Development and Evaluation of Sedentary Time Cut-Points for the activPAL in Adults Using the GGIR R-Package
Abstract
1. Introduction
2. Materials and Methods
2.1. Laboratory-Based
2.1.1. Procedures
2.1.2. Data Reduction and Processing
2.2. Free-Living
2.2.1. Procedures
2.2.2. Data Reduction and Processing
2.2.3. Statistical Analysis
3. Results
3.1. Laboratory Based
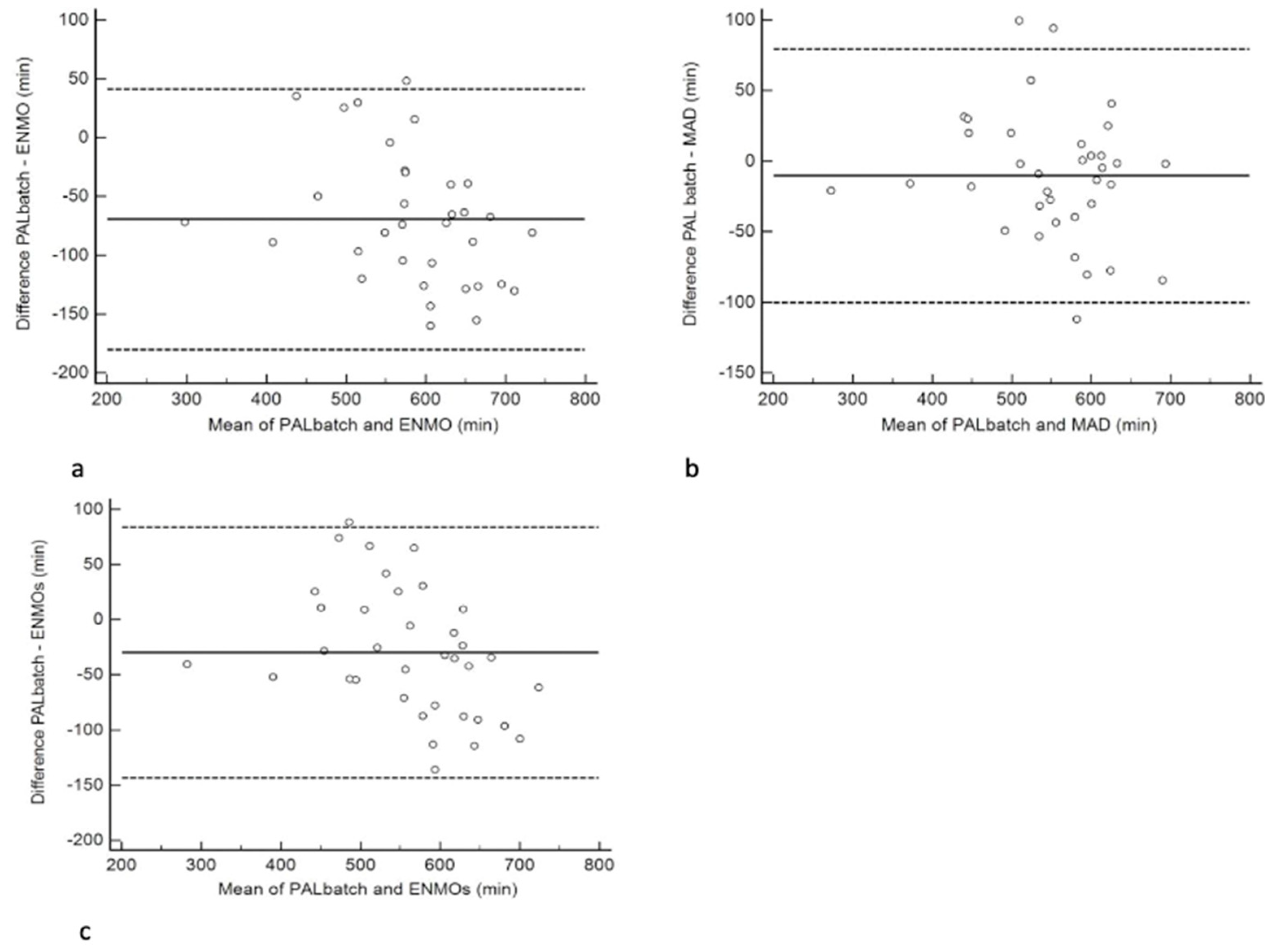
3.2. Free-Living
4. Discussion
5. Conclusions
Author Contributions
Funding
Institutional Review Board Statement
Informed Consent Statement
Data Availability Statement
Conflicts of Interest
References
- Tremblay, M.S.; Aubert, S.; Barnes, J.D.; Saunders, T.J.; Carson, V.; Latimer-Cheung, A.E.; Chastin, S.F.M.; Altenburg, T.M.; Chinapaw, M.J.M. Sedentary Behavior Research Network (SBRN)—Terminology Consensus Project process and outcome. Int. J. Behav. Nutr. Phys. Act. 2017, 14, 75. [Google Scholar] [CrossRef]
- Patterson, R.; McNamara, E.; Tainio, M.; de Sá, T.H.; Smith, A.D.; Sharp, S.J.; Edwards, P.; Woodcock, J.; Brage, S.; Wijndaele, K. Sedentary behaviour and risk of all-cause, cardiovascular and cancer mortality, and incident type 2 diabetes: A systematic review and dose response meta-analysis. Eur. J. Epidemiol. 2018, 33, 811–829. [Google Scholar] [CrossRef]
- Ekelund, U.; Tarp, J.; Steene-Johannessen, J.; Hansen, B.H.; Jefferis, B.; Fagerland, M.W.; Whincup, P.; Diaz, K.M.; Hooker, S.P.; Chernofsky, A.; et al. Dose-response associations between accelerometry measured physical activity and sedentary time and all cause mortality: Systematic review and harmonised meta-analysis. BMJ 2019, 366, l4570. [Google Scholar] [CrossRef]
- Bauman, A.; Petersen, C.; Blond, K.; Rangul, V.; Hardy, L. The Descriptive Epidemiology of Sedentary Behaviour. In Sedentary Behaviour Epidemiology; Springer: Cham, Switzerland, 2018; pp. 73–106. ISBN 978-3-319-61550-9. [Google Scholar]
- Chastin, S.F.M.; Dontje, M.L.; Skelton, D.A.; Čukić, I.; Shaw, R.J.; Gill, J.M.R.; Greig, C.A.; Gale, C.R.; Deary, I.J.; Der, G.; et al. Systematic comparative validation of self-report measures of sedentary time against an objective measure of postural sitting (activPAL). Int. J. Behav. Nutr. Phys. Act. 2018, 15, 21. [Google Scholar] [CrossRef]
- Grant, P.M.; Ryan, C.G.; Tigbe, W.W.; Granat, M.H. The validation of a novel activity monitor in the measurement of posture and motion during everyday activities. Br. J. Sports Med. 2006, 40, 992–997. [Google Scholar] [CrossRef]
- Sellers, C.; Dall, P.; Grant, M.; Stansfield, B. Validity and reliability of the activPAL3 for measuring posture and stepping in adults and young people. Gait Posture 2016, 43, 42–47. [Google Scholar] [CrossRef]
- Kozey-Keadle, S.; Libertine, A.; Lyden, K.; Staudenmayer, J.; Freedson, P.S. Validation of Wearable Monitors for Assessing Sedentary Behavior. Med. Sci. Sports Exerc. 2011, 43, 1561–1567. [Google Scholar] [CrossRef]
- PAL Technologies activPAL Daily Summary Outcomes 2022. Available online: https://kb.palt.com/articles/daily-summary-outcomes-2/ (accessed on 2 February 2022).
- Harrington, D.M.; Welk, G.J.; Donnelly, A.E. Validation of MET estimates and step measurement using the ActivPAL physical activity logger. J. Sports Sci. 2011, 29, 627–633. [Google Scholar] [CrossRef]
- Wu, Y.; Johns, J.A.; Poitras, J.; Kimmerly, D.S.; O’Brien, M.W. Improving the criterion validity of the activPAL in determining physical activity intensity during laboratory and free-living conditions. J. Sports Sci. 2021, 39, 826–834. [Google Scholar] [CrossRef]
- Lee, L.F.R.; Dall, P.M. Concurrent agreement between ActiGraph® and activPAL® in measuring moderate to vigorous intensity physical activity for adults. Med. Eng. Phys. 2019, 74, 82–88. [Google Scholar] [CrossRef]
- Biddle, G.J.H.; Edwardson, C.L.; Rowlands, A.V.; Davies, M.J.; Bodicoat, D.H.; Hardeman, W.; Eborall, H.; Sutton, S.; Griffin, S.; Khunti, K.; et al. Differences in objectively measured physical activity and sedentary behaviour between white Europeans and south Asians recruited from primary care: Cross-sectional analysis of the PROPELS trial. BMC Public Health 2019, 19, 95. [Google Scholar] [CrossRef]
- Barboza, L.L.S.; Gandarela, L.; Santana, J.G.S.; Silva, E.C.M.; Machado, E.S.; Silva, R.J.S.; Gomes, T.N.; Silva, D.R. Agreement Between Different Days of activPAL and Actigraph GT3X Measurement of Sedentary Behavior and Physical Activity During the School Hours in Elementary Children. J. Meas. Phys. Behav. 2021, 4, 111–117. [Google Scholar] [CrossRef]
- US Department of Health and Human Services. 2018 Physical Activity Guidelines for Americans, 2nd ed.; US Dept of Health and Human Services: Washington, DC, USA, 2018; p. 779.
- UK Government Department of Health and Social Care UK Chief Medical Officers’ Physical Activity Guidelines. Available online: https://www.gov.uk/government/collections/physical-activity-guidelines (accessed on 3 March 2022).
- World Health Organization. Guidelines on Physical Activity and Sedentary Behaviour; World Health Organization: Geneva, Switzerland, 2020.
- Rowlands, A.V.; Plekhanova, T.; Yates, T.; Mirkes, E.M.; Davies, M.; Khunti, K.; Edwardson, C.L. Providing a Basis for Harmonization of Accelerometer-Assessed Physical Activity Outcomes across Epidemiological Datasets. J. Meas. Phys. Behav. 2019, 2, 131–142. [Google Scholar] [CrossRef]
- Buchan, D.S. Equivalence of activity outcomes derived from three research grade accelerometers worn simultaneously on each wrist. J. Sports Sci. 2022, 40, 1–11. [Google Scholar] [CrossRef]
- Edwardson, C.L.; Maylor, B.D.; Dawkins, N.P.; Plekhanova, T.; Rowlands, A.V. Comparability of Postural and Physical Activity Metrics from Different Accelerometer Brands Worn on the Thigh: Data Harmonization Possibilities. Meas. Phys. Educ. Exerc. Sci. 2022, 26, 39–50. [Google Scholar] [CrossRef]
- Buchan, D.S.; Boddy, L.M.; McLellan, G. Comparison of Free-Living and Laboratory Activity Outcomes from ActiGraph Accelerometers Worn on the Dominant and Non-Dominant Wrists. Measurement in Physical Education and Exercise Science: Vol 24, No 4. Meas. Phys. Educ. Exerc. Sci. 2020, 24, 247–257. [Google Scholar] [CrossRef]
- Hildebrand, M.; Hansen, B.H.; van Hees, V.T.; Ekelund, U. Evaluation of raw acceleration sedentary thresholds in children and adults. Scand. J. Med. Sci. Sports 2017, 27, 1814–1823. [Google Scholar] [CrossRef]
- Rowlands, A.V.; Mirkes, E.M.; Yates, T.; Clemes, S.; Davies, M.; Khunti, K.; Edwardson, C.L. Accelerometer-assessed Physical Activity in Epidemiology: Are Monitors Equivalent? Med. Sci. Sports Exerc. 2018, 50, 257–265. [Google Scholar] [CrossRef]
- Sanders, G.J.; Boddy, L.M.; Sparks, S.A.; Curry, W.B.; Roe, B.; Kaehne, A.; Fairclough, S.J. Evaluation of wrist and hip sedentary behaviour and moderate-to-vigorous physical activity raw acceleration cutpoints in older adults. J. Sports Sci. 2019, 37, 1270–1279. [Google Scholar] [CrossRef]
- Suorsa, K.; Pulakka, A.; Leskinen, T.; Pentti, J.; Holtermann, A.; Heinonen, O.J.; Sunikka, J.; Vahtera, J.; Stenholm, S. Comparison of Sedentary Time Between Thigh-Worn and Wrist-Worn Accelerometers. J. Meas. Phys. Behav. 2020, 3, 234–243. [Google Scholar] [CrossRef]
- Migueles, J.H.; Rowlands, A.V.; Huber, F.; Sabia, S.; Hees, V.T. van GGIR: A Research Community–Driven Open Source R Package for Generating Physical Activity and Sleep Outcomes From Multi-Day Raw Accelerometer Data. J. Meas. Phys. Behav. 2019, 2, 188–196. [Google Scholar] [CrossRef]
- van Hees, V.T.; Fang, Z.; Langford, J.; Assah, F.; Mohammad, A.; da Silva, I.C.M.; Trenell, M.I.; White, T.; Wareham, N.J.; Brage, S. Autocalibration of accelerometer data for free-living physical activity assessment using local gravity and temperature: An evaluation on four continents. J. Appl. Physiol. 2014, 117, 738–744. [Google Scholar] [CrossRef]
- Edwardson, C.L.; Winkler, E.A.H.; Bodicoat, D.H.; Yates, T.; Davies, M.J.; Dunstan, D.W.; Healy, G.N. Considerations when using the activPAL monitor in field-based research with adult populations. J. Sport Health Sci. 2017, 6, 162–178. [Google Scholar] [CrossRef]
- van Hees, V.T.; Gorzelniak, L.; León, E.C.D.; Eder, M.; Pias, M.; Taherian, S.; Ekelund, U.; Renström, F.; Franks, P.W.; Horsch, A.; et al. Separating Movement and Gravity Components in an Acceleration Signal and Implications for the Assessment of Human Daily Physical Activity. PLoS ONE 2013, 8, e61691. [Google Scholar] [CrossRef]
- Youden, W.J. Index for rating diagnostic tests. Cancer 1950, 3, 32–35. [Google Scholar] [CrossRef]
- Metz, C.E. Basic principles of ROC analysis. Semin. Nucl. Med. 1978, 8, 283–298. [Google Scholar] [CrossRef]
- DeShaw, K.J.; Ellingson, L.; Bai, Y.; Lansing, J.; Perez, M.; Welk, G. Methods for Activity Monitor Validation Studies: An Example With the Fitbit Charge. J. Meas. Phys. Behav. 2018, 1, 130–135. [Google Scholar] [CrossRef]
- Feito, Y.; Garner, H.; Bassett, D. Evaluation of ActiGraph’s Low-Frequency Filter in Laboratory and Free-Living Environments. Med. Sci. Sports Exerc. 2014, 47, 211–217. [Google Scholar] [CrossRef]
- Dixon, P.M.; Saint-Maurice, P.F.; Kim, Y.; Hibbing, P.; Bai, Y.; Welk, G.J. A Primer on the Use of Equivalence Testing for Evaluating Measurement Agreement. Med. Sci. Sports Exerc. 2018, 50, 837–845. [Google Scholar] [CrossRef]
- O’Brien, M.W. Implications and Recommendations for Equivalence Testing in Measures of Movement Behaviors: A Scoping Review. J. Meas. Phys. Behav. 2021, 4, 353–362. [Google Scholar] [CrossRef]
- Bland, J.M.; Altman, D.G. Statistical methods for assessing agreement between two methods of clinical measurement. Lancet 1986, 1, 307–310. [Google Scholar] [CrossRef]
- Bakrania, K.; Yates, T.; Rowlands, A.V.; Esliger, D.W.; Bunnewell, S.; Sanders, J.; Davies, M.; Khunti, K.; Edwardson, C.L. Intensity Thresholds on Raw Acceleration Data: Euclidean Norm Minus One (ENMO) and Mean Amplitude Deviation (MAD) Approaches. PLoS ONE 2016, 11, e0164045. [Google Scholar] [CrossRef]
- Welk, G.J.; McClain, J.; Ainsworth, B.E. Protocols for evaluating equivalency of accelerometry-based activity monitors. Med. Sci. Sports Exerc. 2012, 44, S39–S49. [Google Scholar] [CrossRef]
- Migueles, J.H.; Cadenas-Sanchez, C.; Rowlands, A.V.; Henriksson, P.; Shiroma, E.J.; Acosta, F.M.; Rodriguez-Ayllon, M.; Esteban-Cornejo, I.; Plaza-Florido, A.; Gil-Cosano, J.J.; et al. Comparability of accelerometer signal aggregation metrics across placements and dominant wrist cut points for the assessment of physical activity in adults. Sci. Rep. 2019, 9, 18235. [Google Scholar] [CrossRef]
- Rowlands, A.V.; Dawkins, N.P.; Maylor, B.; Edwardson, C.L.; Fairclough, S.J.; Davies, M.J.; Harrington, D.M.; Khunti, K.; Yates, T. Enhancing the value of accelerometer-assessed physical activity: Meaningful visual comparisons of data-driven translational accelerometer metrics. Sports Med. Open 2019, 5, 47. [Google Scholar] [CrossRef]


| Posture | Activity | |
|---|---|---|
| Lying down | 1 | Lying on back with legs straight |
| 2 | Lying on back with legs bent | |
| 3 | Lying on side with legs straight | |
| 4 | Lying on side with legs bent | |
| Sitting | 5 | Sitting on a chair typing on a computer |
| 6 | Sitting whilst texting on a mobile phone | |
| Upright | 7 | Standing whilst using their mobile phone to browse the internet |
| 8 | Self-paced walk in a forward direction around the laboratory | |
| 9 | Picking up items on the floor and placing them on a desk | |
| 10 | Dusting a set area | |
| 11 | Sweeping the floor of a set area | |
| † 12 | Ascend then descend a flight of stairs (out with the laboratory) | |
| Activity | ENMO (mg) | MAD (mg) |
|---|---|---|
| Sedentary behaviours | 5.1 (3.1–8.6) | 4.0 (1.8–9.1) |
| Standing whilst using their mobile phone to browse the internet | 5.6 (3.6–31.4) | 4.5 (1.9–6.2) |
| Self-paced walk in a forward direction around the laboratory | 240.5 (209.4–341.7) | 316.3 (268.7–370.2) |
| Picking up items on the floor and placing them on a desk | 201.3 (174.5–214.3) | 245.4 (210.4–259.9) |
| Dusting a set area | 73.4 (47.4–87.7) | 60.2 (50.7–71.3) |
| Sweeping the floor of a set area | 94.4 (65.1–106.9) | 77.1 (57.1–88.3) |
| Ascend then descend a flight of stairs (out with the laboratory) | 248.7 (217.2–269.2) | 349.7 (298.3–364.5) |
| Criterion | Comparison | Mean ± SD Minutes | MPE ± SD | MAPE ± SD |
|---|---|---|---|---|
| PALbatch | 548 ± 85.1 | |||
| ENMO | 613.8 ± 116.1 | −10.6 ± 26.7 | 14.4 ± 12.1 | |
| MAD | 561.3 ± 92.3 | −2.2 ± 7.9 | 6.5 ± 5.6 | |
| ENMOs | 574.7 ± 121.3 | 3.1 ± 11.4 | 7.5 ± 6.9 |
Disclaimer/Publisher’s Note: The statements, opinions and data contained in all publications are solely those of the individual author(s) and contributor(s) and not of MDPI and/or the editor(s). MDPI and/or the editor(s) disclaim responsibility for any injury to people or property resulting from any ideas, methods, instructions or products referred to in the content. |
© 2023 by the authors. Licensee MDPI, Basel, Switzerland. This article is an open access article distributed under the terms and conditions of the Creative Commons Attribution (CC BY) license (https://creativecommons.org/licenses/by/4.0/).
Share and Cite
Buchan, D.S.; Baker, J.S. Development and Evaluation of Sedentary Time Cut-Points for the activPAL in Adults Using the GGIR R-Package. Int. J. Environ. Res. Public Health 2023, 20, 2293. https://doi.org/10.3390/ijerph20032293
Buchan DS, Baker JS. Development and Evaluation of Sedentary Time Cut-Points for the activPAL in Adults Using the GGIR R-Package. International Journal of Environmental Research and Public Health. 2023; 20(3):2293. https://doi.org/10.3390/ijerph20032293
Chicago/Turabian StyleBuchan, Duncan S., and Julien S. Baker. 2023. "Development and Evaluation of Sedentary Time Cut-Points for the activPAL in Adults Using the GGIR R-Package" International Journal of Environmental Research and Public Health 20, no. 3: 2293. https://doi.org/10.3390/ijerph20032293
APA StyleBuchan, D. S., & Baker, J. S. (2023). Development and Evaluation of Sedentary Time Cut-Points for the activPAL in Adults Using the GGIR R-Package. International Journal of Environmental Research and Public Health, 20(3), 2293. https://doi.org/10.3390/ijerph20032293

