Treated Livestock Wastewater Irrigation Is Safe for Maize (Zea mays) and Soybean (Glycine max) Intercropping System Considering Heavy Metals Migration in Soil–Plant System
Abstract
:1. Introduction
2. Materials and Methods
2.1. Site Description and Experimental Design
2.2. Soil and Plant Sampling
2.3. Soil Analysis
2.4. Plant Analysis
2.5. Statistical Analysis
2.5.1. The Enrichment Factor (EF) and Translocation Factor (TF)
2.5.2. Bioaccumulation Factor
2.5.3. The Transfer Coefficient (TC)
3. Results
3.1. Effects of Treated Wastewater Irrigation on Plant Growth under Different Planting Patterns
3.2. Effects of Treated Wastewater Irrigation and Intercropping System on Crops Yield
3.3. Effects of Water Treatments and Planting Patterns on Soil Properties
3.4. Heavy Metals Concentration in Soil and Enrichment Factor
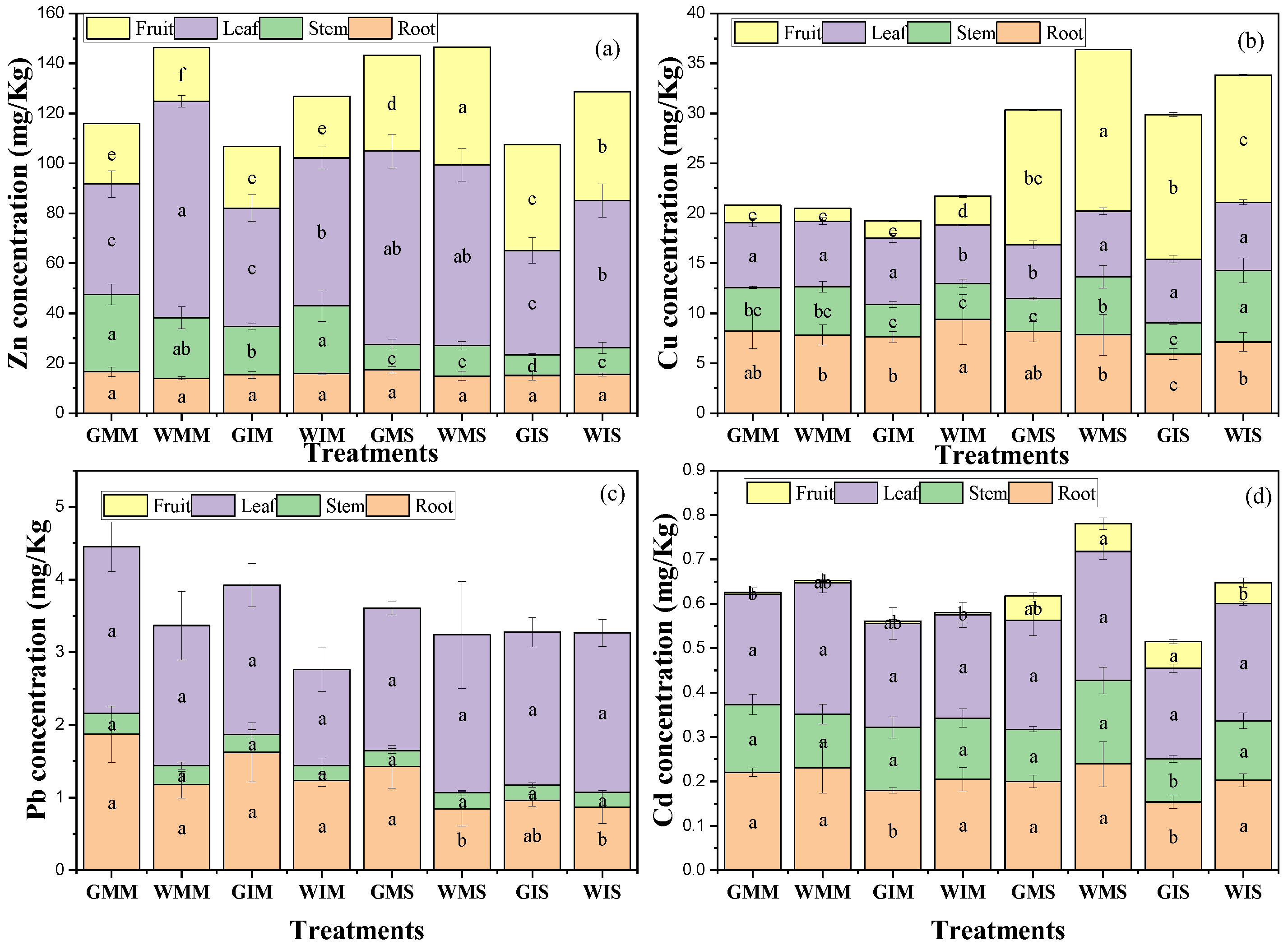
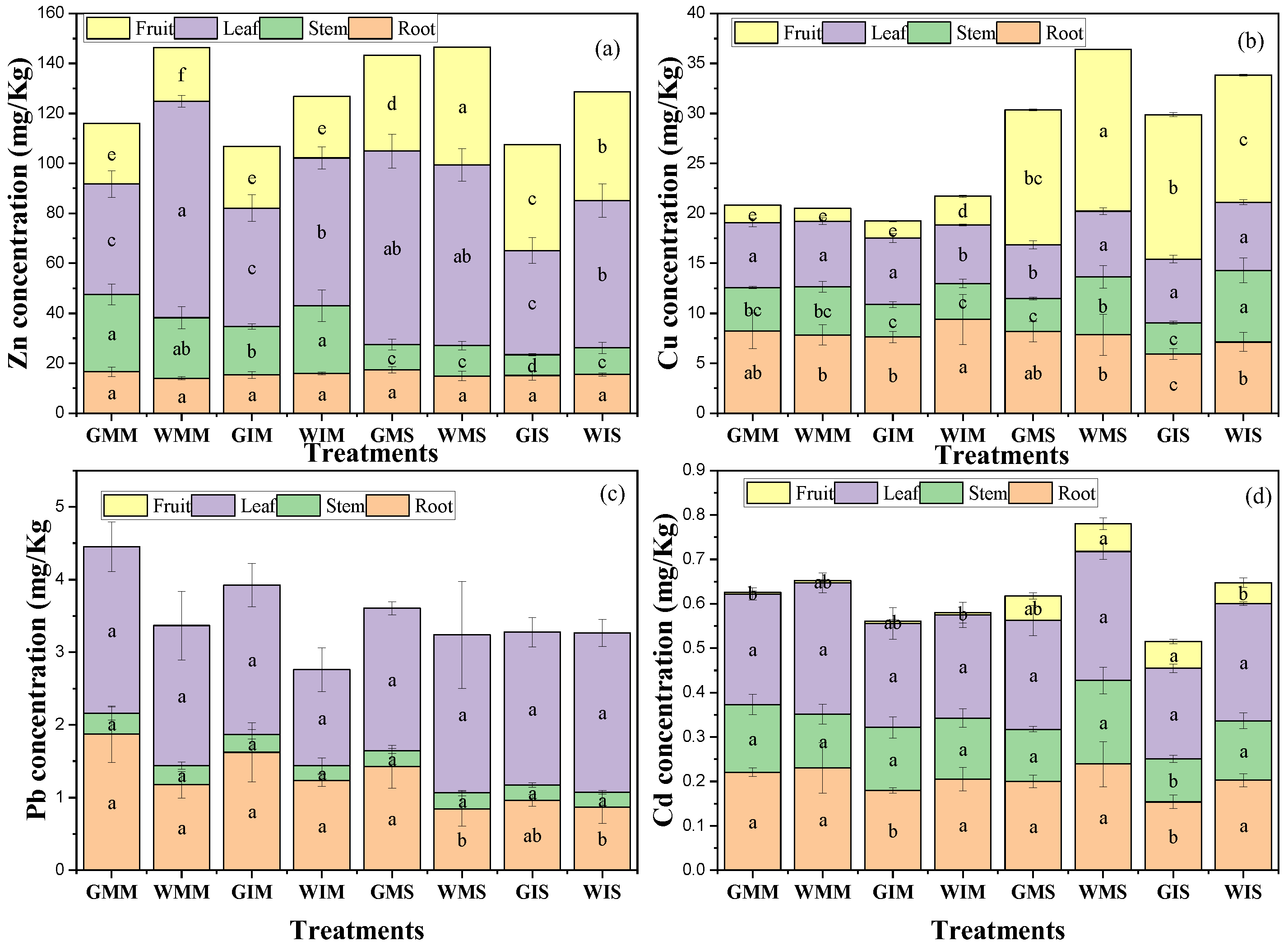
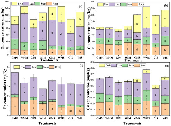
3.5. Heavy Metals Accumulation in Soil and Mobility in Plants
3.6. Heavy Metal Transfer from Soil to Plants
4. Discussion
5. Conclusions
Author Contributions
Funding
Institutional Review Board Statement
Informed Consent Statement
Data Availability Statement
Conflicts of Interest
References
- Chikwanha, O.C.; Mupfiga, S.; Olagbegi, B.R.; Katiyatiya, C.L.F.; Molotsi, A.H.; Abiodun, B.J.; Dzama, K.; Mapiye, C. Impact of water scarcity on dryland sheep meat production and quality: Key recovery and resilience strategies. J. Arid. Environ. 2021, 190, 104511. [Google Scholar] [CrossRef]
- Medici, G.; Langman, J.B. Pathways and Estimate of Aquifer Recharge in a Flood Basalt Terrain; A Review from the South Fork Palouse River Basin (Columbia River Plateau, USA). Sustainability 2022, 14, 11349. [Google Scholar] [CrossRef]
- DeNicola, E.; Aburizaiza, O.S.; Siddique, A.; Khwaja, H.; Carpenter, D.O. Climate Change and Water Scarcity: The Case of Saudi Arabia. Ann. Glob. Health 2015, 81, 342–353. [Google Scholar] [CrossRef] [PubMed]
- Khan, I.; Hou, F.; Le, H.P. The impact of natural resources, energy consumption, and population growth on environmental quality: Fresh evidence from the United States of America. Sci. Total Environ. 2021, 754, 142222. [Google Scholar] [CrossRef]
- Kumari, U.; Swamy, K.; Gupta, A.; Karri, R.R.; Meikap, B.C. Chapter8—Global water challenge and future perspective. In Green Technologies for the Defluoridation of Water; Hadi Dehghani, M., Karri, R., Lima, E., Eds.; Elsevier: Amsterdam, The Netherlands, 2021; pp. 197–212. [Google Scholar]
- Rosa, L.; Chiarelli, D.D.; Rulli, M.C.; Dell’Angelo, J.; D’Odorico, P. Global agricultural economic water scarcity. Sci. Adv. 2020, 6, eaaz6031. [Google Scholar] [CrossRef]
- Shelef, O.; Fernández-Bayo, J.D.; Sher, Y.; Ancona, V.; Slinn, H.; Achmon, Y. 2—Elucidating Local Food Production to Identify the Principles and Challenges of Sustainable Agriculture. In Sustainable Food Systems from Agriculture to Industry; Galanakis, C.M., Ed.; Academic Press: Cambridge, MA, USA, 2018; pp. 47–81. [Google Scholar]
- Hopmans, J.W.; Qureshi, A.S.; Kisekka, I.; Munns, R.; Grattan, S.R.; Rengasamy, P.; Ben-Gal, A.; Assouline, S.; Javaux, M.; Minhas, P.S.; et al. Critical knowledge gaps and research priorities in global soil salinity. In Advances in Agronomy; Academic Press: Cambridge, MA, USA, 2021. [Google Scholar]
- Meier, S.; Moore, F.; Morales, A.; Jobet, C.; López-Olivari, R.; Aponte, H.; Cartes, P.; Campos, P.; Khan, N. Interactive role between phosphorus utilization efficiency and water use efficiency. A tool to categorize wheats co-adapted to water and phosphorus limiting conditions. Agric. Water Manag. 2021, 248, 106765. [Google Scholar] [CrossRef]
- Yasuor, H.; Yermiyahu, U.; Ben-Gal, A. Consequences of irrigation and fertigation of vegetable crops with variable quality water: Israel as a case study. Agric. Water Manag. 2020, 242, 106362. [Google Scholar] [CrossRef]
- Nair, K.P. Chapter Four—Utilizing Crop Wild Relatives to Combat Global Warming. In Advances in Agronomy; Sparks, D.L., Ed.; Academic Press: Cambridge, MA, USA, 2019; pp. 175–258. [Google Scholar]
- Wu, R.-T.; Cai, Y.-F.; Chen, Y.-X.; Yang, Y.-W.; Xing, S.-C.; Liao, X.-D. Occurrence of microplastic in livestock and poultry manure in South China. Environ. Pollut. 2021, 277, 116790. [Google Scholar] [CrossRef]
- Jalil, H.M.; Rezapour, S.; Nouri, A.; Joshi, N. Assessing the ecological and health implications of soil heavy metals in vegetable irrigated with wastewater in calcareous environments. Agric. Water Manag. 2022, 272, 107848. [Google Scholar] [CrossRef]
- Leonel, L.P.; Tonetti, A.L. Wastewater reuse for crop irrigation: Crop yield, soil and human health implications based on giardiasis epidemiology. Sci. Total Environ. 2021, 775, 145833. [Google Scholar] [CrossRef]
- Becerra-Castro, C.; Lopes, A.R.; Vaz-Moreira, I.; Silva, E.F.; Manaia, C.M.; Nunes, O.C. Wastewater reuse in irrigation: A microbiological perspective on implications in soil fertility and human and environmental health. Environ. Int. 2015, 75, 117–135. [Google Scholar] [CrossRef]
- Oubane, M.; Khadra, A.; Ezzariai, A.; Kouisni, L.; Hafidi, M. Heavy metal accumulation and genotoxic effect of long-term wastewater irrigated peri-urban agricultural soils in semiarid climate. Sci. Total Environ. 2021, 794, 148611. [Google Scholar] [CrossRef]
- Singh, A. A review of wastewater irrigation: Environmental implications. Resour. Conserv. Recycl. 2021, 168, 105454. [Google Scholar] [CrossRef]
- Wu, B.; Peng, H.; Sheng, M.; Luo, H.; Wang, X.; Zhang, R.; Xu, F.; Xu, H. Evaluation of phytoremediation potential of native dominant plants and spatial distribution of heavy metals in abandoned mining area in Southwest China. Ecotoxicol. Environ. Saf. 2021, 220, 112368. [Google Scholar] [CrossRef]
- Yu, H.; Chen, F.; Ma, J.; Khan, Z.I.; Hussain, M.I.; Javaid, I.; Ahmad, K.; Nazar, S.; Akhtar, S.; Ejaz, A.; et al. Comparative evaluation of groundwater, wastewater and canal water for irrigation on toxic metal accumulation in soil and vegetable: Pollution load and health risk assessment. Agric. Water Manag. 2022, 264, 107515. [Google Scholar] [CrossRef]
- Ramakrishnan, P. Sustainable Agriculture and Food SecurityIndia-China Context. China Rep. 2007, 43, 219–229. [Google Scholar] [CrossRef]
- Smith, H.A.; McSorley, R. Intercropping and pest management: A review of major concepts. Am. Entomol. 2000, 46, 154–161. [Google Scholar] [CrossRef]
- Baldé, A.B.; Scopel, E.; Affholder, F.; Da Silva, F.A.M.; Wery, J.; Corbeels, M. Maize relay intercropping with fodder crops for small-scale farmers in central Brazil. Exp. Agric. 2020, 56, 561–573. [Google Scholar] [CrossRef]
- Pelech, E.; Alexander, B.; Bernacchi, C. Photosynthesis, yield, energy balance, and water-use of intercropped maize and soybean. Plant Direct 2021, 5, e365. [Google Scholar] [CrossRef]
- Hong, Y.; Heerink, N.; Jin, S.; Berentsen, P.; Zhang, L.; van der Werf, W. Intercropping and agroforestry in China—Current state and trends. Agric. Ecosyst. Environ. 2017, 244, 52–61. [Google Scholar] [CrossRef]
- Cao, X.; Wang, X.; Lu, M.; Hamid, Y.; Lin, Q.; Liu, X.; Li, T.; Liu, G.; He, Z.; Yang, X. The Cd phytoextraction potential of hyperaccumulator Sedum alfredii-oilseed rape intercropping system under different soil types and comprehensive benefits evaluation under field conditions. Environ. Pollut. 2021, 285, 117504. [Google Scholar] [CrossRef] [PubMed]
- Mabit, L.; Fulajtar, E.; Toloza, A.; Ochoa, V.; Maestroni, B. Chapter 4—Implementation and Optimization of Soil Sampling: Some Practical Guidance and Considerations. In Integrated Analytical Approaches for Pesticide Management; Maestroni, B., Cannavan, A., Eds.; Academic Press: Cambridge, MA, USA, 2018; pp. 47–63. [Google Scholar]
- Zhu, Z.; Dou, J. Current status of reclaimed water in China: An overview. J. Water Reuse Desalination 2018, 8, jwrd2018070. [Google Scholar] [CrossRef]
- Jahan, S.; Wahocho, N.; Laghari, G.; Laghari, A.; Bhabhan, G.; HussainTalpur, K.; Ahmed, T.; Wahocho, S.; Lashari, A. Role of Nitrogen for Plant Growth and Development: A review. Adv. Environ. Biol. 2016, 10, 209–218. [Google Scholar]
- Fawcett, J.K. The semi-micro Kjeldahl method for the determination of nitrogen. J. Med. Lab. Technol. 1954, 12, 1–22. [Google Scholar]
- Shen, Y.; Yu, Y.; Lucas-Borja, M.E.; Chen, F.; Chen, Q.; Tang, Y. Change of soil K, N and P following forest restoration in rock outcrop rich karst area. Catena 2020, 186, 104395. [Google Scholar] [CrossRef]
- Franco-Hernández, M.O.; Vásquez-Murrieta, M.S.; Patiño-Siciliano, A.; Dendooven, L. Heavy metals concentration in plants growing on mine tailings in Central Mexico. Bioresour. Technol. 2010, 101, 3864–3869. [Google Scholar] [CrossRef] [PubMed]
- Hussain, A.; Priyadarshi, M.; Said, S.; Negi, S. Effect of Wastewater on the Soil and Irrigation Process: A Laboratory Study. J. Geogr. Stud. 2017, 1, 46–55. [Google Scholar] [CrossRef]
- Cao, X.; Wang, X.; Tong, W.; Gurajala, H.K.; Lu, M.; Hamid, Y.; Feng, Y.; He, Z.; Yang, X. Distribution, availability and translocation of heavy metals in soil-oilseed rape (Brassica napus L.) system related to soil properties. Environ. Pollut. 2019, 252, 733–741. [Google Scholar] [CrossRef]
- Aladesanmi, O.T.; Oroboade, J.G.; Osisiogu, C.P.; Osewole, A.O. Bioaccumulation Factor of Selected Heavy Metals in Zea mays. J. Health Pollut. 2019, 9, 191207. [Google Scholar] [CrossRef]
- Hao, X.-Z.; Zhou, D.-M.; Huang, D.-Q.; Cang, L.; Zhang, H.-L.; Wang, H. Heavy Metal Transfer from Soil to Vegetable in Southern Jiangsu Province, China. Pedosphere 2009, 19, 305–311. [Google Scholar] [CrossRef]
- Yang, T.; Siddique, K.H.M.; Liu, K. Cropping systems in agriculture and their impact on soil health—A review. Glob. Ecol. Conserv. 2020, 23, e01118. [Google Scholar] [CrossRef]
- Lyu, S.; Wu, L.; Wen, X.; Wang, J.; Chen, W. Effects of reclaimed wastewater irrigation on soil-crop systems in China: A review. Sci. Total Environ. 2022, 813, 152531. [Google Scholar] [CrossRef]
- Li, L.; Zou, D.; Zeng, X.; Zhang, L.; Zhou, Y.; Anastopoulos, I.; Wang, A.; Zeng, Q.; Xiao, Z. Enhancing cadmium extraction potential of Brassica napus: Effect of rhizosphere interactions. J. Environ. Manag. 2021, 284, 112056. [Google Scholar] [CrossRef]
- Mukhametov, A.; Kondrashev, S.; Zvyagin, G.; Spitsov, D. Treated livestock wastewater influence on soil quality and possibilities of crop irrigation. Saudi J. Biol. Sci. 2022, 29, 2766–2771. [Google Scholar] [CrossRef]
- Herteman, M.; Fromard, F.; Lambs, L. Effects of pretreated domestic wastewater supplies on leaf pigment content, photosynthesis rate and growth of mangrove trees: A field study from Mayotte Island, SW Indian Ocean. Ecol. Eng. 2011, 37, 1283–1291. [Google Scholar] [CrossRef]
- Shen, L.; Wang, X.; Yang, T.; Teng, Y.; Liu, T.; Li, L.; Zhang, W. Effects of Different Planting Patterns on the Growth and Yield of Maize and Soybean in Northwest China. J. Agric. Sci. 2021, 13, 1. [Google Scholar] [CrossRef]
- Zhao, Y.; Tian, Y.; Li, X.; Song, M.; Fang, X.; Jiang, Y.; Xu, X. Nitrogen fixation and transfer between legumes and cereals under various cropping regimes. Rhizosphere 2022, 22, 100546. [Google Scholar] [CrossRef]
- Pandey, A.; Tripathi, P.H.; Pandey, S.C.; Joshi, T. Chapter 6—Multifaceted beneficial effects of plant growth promoting bacteria and rhizobium on legume production in hill agriculture. In Recent Advancements in Microbial Diversity; De Mandal, S., Bhatt, P., Eds.; Academic Press: Cambridge, MA, USA, 2020; pp. 113–146. [Google Scholar]
- Li, Z.-R.; Wang, J.-X.; An, L.-Z.; Tan, J.-B.; Zhan, F.-D.; Wu, J.; Zu, Y.-Q. Effect of root exudates of intercropping Vicia faba and Arabis alpina on accumulation and sub-cellular distribution of lead and cadmium. Int. J. Phytoremediat. 2019, 21, 4–13. [Google Scholar] [CrossRef]
- Chen, H.; Lin, L.; Liao, M.A.; Wang, J.; Tang, Y.; Sun, G.; Liang, D.; Xia, H.; Deng, Q.; Wang, X.; et al. Effects of intercropping with floricultural accumulator plants on cadmium accumulation in grapevine. Environ. Sci. Pollut. Res. 2019, 26, 24474–24481. [Google Scholar] [CrossRef]
- Wang, L.; Zou, R.; Li, Y.C.; Tong, Z.; You, M.; Huo, W.; Chi, K.; Fan, H. Effect of Wheat—Solanum nigrum L. intercropping on Cd accumulation by plants and soil bacterial community under Cd contaminated soil. Ecotoxicol. Environ. Saf. 2020, 206, 111383. [Google Scholar] [CrossRef]






| Properties | Soil | Groundwater | Livestock Wastewater |
|---|---|---|---|
| pH | 8.54 | 7.46 | 8.23 |
| EC | 1.330 mS/cm | 1.088 mS/cm | 26 mS/cm |
| OM | 1.55 mg/kg | ||
| COD | - | 7818 mg/L | |
| TN | 0.433 mg/L | 1675 mg/L | |
| TP | 0.6 mg/kg | 0.037 mg/L | 175.5 mg/L |
| Exchangeable potassium | 108 mg/kg | ||
| Water-soluble K+ | 1.7 mg/L | 1022 mg/L | |
| Water-soluble Na+ | 1.5 mg/L | 690 mg/L | |
| Cd | 0.22 mg/kg | - | 0.002 mg/L |
| Pb | 16.08 mg/kg | 0.2 mg/L | 0.015 mg/L |
| Zn | 61.35 mg/kg | 0.102 mg/L | 12.616 mg/L |
| Cu | 24.13 mg/kg | 0.004 mg/L | 4.958 mg/L |
| Ca | 10.66 mg/kg | 82.58 mg/L | 74.311 mg/L |
| Mg | 1.95 mg/kg | 61.3 mg/L | 14.180 mg/L |
| Cr | 0.013 mg/L | 0.139 mg/L | |
| Mn | 0.105 mg/L | 1.445 mg/L | |
| Ni | 0.001 mg/L | 0.274 mg/L |
| Treatment | Water Type | Planting Pattern | Crop |
|---|---|---|---|
| GMM | Groundwater (G) | Monocropping (M) | Maize (M) |
| WMM | Wastewater (W) | Monocropping (M) | Maize (M) |
| GMS | Groundwater (G) | Monocropping (M) | Soybean (S) |
| WMS | Wastewater (W) | Monocropping (M) | Soybean (S) |
| GIMS | Groundwater (G) | Intercropping (I) | Maize (M) + Soybean (S) |
| WIMS | Wastewater (W) | Intercropping (I) | Maize (M) + Soybean (S) |
| GCK | Groundwater (G) | None | None |
| WCK | Wastewater (W) | None | None |
| (a) | ||||||
| Parameters | PP | WT | Two-Way ANOVA | |||
| G | W | WT | PP | WT × PP | ||
| PH (cm) | MM | 149.20 ± 1.08 b | 156.60 ± 0.36 a | ** | ns | *** |
| IM | 156.80 ± 0.53 a | 143.60 ± 0.91 b | ||||
| STD (m2) | MM | 11.64 ± 0.62 c | 13.28 ± 0.69 a | ** | * | ** |
| IM | 13.63 ± 0.41 a | 12.55 ± 0.27 b | ||||
| SDW (g) | MM | 57.78 ± 2.09 c | 55.49 ± 3.40 d | *** | ** | *** |
| IM | 75.38 ± 6.08 a | 72.63 ± 5.16 b | ||||
| RDW (g) | MM | 21.98 ± 1.35 ab | 21.19 ± 0.86 ab | *** | *** | *** |
| IM | 25.41 ± 2.08 a | 23.20 ± 3.94 a | ||||
| LA (cm2) | MM | 191.85 ± 2.91 b | 190.88 ± 2.20 b | *** | ** | *** |
| IM | 225.30 ± 1.94 ab | 242.09 ± 3.07 a | ||||
| LWR (cm2g−1) | MM | 2.64 ± 0.06 b | 2.62 ± 0.15 b | *** | *** | *** |
| IM | 2.99 ± 0.26 ab | 3.27 ± 0.42 a | ||||
| (b) | ||||||
| Parameters | PP | WT | Two-Way ANOVA | |||
| G | W | WT | PP | WT × PP | ||
| PH (cm) | MS | 73.80 ± 0.50 b | 79.60 ± 1.93 ab | * | ns | *** |
| IS | 67.40 ± 1.46 c | 81.20 ± 1.54 a | ||||
| STD (cm2) | MS | 3.93 ± 0.10 ab | 4.76 ± 0.13 a | ** | ns | ns |
| IS | 3.07 ± 0.20 b | 3.93 ± 0.05 ab | ||||
| SDW (g) | MS | 27.14 ± 2.24 b | 33.51 ± 2.44 a | *** | ** | ns |
| IS | 14.24 ± 0.71 c | 17.54 ± 1.93 c | ||||
| RDW (g) | MS | 16.11 ± 0.67 b | 20.25 ± 0.18 a | *** | *** | *** |
| IS | 11.084 ± 1.03 c | 18.76 ± 1.19 ab | ||||
| LA (cm2) | MS | 17.56 ± 1.26 b | 21.31 ± 0.37 a | *** | *** | *** |
| IS | 18.94 ± 2.10 b | 21.70 ± 0.50 a | ||||
| LWR (cm2g−1) | MS | 1.68 ± 0.01 a | 1.65 ± 0.11 a | *** | ** | *** |
| IS | 1.41 ± 0.05 b | 1.48 ± 0.04 b | ||||
| (a) | ||||||||
| Variables | Maize Kernel Weight per Plant (g) | Number of Seeds per Plant | Number of Seeds per Pots | 100 Seeds Weight (g) | ||||
| MM | IM | MM | IM | MM | IM | MM | IM | |
| G | 55.63 ± 1.6 a | 55.47 ± 5.3 b | 133.67 ± 10.2 a | 143.33 ± 15.7 b | 267.33 ± 30.3 a | 136 ± 23.1 b | 29.37 ± 1.8 a | 25 ± 1.5 a |
| W | 48.82 ± 3.9 b | 60.59 ± 5.6 a | 129 ± 12.4 b | 150.67 ± 16.5 a | 258 ± 24.8 b | 270.67 ± 23.7 a | 26.27 ± 1.5 a | 26.46 ± 0.3 a |
| WT | ns ns ns | ns ns ns | ns ns ns | ns ns ns | ||||
| PP | ||||||||
| WT*PP | ||||||||
| (b) | ||||||||
| Variables | Number of Pods per Plant | Number of Seeds per Plant | Number of Seeds per Pots | 100 Seeds Weight (g) | ||||
| MS | IS | MS | IS | MS | IS | MS | IS | |
| G | 22 ± 1 b | 24 ± 0.6 a | 57.67 ± 5.7 b | 31 ± 4.1 a | 120.67 ± 5.4 b | 60.67 ± 5.2 a | 17.47 ± 0.5 b | 14.65 ± 1.3 b |
| W | 33 ± 3.6 a | 21.33 ± 0.9 b | 64 ± 5.1 a | 28 ± 1.5 b | 128.67 ± 3.8 a | 55.667 ± 3.1 b | 20.01 ± 1 a | 17.55 ± 1.2 a |
| WT | ns * ** | ns ** ns | ns ns ns | * * ns | ||||
| PP | ||||||||
| WT*PP | ||||||||
| Treatments | pH | EC (µS/cm) | OM (%) | TN (mg/g) | TP (mg/g) | Water-Soluble Na+ (mg/g) | Water-Soluble K+ (mg/g) |
|---|---|---|---|---|---|---|---|
| GMM | 8.54 ± 0.02 a | 281.33 ± 6.83 de | 2.14 ± 0.04 a | 1.06 ± 0.006 c | 0.71 ± 0.03 c | 0.02 ± 0.001 b | 0.01 ± 0.001 e |
| WMM | 8.52 ± 0.02 a | 297 ± 4.90 d | 2.12 ± 0.04 a | 1.07 ± 0.040 c | 0.80 ± 0.16 b | 0.03 ± 0.002 ab | 0.02 ± 0.002 d |
| GMS | 8.54 ± 0.01 a | 274.66 ± 3.43e | 2.26 ± 0.02 a | 1.10 ± 0.030 b | 0.86 ± 0.31 ab | 0.01 ± 0.001 c | 0.04 ± 0.002 c |
| WMS | 8.51 ± 0.02 a | 286.97 ± 3.23de | 2.10 ± 0.07 a | 1.12 ± 0.033 b | 0.85 ± 0.16 ab | 0.03 ± 0.002 ab | 0.05 ± 0.002 bc |
| GIMS | 8.54 ± 0.02 a | 277.98 ± 4.66e | 2.01 ± 0.15 b | 1.08 ± 0.016 c | 0.80 ± 0.18 b | 0.02 ± 0.001 b | 0.02 ± 0.002 d |
| WIMS | 8.39 ± 0.07 ab | 363.68 ± 5.57c | 2.39 ± 0.15 a | 1.12 ± 0.032 b | 0.84 ± 0.18 ab | 0.03 ± 0.001 ab | 0.04 ± 0.002 c |
| GCK | 8.39 ± 0.02 ab | 536.5 ± 5.40b | 1.94 ± 0.03 b | 1.07 ± 0.04 c | 0.91 ± 0.04 a | 0.04 ± 0.001 a | 0.06 ± 0.005 b |
| WCK | 8.08 ± 0.04 b | 1013.6 ± 9.36a | 1.87 ± 0.07 b | 1.30 ± 0.030 a | 0.80 ± 0.05 b | 0.10 ± 0.021 c | 0.14 ± 0.010 a |
| WT | ns | *** | ns | *** | *** | *** | *** |
| PP | ns | *** | * | ** | *** | *** | *** |
| WT*PP | ns | *** | ns | *** | *** | *** | *** |
Disclaimer/Publisher’s Note: The statements, opinions and data contained in all publications are solely those of the individual author(s) and contributor(s) and not of MDPI and/or the editor(s). MDPI and/or the editor(s) disclaim responsibility for any injury to people or property resulting from any ideas, methods, instructions or products referred to in the content. |
© 2023 by the authors. Licensee MDPI, Basel, Switzerland. This article is an open access article distributed under the terms and conditions of the Creative Commons Attribution (CC BY) license (https://creativecommons.org/licenses/by/4.0/).
Share and Cite
Kama, R.; Liu, Y.; Song, J.; Hamani, A.K.M.; Zhao, S.; Li, S.; Diatta, S.; Yang, F.; Li, Z. Treated Livestock Wastewater Irrigation Is Safe for Maize (Zea mays) and Soybean (Glycine max) Intercropping System Considering Heavy Metals Migration in Soil–Plant System. Int. J. Environ. Res. Public Health 2023, 20, 3345. https://doi.org/10.3390/ijerph20043345
Kama R, Liu Y, Song J, Hamani AKM, Zhao S, Li S, Diatta S, Yang F, Li Z. Treated Livestock Wastewater Irrigation Is Safe for Maize (Zea mays) and Soybean (Glycine max) Intercropping System Considering Heavy Metals Migration in Soil–Plant System. International Journal of Environmental Research and Public Health. 2023; 20(4):3345. https://doi.org/10.3390/ijerph20043345
Chicago/Turabian StyleKama, Rakhwe, Yuan Liu, Jibin Song, Abdoul Kader Mounkaila Hamani, Shouqiang Zhao, Siyi Li, Sekouna Diatta, Fengxia Yang, and Zhongyang Li. 2023. "Treated Livestock Wastewater Irrigation Is Safe for Maize (Zea mays) and Soybean (Glycine max) Intercropping System Considering Heavy Metals Migration in Soil–Plant System" International Journal of Environmental Research and Public Health 20, no. 4: 3345. https://doi.org/10.3390/ijerph20043345
APA StyleKama, R., Liu, Y., Song, J., Hamani, A. K. M., Zhao, S., Li, S., Diatta, S., Yang, F., & Li, Z. (2023). Treated Livestock Wastewater Irrigation Is Safe for Maize (Zea mays) and Soybean (Glycine max) Intercropping System Considering Heavy Metals Migration in Soil–Plant System. International Journal of Environmental Research and Public Health, 20(4), 3345. https://doi.org/10.3390/ijerph20043345

