The Global, Regional and National Burden of Pancreatic Cancer Attributable to Smoking, 1990 to 2019: A Systematic Analysis from the Global Burden of Disease Study 2019
Abstract
1. Introduction
2. Methods
2.1. Data Sources
2.2. Risk Factor and Exposure Definition
2.3. SDI
2.4. Measures Estimation
2.5. Statistical Analysis
3. Results
3.1. SEV and ARC of Tobacco from 1990 to 2019
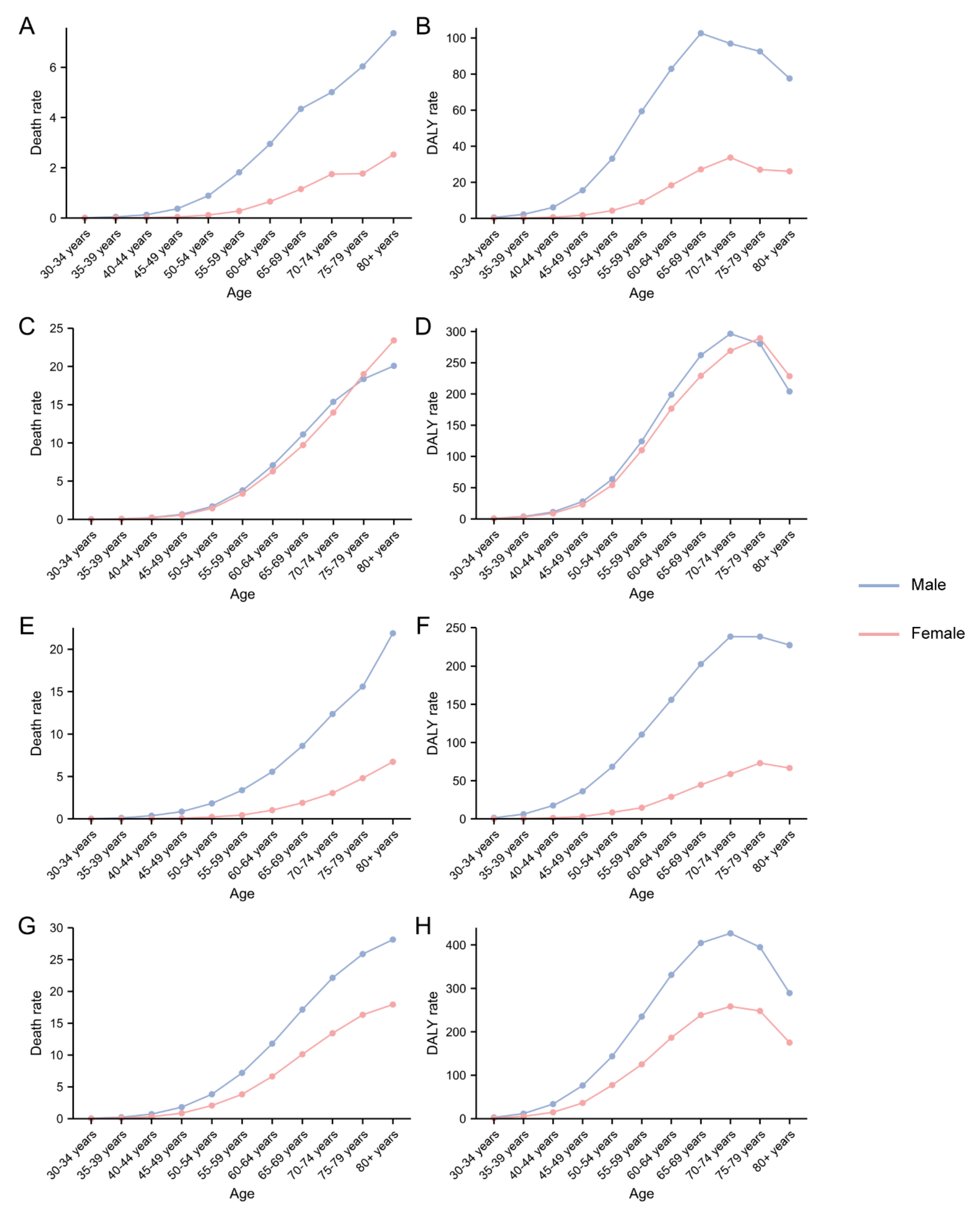
3.2. Burden at the Global and Four World Region Levels
3.3. Burden at the GBD Region Level
3.4. Burden at the Country/Territory Level
3.5. Burden among Different SDIs
4. Discussion
5. Conclusions
Supplementary Materials
Author Contributions
Funding
Institutional Review Board Statement
Informed Consent Statement
Data Availability Statement
Acknowledgments
Conflicts of Interest
References
- Klein, A.P. Pancreatic cancer epidemiology: Understanding the role of lifestyle and inherited risk factors. Nat. Rev. Gastroenterol. Hepatol. 2021, 18, 493–502. [Google Scholar] [CrossRef] [PubMed]
- Deng, Y.; Zhao, P.; Zhou, L.; Xiang, D.; Hu, J.; Liu, Y.; Ruan, J.; Ye, X.; Zheng, Y.; Yao, J.; et al. Epidemiological trends of tracheal, bronchus, and lung cancer at the global, regional, and national levels: A population-based study. J. Hematol. Oncol. 2020, 13, 98. [Google Scholar] [CrossRef]
- Li, H.; Sun, D.; Cao, M.; He, S.; Zheng, Y.; Yu, X.; Wu, Z.; Lei, L.; Peng, J.; Li, J.; et al. Risk prediction models for esophageal cancer: A systematic review and critical appraisal. Cancer Med. 2021, 10, 7265–7276. [Google Scholar] [CrossRef] [PubMed]
- Dekker, E.; Tanis, P.J.; Vleugels, J.L.A.; Kasi, P.M.; Wallace, M.B. Colorectal cancer. Lancet 2019, 394, 1467–1480. [Google Scholar] [CrossRef]
- Subhan, M.; Saji Parel, N.; Krishna, P.V.; Gupta, A.; Uthayaseelan, K.; Uthayaseelan, K.; Kadari, M. Smoking and Pancreatic Cancer: Smoking Patterns, Tobacco Type, and Dose-Response Relationship. Cureus 2022, 14, e26009. [Google Scholar] [CrossRef]
- Steuer, C.E.; El-Deiry, M.; Parks, J.R.; Higgins, K.A.; Saba, N.F. An update on larynx cancer. CA Cancer J. Clin. 2017, 67, 31–50. [Google Scholar] [CrossRef]
- Mcdermott, J.D.; Bowles, D.W. Epidemiology of Head and Neck Squamous Cell Carcinomas: Impact on Staging and Prevention Strategies. Curr. Treat. Options Oncol. 2019, 20, 43. [Google Scholar] [CrossRef] [PubMed]
- Reitsma, M.B.; Fullman, N.; Ng, M.; Salama, J.S.; Abajobir, A.; Abate, K.H.; Abbafati, C.; Abera, S.F.; Abraham, B.; Abyu, G.Y.; et al. Smoking prevalence and attributable disease burden in 195 countries and territories, 1990–2015: A systematic analysis from the Global Burden of Disease Study 2015. Lancet 2017, 389, 1885–1906. [Google Scholar] [CrossRef]
- Murray, C.J.; Aravkin, A.Y.; Zheng, P.; Abbafati, C.; Abbas, K.M.; Abbasi-Kangevari, M.; Abd-Allah, F.; Abdelalim, A.; Abegaz, K.; Abolhassani, H.; et al. Global burden of 87 risk factors in 204 countries and territories, 1990–2019: A systematic analysis for the Global Burden of Disease Study 2019. Lancet 2020, 396, 1223–1249. [Google Scholar] [CrossRef]
- Vos, T.; Lim, S.S.; Abbafati, C.; Abbas, K.M.; Abbasi, M.; Abbasifard, M.; Abd-Allah, F.; Abdelalim, A.; Abdollahpour, I.; Abdullah, K.; et al. Global burden of 369 diseases and injuries in 204 countries and territories, 1990–2019: A systematic analysis for the Global Burden of Disease Study 2019. Lancet 2020, 396, 1204–1222. [Google Scholar] [CrossRef]
- Stevens, G.A.; Alkema, L.; Black, R.E.; Boerma, J.T.; Collins, G.S.; Ezzati, M.; Grove, J.T.; Hogan, D.R.; Hogan, M.C.; Horton, R.; et al. Guidelines for Accurate and Transparent Health Estimates Reporting: The GATHER statement. Lancet 2016, 388, e19–e23. [Google Scholar] [CrossRef]
- Reitsma, M.B.; Kendrick, P.J.; Ababneh, E.; Abbafati, C.; Abbasi-Kangevari, M.; Abdoli, A.; Abedi, A.; Abhilash, E.S.; Abila, D.B.; Aboyans, V.; et al. Spatial, temporal, and demographic patterns in prevalence of smoking tobacco use and attributable disease burden in 204 countries and territories, 1990–2019: A systematic analysis from the Global Burden of Disease Study 2019. Lancet 2021, 397, 2337–2360. [Google Scholar] [CrossRef] [PubMed]
- Safiri, S.; Nejadghaderi, S.A.; Abdollahi, M.; Carson-Chahhoud, K.; Kaufman, J.S.; Bragazzi, N.L.; Moradi-Lakeh, M.; Mansournia, M.A.; Sullman, M.J.M.; Almasi-Hashiani, A.; et al. Global, regional, and national burden of cancers attributable to tobacco smoking in 204 countries and territories, 1990–2019. Cancer Med. 2022, 11, 2662–2678. [Google Scholar] [CrossRef] [PubMed]
- Stanaway, J.D.; Afshin, A.; Gakidou, E.; Lim, S.S.; Abate, D.; Abate, K.H.; Abbafati, C.; Abbasi, N.; Abbastabar, H.; Abd-Allah, F.; et al. Global, regional, and national comparative risk assessment of 84 behavioural, environmental and occupational, and metabolic risks or clusters of risks for 195 countries and territories, 1990–2017: A systematic analysis for the Global Burden of Disease Study 2017. Lancet 2018, 392, 1923–1994. [Google Scholar]
- Wu, Y.; Deng, Y.; Wei, B.; Xiang, D.; Hu, J.; Zhao, P.; Lin, S.; Zheng, Y.; Yao, J.; Zhai, Z.; et al. Global, regional, and national childhood cancer burden, 1990–2019: An analysis based on the Global Burden of Disease Study 2019. J. Adv. Res. 2022, 40, 233–247. [Google Scholar] [CrossRef] [PubMed]
- Qiu, D.; Katanoda, K.; Marugame, T.; Sobue, T. A Joinpoint regression analysis of long-term trends in cancer mortality in Japan (1958–2004). Int. J. Cancer 2009, 124, 443–448. [Google Scholar] [CrossRef]
- Midha, S.; Chawla, S.; Garg, P.K. Modifiable and non-modifiable risk factors for pancreatic cancer: A review. Cancer Lett. 2016, 381, 269–277. [Google Scholar] [CrossRef]
- Iodice, S.; Gandini, S.; Maisonneuve, P.; Lowenfels, A.B. Tobacco and the risk of pancreatic cancer: A review and meta-analysis. Langenbecks Arch. Surg. 2008, 393, 535–545. [Google Scholar] [CrossRef]
- Gupta, S.; Gupta, R.; Sinha, D.N.; Mehrotra, R. Relationship between type of smokeless tobacco & risk of cancer: A systematic review. Indian J. Med. Res. 2018, 148, 56–76. [Google Scholar]
- Yuan, C.; Morales-Oyarvide, V.; Babic, A.; Clish, C.B.; Kraft, P.; Bao, Y.; Qian, Z.R.; Rubinson, D.A.; Ng, K.; Giovannucci, E.L.; et al. Cigarette Smoking and Pancreatic Cancer Survival. J. Clin. Oncol. 2017, 35, 1822–1828. [Google Scholar] [CrossRef]
- Momi, N.; Ponnusamy, M.P.; Kaur, S.; Rachagani, S.; Kunigal, S.S.; Chellappan, S.; Ouellette, M.M.; Batra, S.K. Nicotine/cigarette smoke promotes metastasis of pancreatic cancer through α7nAChR-mediated MUC4 upregulation. Oncogene 2013, 32, 1384–1395. [Google Scholar] [CrossRef]
- Hermann, P.C.; Sancho, P.; Cañamero, M.; Martinelli, P.; Madriles, F.; Michl, P.; Gress, T.; Pascual, R.; Gandia, L.; Guerra, C.; et al. Nicotine promotes initiation and progression of KRAS-induced pancreatic cancer via Gata6-dependent dedifferentiation of acinar cells in mice. Gastroenterology 2014, 147, 1119–1133.e1114. [Google Scholar] [CrossRef] [PubMed]
- Pourshams, A.; Sepanlou, S.G.; Ikuta, K.S.; Bisignano, C.; Safiri, S.; Roshandel, G.; Sharif, M.; Khatibian, M.; Fitzmaurice, C.; Nixon, M.R.; et al. The global, regional, and national burden of pancreatic cancer and its attributable risk factors in 195 countries and territories, 1990–2017: A systematic analysis for the Global Burden of Disease Study 2017. Lancet Gastroenterol. Hepatol. 2019, 4, 934–947. [Google Scholar] [CrossRef] [PubMed]
- Koyanagi, Y.N.; Ito, H.; Matsuo, K.; Sugawara, Y.; Hidaka, A.; Sawada, N.; Wada, K.; Nagata, C.; Tamakoshi, A.; Lin, Y.; et al. Smoking and Pancreatic Cancer Incidence: A Pooled Analysis of 10 Population-Based Cohort Studies in Japan. Cancer Epidemiol. Biomark. Prev. 2019, 28, 1370–1378. [Google Scholar] [CrossRef]
- Baron, J.A.; La Vecchia, C.; Levi, F. The antiestrogenic effect of cigarette smoking in women. Am. J. Obstet. Gynecol. 1990, 162, 502–514. [Google Scholar] [CrossRef] [PubMed]
- Lee, E.; Horn-Ross, P.L.; Rull, R.P.; Neuhausen, S.L.; Anton-Culver, H.; Ursin, G.; Henderson, K.D.; Bernstein, L. Reproductive factors, exogenous hormones, and pancreatic cancer risk in the CTS. Am. J. Epidemiol. 2013, 178, 1403–1413. [Google Scholar] [CrossRef]
- Okui, T. An age-period-cohort analysis of the difference in smoking prevalence between urban and non-urban areas in Japan (2004–2019). Epidemiol. Health 2020, 42, e2020072. [Google Scholar] [CrossRef]
- Ghelichkhani, P.; Baikpour, M.; Mohammad, K.; Fattah, F.H.R.; Rezaei, N.; Ahmadi, N.; Kalaki, S.D.N.; Gubari, M.I.M.; Rafei, A.; Koohpayehzadeh, J.; et al. Age, Period and Cohort Analysis of Smoking Prevalence in Iranian Population over a 25-Year Period. Arch. Iran. Med. 2021, 24, 7–14. [Google Scholar] [CrossRef]
- Bosetti, C.; Lucenteforte, E.; Silverman, D.T.; Petersen, G.; Bracci, P.M.; Ji, B.T.; Negri, E.; Li, D.; Risch, H.A.; Olson, S.H.; et al. Cigarette smoking and pancreatic cancer: An analysis from the International Pancreatic Cancer Case-Control Consortium (Panc4). Ann. Oncol. 2012, 23, 1880–1888. [Google Scholar] [CrossRef] [PubMed]
- Sircar, N.R.; Yadav, A.; Bialous, S.A. Assessing sector representation of non-state actors within the World Health Organisation Framework Convention on Tobacco Control. Glob. Public Health 2021, 16, 1111–1121. [Google Scholar] [CrossRef]
- Kendall, A.D.; Hedeker, D.; Diviak, K.R.; Mermelstein, R.J. The Mood Boost from Tobacco Cigarettes is More Erratic with the Additions of Cannabis and Alcohol. Nicotine Tob. Res. 2022, 24, 1169–1176. [Google Scholar] [CrossRef] [PubMed]
- Bao, Y.; Giovannucci, E.; Fuchs, C.S.; Michaud, D.S. Passive smoking and pancreatic cancer in women: A prospective cohort study. Cancer Epidemiol. Biomark. Prev. 2009, 18, 2292–2296. [Google Scholar] [CrossRef]
- Zhou, J.; Wellenius, G.A.; Michaud, D.S. Environmental tobacco smoke and the risk of pancreatic cancer among non-smokers: A meta-analysis. Occup. Environ. Med. 2012, 69, 853–857. [Google Scholar] [CrossRef] [PubMed]
- Yadav, D.; Hawes, R.H.; Brand, R.E.; Anderson, M.A.; Money, M.E.; Banks, P.A.; Bishop, M.D.; Baillie, J.; Sherman, S.; DiSario, J.; et al. Alcohol consumption, cigarette smoking, and the risk of recurrent acute and chronic pancreatitis. Arch. Intern. Med. 2009, 169, 1035–1045. [Google Scholar] [CrossRef] [PubMed]







| Age-Standardized SEV Rate in 1990 | Age-Standardized SEV Rate in 2019 | ARC from 1990 to 2019 | |
|---|---|---|---|
| Global | 14.85 (13.27 to 16.56) | 11.14 (9.93 to 12.54) | −0.25 (−0.26 to −0.24) |
| Different SDI | |||
| High SDI | 21.17 (19.19 to 23.41) | 14.22 (12.71 to 15.94) | −0.33 (−0.35 to −0.31) |
| High-middle SDI | 16.73 (14.95 to 18.68) | 14.36 (12.85 to 16.11) | −0.14 (−0.16 to −0.13) |
| Middle SDI | 13.1 (11.53 to 14.76) | 10.73 (9.51 to 12.1) | −0.18 (−0.2 to −0.16) |
| Low-middle SDI | 10.76 (9.38 to 12.29) | 8.13 (7.07 to 9.34) | −0.24 (−0.26 to −0.22) |
| Low SDI | 6.28 (5.31 to 7.33) | 5.03 (4.24 to 5.93) | −0.2 (−0.22 to −0.18) |
| GBD Region | |||
| Andean Latin America | 4.9 (4.04 to 5.88) | 3.44 (2.76 to 4.22) | −0.3 (−0.34 to −0.25) |
| Australasia | 19.18 (16.89 to 21.83) | 11.92 (10.32 to 13.65) | −0.38 (−0.41 to −0.35) |
| Caribbean | 11.37 (9.96 to 12.88) | 8.8 (7.68 to 10.07) | −0.23 (−0.27 to −0.19) |
| Central Asia | 12.41 (11.02 to 13.93) | 10.77 (9.54 to 12.1) | −0.13 (−0.17 to −0.1) |
| Central Europe | 21.8 (19.4 to 24.43) | 17.7 (15.71 to 19.93) | −0.19 (−0.21 to −0.16) |
| Central Latin America | 10.5 (8.75 to 12.43) | 5.33 (4.38 to 6.45) | −0.49 (−0.53 to −0.46) |
| Central Sub-Saharan Africa | 4.45 (3.64 to 5.37) | 3.68 (3.03 to 4.42) | −0.17 (−0.23 to −0.11) |
| East Asia | 15.16 (13.46 to 16.95) | 14.43 (12.91 to 16.01) | −0.05 (−0.08 to −0.01) |
| Eastern Europe | 16.02 (13.99 to 18.26) | 17.38 (15.31 to 19.75) | 0.09 (0.04 to −0.13) |
| Eastern Sub-Saharan Africa | 4.8 (3.93 to 5.79) | 3.98 (3.24 to 4.81) | −0.17 (−0.2 to −0.14) |
| High-income Asia Pacific | 19.88 (17.79 to 22.21) | 13.38 (11.82 to 15.07) | −0.33 (−0.36 to −0.29) |
| High-income North America | 23.3 (21.18 to 25.56) | 14.41 (12.99 to 15.97) | −0.38 (−0.41 to −0.36) |
| North Africa and Middle East | 13.37 (12.08 to 14.78) | 11.61 (10.44 to 12.92) | −0.13 (−0.16 to −0.11) |
| Oceania | 11.95 (9.61 to 14.45) | 9.71 (7.69 to 11.98) | −0.19 (−0.28 to −0.09) |
| South Asia | 9.12 (7.79 to 10.55) | 6.32 (5.39 to 7.38) | −0.31 (−0.34 to −0.28) |
| Southeast Asia | 12.87 (11.13 to 14.86) | 11.04 (9.45 to 12.87) | −0.14 (−0.17 to −0.11) |
| Southern Latin America | 18.58 (16.01 to 21.39) | 14.49 (12.42 to 16.78) | −0.22 (−0.26 to −0.18) |
| Southern Sub-Saharan Africa | 13.55 (11.67 to 15.71) | 7.33 (6.21 to 8.63) | −0.46 (−0.49 to −0.42) |
| Tropical Latin America | 18.95 (16.62 to 21.55) | 9.27 (8.05 to 10.76) | −0.51 (−0.54 to −0.48) |
| Western Europe | 21.66 (19.47 to 24.18) | 16.11 (14.19 to 18.19) | −0.26 (−0.28 to −0.23) |
| Western Sub-Saharan Africa | 3.74 (3.09 to 4.47) | 3.15 (2.62 to 3.75) | −0.16 (−0.19 to −0.12) |
| Deaths in 1990 | ASDR in 1990 | Deaths in 2019 | ASDR in 2019 | |
|---|---|---|---|---|
| Global | ||||
| Both sex | 53,204 (47,828 to 58,737) | 1.42 (1.26 to 1.57) | 113,384 (98,830 to 128,466) | 1.40 (1.22 to 1.59) |
| Male | 32,166 (28,168 to 36,488) | 1.91 (1.66 to 2.17) | 72,682 (60,495 to 85,113) | 1.95 (1.62 to 2.29) |
| Female | 21,038 (17,427 to 24,318) | 1.02 (0.84 to 1.18) | 40,702 (32,751 to 48,753) | 0.93 (0.75 to 1.11) |
| Different SDI | ||||
| High SDI | 28,901 (25,403 to 32,273) | 2.72 (2.4 to 3.03) | 45,959 (39,751 to 52,864) | 2.37 (2.06 to 2.71) |
| High–middle SDI | 16,276 (14,422 to 18,107) | 1.53 (1.36 to 1.7) | 37,078 (32,078 to 42,315) | 1.8 (1.56 to 2.06) |
| Middle SDI | 5595 (4706 to 6530) | 0.58 (0.5 to 0.68) | 21,892 (18,083 to 26,237) | 0.91 (0.76 to 1.09) |
| Low–middle SDI | 1971 (1511 to 2482) | 0.37 (0.28 to 0.46) | 7062 (5851 to 8267) | 0.55 (0.46 to 0.64) |
| Low SDI | 442 (302 to 600) | 0.21 (0.15 to 0.28) | 1343 (1026 to 1667) | 0.29 (0.23 to 0.36) |
| GBD Region | ||||
| Andean Latin America | 40 (31 to 52) | 0.21 (0.16 to 0.27) | 217 (158 to 292) | 0.40 (0.29 to 0.53) |
| Australasia | 523 (457 to 589) | 2.2 (1.92 to 2.47) | 739 (621 to 877) | 1.48 (1.25 to 1.74) |
| Caribbean | 91 (78 to 104) | 0.36 (0.31 to 0.41) | 537 (430 to 659) | 1.04 (0.83 to 1.27) |
| Central Asia | 210 (177 to 247) | 0.45 (0.38 to 0.53) | 706 (598 to 826) | 0.99 (0.84 to 1.15) |
| Central Europe | 3753 (3329 to 4163) | 2.51 (2.22 to 2.77) | 6233 (5281 to 7340) | 2.89 (2.46 to 3.4) |
| Central Latin America | 743 (616 to 862) | 0.96 (0.8 to 1.1) | 1556 (1199 to 1988) | 0.68 (0.52 to 0.86) |
| Central Sub-Saharan Africa | 46 (28 to 68) | 0.21 (0.13 to 0.31) | 106 (68 to 150) | 0.21 (0.14 to 0.29) |
| East Asia | 5759 (4601 to 7098) | 0.69 (0.56 to 0.83) | 27,348 (21,521 to 33,938) | 1.33 (1.05 to 1.64) |
| Eastern Europe | 3936 (3371 to 4535) | 1.37 (1.17 to 1.58) | 6287 (5300 to 7409) | 1.82 (1.54 to 2.15) |
| Eastern Sub-Saharan Africa | 149 (101 to 203) | 0.22 (0.15 to 0.3) | 411 (286 to 549) | 0.29 (0.21 to 0.38) |
| High-income Asia Pacific | 5365 (4759 to 6026) | 2.68 (2.37 to 3.02) | 9007 (7614 to 10,401) | 1.92 (1.65 to 2.2) |
| High-income North America | 11,018 (9364 to 12,740) | 3.08 (2.62 to 3.54) | 17,315 (14,379 to 20,528) | 2.69 (2.26 to 3.17) |
| North Africa and Middle East | 1017 (811 to 1276) | 0.62 (0.49 to 0.77) | 4338 (3598 to 5209) | 1.06 (0.88 to 1.28) |
| Oceania | 11 (8 to 14) | 0.4 (0.3 to 0.52) | 29 (21 to 39) | 0.46 (0.34 to 0.6) |
| South Asia | 1290 (886 to 1731) | 0.27 (0.19 to 0.35) | 4788 (3639 to 5927) | 0.37 (0.29 to 0.45) |
| Southeast Asia | 1197 (984 to 1404) | 0.51 (0.42 to 0.59) | 4420 (3310 to 5837) | 0.78 (0.59 to 1.03) |
| Southern Latin America | 1178 (999 to 1343) | 2.54 (2.15 to 2.9) | 2199 (1867 to 2541) | 2.61 (2.22 to 3.02) |
| Southern Sub-Saharan Africa | 289 (226 to 377) | 1.12 (0.88 to 1.46) | 515 (414 to 619) | 0.98 (0.79 to 1.16) |
| Tropical Latin America | 1482 (1298 to 1667) | 1.75 (1.52 to 1.98) | 3211 (2710 to 3744) | 1.35 (1.13 to 1.57) |
| Western Europe | 14,973 (13,254 to 16,698) | 2.54 (2.25 to 2.82) | 22,993 (19,973 to 26,393) | 2.49 (2.18 to 2.84) |
| Western Sub-Saharan Africa | 135 (94 to 185) | 0.16 (0.12 to 0.22) | 429 (302 to 575) | 0.25 (0.18 to 0.33) |
| Location | AAPC and 95% CI (Death) | p Value | AAPC and 95% CI (DALY) | p Value |
|---|---|---|---|---|
| Global | −0.028 (−0.136 to 0.079) | 0.606 | −0.131 (−0.226 to −0.035) | 0.007 |
| SDI | ||||
| High SDI | −0.486 (−0.586 to −0.386) | p < 0.001 | −0.606 (−0.708 to −0.504) | p < 0.001 |
| High–middle SDI | 0.538 (0.401 to 0.676) | p < 0.001 | 0.368 (0.231 to 0.505) | p < 0.001 |
| Middle SDI | 1.532 (1.456 to 1.607) | p < 0.001 | 1.386 (1.316 to 1.456) | p < 0.001 |
| Low–middle SDI | 1.424 (1.208 to 1.639) | p < 0.001 | 1.362 (1.308 to 1.417) | p < 0.001 |
| Low SDI | 1.176 (1.086 to 1.266) | p < 0.001 | 1.071 (0.956 to 1.185) | p < 0.001 |
| GBD regions | ||||
| Andean Latin America | 2.288 (2.022 to 2.554) | p < 0.001 | 2.088 (1.787 to 2.39) | p < 0.001 |
| Australasia | −1.331 (−1.496 to −1.166) | p < 0.001 | −1.377 (−1.517 to −1.236) | p < 0.001 |
| Caribbean | 3.849 (3.31 to 4.391) | p < 0.001 | 3.785 (3.224 to 4.349) | p < 0.001 |
| Central Asia | 2.822 (2.39 to 3.257) | p < 0.001 | 2.558 (2.162 to 2.955) | p < 0.001 |
| Central Europe | 0.492 (0.33 to 0.655) | p < 0.001 | 0.354 (0.183 to 0.526) | p < 0.001 |
| Central Latin America | −1.193 (−1.482 to −0.903) | p < 0.001 | −1.246 (−1.505 to −0.986) | p < 0.001 |
| Central Sub-Saharan Africa | −0.019 (−0.22 to 0.182) | 0.853 | 0.004 (−0.205 to 0.214) | 0.969 |
| East Asia | 2.253 (2.009 to 2.497) | p < 0.001 | 2.052 (1.842 to 2.262) | p < 0.001 |
| Eastern Europe | 1.195 (0.569 to 1.824) | p < 0.001 | 0.949 (0.046 to 1.861) | 0.039 |
| Eastern Sub-Saharan Africa | 0.914 (0.779 to 1.049) | p < 0.001 | 0.872 (0.739 to 1.005) | p < 0.001 |
| High-income Asia Pacific | −1.149 (−1.27 to −1.027) | p < 0.001 | −1.267 (−1.377 to −1.156) | p < 0.001 |
| High-income North America | −0.452 (−0.609 to −0.294) | p < 0.001 | −0.641 (−0.837 to −0.446) | p < 0.001 |
| North Africa and Middle East | 1.874 (1.711 to 2.037) | p < 0.001 | 1.72 (1.53 to 1.91) | p < 0.001 |
| Oceania | 0.497 (0.38 to 0.615) | p < 0.001 | 0.451 (0.389 to 0.512) | p < 0.001 |
| South Asia | 1.211 (0.601 to 1.825) | p < 0.001 | 1.155 (0.961 to 1.35) | p < 0.001 |
| Southeast Asia | 1.522 (1.423 to 1.62) | p < 0.001 | 1.317 (1.198 to 1.435) | p < 0.001 |
| Southern Latin America | 0.146 (−0.075 to 0.367) | 0.195 | 0.005 (−0.174 to 0.184) | 0.954 |
| Southern Sub-Saharan Africa | −0.482 (−0.921 to −0.042) | 0.032 | −0.617 (−1.134 to −0.097) | 0.02 |
| Tropical Latin America | −0.89 (−1.044 to −0.736) | p < 0.001 | −0.955 (−1.111 to −0.799) | p < 0.001 |
| Western Europe | −0.068 (−0.206 to 0.07) | 0.333 | −0.156 (−0.297 to −0.014) | 0.031 |
| Western Sub-Saharan Africa | 1.517 (1.437 to 1.597) | p < 0.001 | 1.444 (1.314 to 1.574) | p < 0.001 |
Disclaimer/Publisher’s Note: The statements, opinions and data contained in all publications are solely those of the individual author(s) and contributor(s) and not of MDPI and/or the editor(s). MDPI and/or the editor(s) disclaim responsibility for any injury to people or property resulting from any ideas, methods, instructions or products referred to in the content. |
© 2023 by the authors. Licensee MDPI, Basel, Switzerland. This article is an open access article distributed under the terms and conditions of the Creative Commons Attribution (CC BY) license (https://creativecommons.org/licenses/by/4.0/).
Share and Cite
Jiang, W.; Xiang, C.; Du, Y.; Li, X.; Zhou, W. The Global, Regional and National Burden of Pancreatic Cancer Attributable to Smoking, 1990 to 2019: A Systematic Analysis from the Global Burden of Disease Study 2019. Int. J. Environ. Res. Public Health 2023, 20, 1552. https://doi.org/10.3390/ijerph20021552
Jiang W, Xiang C, Du Y, Li X, Zhou W. The Global, Regional and National Burden of Pancreatic Cancer Attributable to Smoking, 1990 to 2019: A Systematic Analysis from the Global Burden of Disease Study 2019. International Journal of Environmental Research and Public Health. 2023; 20(2):1552. https://doi.org/10.3390/ijerph20021552
Chicago/Turabian StyleJiang, Wenkai, Caifei Xiang, Yan Du, Xin Li, and Wence Zhou. 2023. "The Global, Regional and National Burden of Pancreatic Cancer Attributable to Smoking, 1990 to 2019: A Systematic Analysis from the Global Burden of Disease Study 2019" International Journal of Environmental Research and Public Health 20, no. 2: 1552. https://doi.org/10.3390/ijerph20021552
APA StyleJiang, W., Xiang, C., Du, Y., Li, X., & Zhou, W. (2023). The Global, Regional and National Burden of Pancreatic Cancer Attributable to Smoking, 1990 to 2019: A Systematic Analysis from the Global Burden of Disease Study 2019. International Journal of Environmental Research and Public Health, 20(2), 1552. https://doi.org/10.3390/ijerph20021552

