controls | Yes | Yes | Yes |
| N | 2176 | 2645 | 2186 |
| Variables | lnCO2 | lnAP | ||||
|---|---|---|---|---|---|---|
| (1) | (2) | (3) | (4) | (5) | (6) | |
| treatedi ∗ timet | −0.152 *** (0.0158) | −0.0808 (0.0567) | −0.107 (0.0606) | −0.0878 (0.0575) | −0.111 * (0.0491) | −0.115 ** (0.0491) |
| β1 | −0.0833 *** (0.0248) | −0.183 *** (0.0388) | −0.158 *** (0.0423) | −0.177 *** (0.0434) | −0.154 *** (0.0383) | −0.150 *** (0.0383) |
| β2 | −0.0768 *** (0.0223) | 0.288 ** (0.0915) | 0.268 ** (0.0892) | 0.289 ** (0.0871) | 0.293 *** (0.0817) | |
| β3 | −0.0798 *** (0.0176) | −0.199 (0.119) | −0.179 (0.120) | −0.174 (0.124) | ||
| β4 | −0.0984*** (0.0142) | 0.0967 ** (0.0369) | 0.101 ** (0.0398) | |||
| β5 | −0.0762 *** (0.0196) | 0.0232 (0.0453) | ||||
| Controls | Yes | Yes | Yes | Yes | Yes | Yes |
| FE | Yes | Yes | Yes | Yes | Yes | Yes |
| N | 2565 | 2203 | 2203 | 2203 | 2203 | 2203 |
| R-squared | 0.694 | 0.730 | 0.731 | 0.731 | 0.731 | 0.731 |
Disclaimer/Publisher’s Note: The statements, opinions and data contained in all publications are solely those of the individual author(s) and contributor(s) and not of MDPI and/or the editor(s). MDPI and/or the editor(s) disclaim responsibility for any injury to people or property resulting from any ideas, methods, instructions or products referred to in the content. |
© 2023 by the authors. Licensee MDPI, Basel, Switzerland. This article is an open access article distributed under the terms and conditions of the Creative Commons Attribution (CC BY) license (https://creativecommons.org/licenses/by/4.0/).
Share and Cite
Liu, Z.; Cai, L.; Zhang, Y. Co-Benefits of China’s Carbon Emissions Trading Scheme: Impact Mechanism and Spillover Effect. Int. J. Environ. Res. Public Health 2023, 20, 3792. https://doi.org/10.3390/ijerph20053792
Liu Z, Cai L, Zhang Y. Co-Benefits of China’s Carbon Emissions Trading Scheme: Impact Mechanism and Spillover Effect. International Journal of Environmental Research and Public Health. 2023; 20(5):3792. https://doi.org/10.3390/ijerph20053792
Chicago/Turabian StyleLiu, Zijian, Lian Cai, and Yabin Zhang. 2023. "Co-Benefits of China’s Carbon Emissions Trading Scheme: Impact Mechanism and Spillover Effect" International Journal of Environmental Research and Public Health 20, no. 5: 3792. https://doi.org/10.3390/ijerph20053792
APA StyleLiu, Z., Cai, L., & Zhang, Y. (2023). Co-Benefits of China’s Carbon Emissions Trading Scheme: Impact Mechanism and Spillover Effect. International Journal of Environmental Research and Public Health, 20(5), 3792. https://doi.org/10.3390/ijerph20053792

