Sex Differences in Frailty Factors and Their Capacity to Identify Frailty in Older Adults Living in Long-Term Nursing Homes
Abstract
1. Introduction
2. Materials and Methods
2.1. Study Design and Participants
2.2. Variables Measured
2.3. Statistical Analysis
3. Results
3.1. Participant Characteristics
3.2. Associations of Health Parameters with Frailty
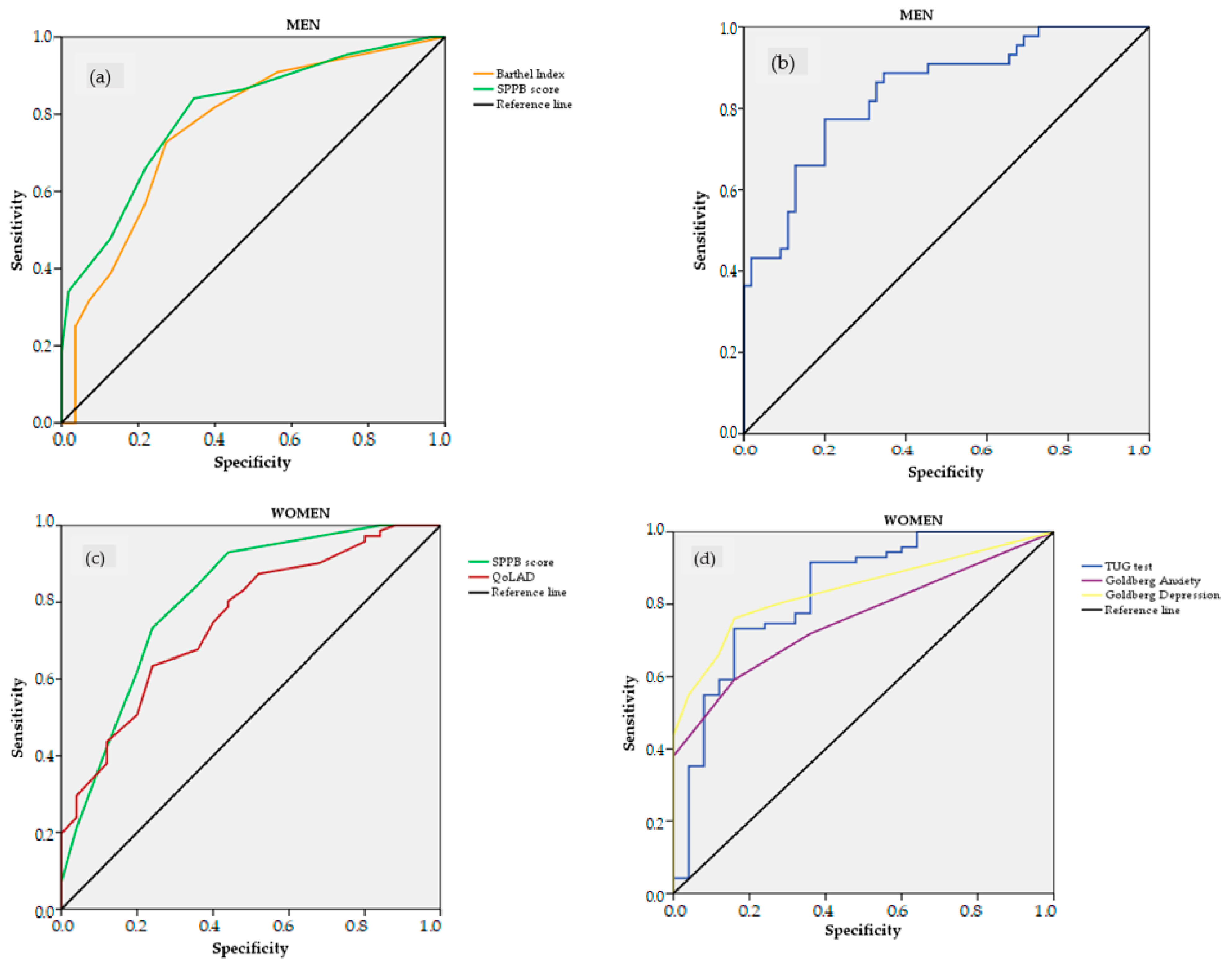
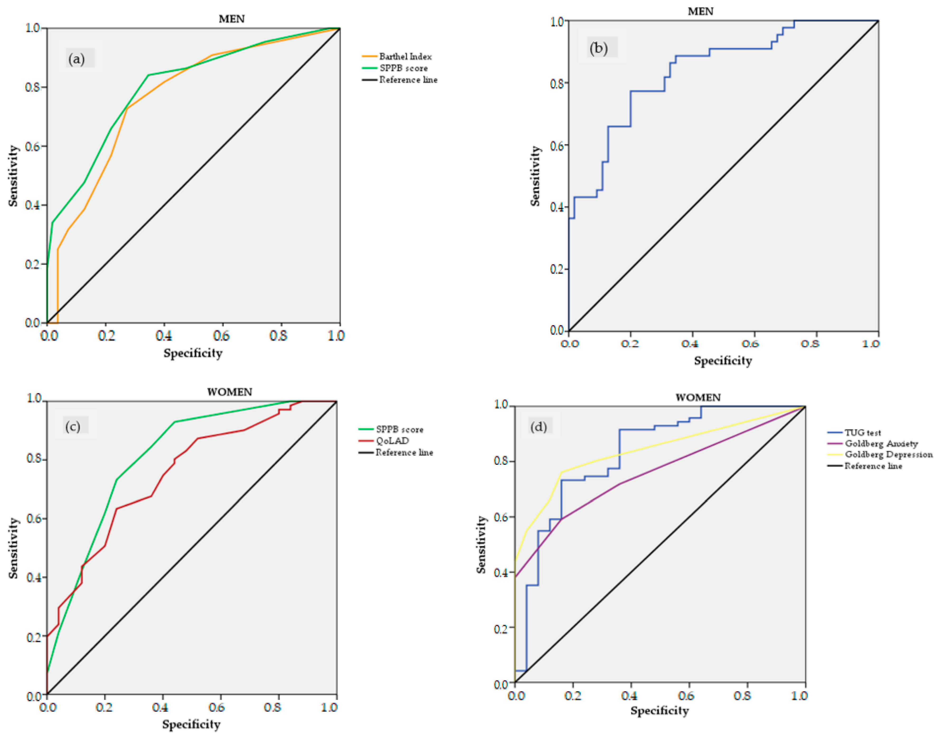
3.3. Capacity of Health Parameters to Identify Frailty
4. Discussion
5. Conclusions
Strength and Limitations
Supplementary Materials
Author Contributions
Funding
Institutional Review Board Statement
Informed Consent Statement
Data Availability Statement
Acknowledgments
Conflicts of Interest
References
- Rodríguez-Mañas, L.; Féart, C.; Mann, G.; Viña, J.; Chatterji, S.; Chodzko-Zajko, W.; Harmand, M.G.-C.; Bergman, H.; Carcaillon, L.; Nicholson, C.; et al. Searching for an Operational Definition of Frailty: A Delphi Method Based Consensus Statement. The Frailty Operative Defi nition-Consensus Conference Project. J. Gerontol. A Biol. Sci. Med. Sci. 2013, 68, 62–67. [Google Scholar] [CrossRef] [PubMed]
- Serra-Prat, M.; Sist, X.; Saiz, A.; Jurado, L.; Domenich, R.; Roces, A.; Papiol, M. Clinical and functional characterization of pre-frailty among elderly patients consulting primary care centres. J. Nutr. Health Aging 2016, 20, 653–658. [Google Scholar] [CrossRef] [PubMed]
- Murray, C.J.L.; Lopez, A.D. Measuring the Global Burden of Disease. N. Engl. J. Med. 2013, 369, 448–457. [Google Scholar] [CrossRef] [PubMed]
- Hendry, A.; Carriazo, A.M.; Vanhecke, E.; Rodríguez-Laso, Á. Integrated care: A collaborative advantage for frailty. Int. J. Integr. Care 2018, 18, 1–4. [Google Scholar] [CrossRef]
- Pilotto, A.; Custodero, C.; Maggi, S.; Polidori, M.C.; Veronese, N.; Ferrucci, L. A multidimensional approach to frailty in older people. Ageing Res. Rev. 2020, 60, 101047. [Google Scholar] [CrossRef] [PubMed]
- Fried, L.P.; Tangen, C.M.; Walston, J.; Newman, A.B.; Hirsch, C.; Gottdiener, J.; Seeman, T.; Tracy, R.; Kop, W.J.; Burke, G.; et al. Frailty in Older Adults: Evidence for a Phenotype. J. Gerontol. A Biol. Sci. Med. Sci. 2001, 56, 146–156. [Google Scholar] [CrossRef] [PubMed]
- Mitnitski, A.B.; Mogilner, A.J.; Rockwood, K. Accumulation of Deficits as a Proxy Measure of Aging. Sci. World J. 2001, 1, 323–336. [Google Scholar] [CrossRef]
- Theou, O.; Brothers, T.; Peña, F.; Mitnitski, A.; Rockwood, K. Identifying common characteristics of frailty across seven scales. J. Am. Geriatr. Soc. 2014, 62, 901–906. [Google Scholar] [CrossRef]
- Romero-Ortuno, R.; Walsh, C.D.; Lawlor, B.A.; Kenny, R.A. A Frailty Instrument for primary care: Findings from the Survey of Health, Ageing and Retirement in Europe (SHARE). BMC Geriatr. 2010, 10, 57. [Google Scholar] [CrossRef]
- Danilovich, M.K.; Diaz, L.; Corcos, D.M.; Ciolino, J.D. Relationship between SHARE-FI frailty scores and physical performance measures in older adult medicaid recipients. Geriatrics 2018, 3, 51. [Google Scholar] [CrossRef]
- Danilovich, M.K.; Diaz, L.; Johnson, C.; Holt, E.; Ciolino, J.D. Evaluating frailty in Medicaid Home and Community-based Services clients: A feasibility and comparison study between the SHARE-FI and SPPB. Pilot Feasibility Stud. 2019, 5, 1–6. [Google Scholar] [CrossRef] [PubMed]
- de Sanidad, M. Actualización del Documento de Consenso Sobre Prevención de la Fragilidad en la Persona Mayor; Ministry of Health, Social Services and Equality Paseo del Prado Publications Center: Madrid, Spain, 2022; pp. 1–69. [Google Scholar]
- Oviedo-Briones, M.; Rodríguez-Laso, Á.; Carnicero, J.A.; Gryglewska, B.; Sinclair, A.J.; Landi, F.; Vellas, B.; Artalejo, F.R.; Checa-López, M.; Rodriguez-Mañas, L. The ability of eight frailty instruments to identify adverse outcomes across different settings: The FRAILTOOLS project. J. Cachexia Sarcopenia Muscle 2022, 13, 1487–1501. [Google Scholar] [CrossRef] [PubMed]
- Daly, R.M.; Iuliano, S.; Fyfe, J.J.; Scott, D.; Kirk, B.; Thompson, M.Q.; Dent, E.; Fetterplace, K.; Wright, O.R.L.; Lynch, G.S.; et al. Screening, Diagnosis and Management of Sarcopenia and Frailty in Hospitalized Older Adults: Recommendations from the Australian and New Zealand Society for Sarcopenia and Frailty Research (ANZSSFR) Expert Working Group. J. Nutr. Health Aging 2022, 26, 637–651. [Google Scholar] [CrossRef]
- Theou, O.; Rockwood, K. Should frailty status always be considered when treating the elderly patient? Aging Health 2012, 8, 261–271. [Google Scholar] [CrossRef]
- Kojima, G. Prevalence of Frailty in Nursing Homes: A Systematic Review and Meta-Analysis. J. Am. Med. Dir. Assoc. 2015, 16, 940–945. [Google Scholar] [CrossRef] [PubMed]
- Rohrmann, S. Epidemiology of frailty in older people. Adv. Exp. Med. Biol. 2020, 1216, 21–27. [Google Scholar] [CrossRef] [PubMed]
- Kojima, G. Frailty as a Predictor of Future Falls among Community-Dwelling Older People: A Systematic Review and Meta-Analysis. J. Am. Med. Dir. Assoc. 2015, 16, 1027–1033. [Google Scholar] [CrossRef]
- Kojima, G. Frailty as a Predictor of Nursing Home Placement among Community-Dwelling Older Adults: A Systematic Review and Meta-analysis. J. Geriatr. Phys. Ther. 2018, 41, 42–48. [Google Scholar] [CrossRef]
- Gordon, E.H.; Peel, N.M.; Samanta, M.; Theou, O.; Howlett, S.E.; Hubbard, R.E. Sex differences in frailty: A systematic review and meta-analysis. Exp. Gerontol. 2017, 89, 30–40. [Google Scholar] [CrossRef]
- Manfredi, G.; Midão, L.; Paúl, C.; Cena, C.; Duarte, M.; Costa, E. Prevalence of frailty status among the European elderly population: Findings from the Survey of Health, Aging and Retirement in Europe. Geriatr. Gerontol. Int. 2019, 19, 723–729. [Google Scholar] [CrossRef]
- Carrasco-Ribelles, L.A.; Roso-Llorach, A.; Cabrera-Bean, M.; Costa-Garrido, A.; Zabaleta-Del-Olmo, E.; Toran-Monserrat, P.; Pernas, F.O.; Violán, C. Dynamics of multimorbidity and frailty, and their contribution to mortality, nursing home and home care need: A primary care cohort of 1 456 052 ageing people. eClinicalMedicine 2022, 52, 101610. [Google Scholar] [CrossRef] [PubMed]
- Hoogendijk, E.O.; Afilalo, J.; Ensrud, K.E.; Kowal, P.; Onder, G.; Fried, L.P. Frailty: Implications for clinical practice and public health. Lancet 2019, 394, 1365–1375. [Google Scholar] [CrossRef]
- Herr, M.; Cesari, M.; Landre, B.; Ankri, J.; Vellas, B.; Andrieu, S. Factors associated with changes of the frailty status after age 70: Findings in the MAPT study. Ann. Epidemiol. 2019, 34, 65–70. [Google Scholar] [CrossRef] [PubMed]
- Mielke, N.; Schneider, A.; Huscher, D.; Ebert, N.; Schaeffner, E. Gender differences in frailty transition and its prediction in community-dwelling old adults. Sci. Rep. 2022, 12, 7341. [Google Scholar] [CrossRef] [PubMed]
- Clegg, A.; Young, J.; Iliffe, S.; Rikkert, M.O.; Rockwood, K. Frailty in Elderly. Lancet 2014, 381, 752–762. [Google Scholar] [CrossRef]
- Mahoney, F.; Barthel, D. Functional evaluation: The Barthel Index. A simple index of independence useful in scoring improvement in the rehabilitation of the chronically ill. Md. State Med. J. 1965, 14, 56–61. [Google Scholar] [CrossRef][Green Version]
- Lobo, A.; Saz, P.; Marcos, G.; Día, J.L.; de la Cámara, C.; Ventura, T.; Morales Asín, F.; Fernando Pascual, L.; Montañés, J.Á.; Aznar, S. Revalidación Y Normalización Del Mini-Examen Cognoscitivo (Primera Versión En Castellano Del Mini-Mental Status Examination) En La Población General Geriátrica. Med. Clin. 1999, 112, 767–774. [Google Scholar]
- Gobbens, R.J.; van Assen, M.A.; Luijkx, K.G.; Wijnen-Sponselee, M.T.; Schols, J.M. The Tilburg Frailty Indicator: Psychometric properties. J. Am. Med. Dir. Assoc. 2010, 11, 344–355. [Google Scholar] [CrossRef]
- Zhang, X.; Tan, S.S.; Bilajac, L.; Alhambra-Borrás, T.; Garcés-Ferrer, J.; Verma, A.; Koppelaar, E.; Markaki, A.; Mattace-Raso, F.; Franse, C.B.; et al. Reliability and Validity of the Tilburg Frailty Indicator in 5 European Countries. J. Am. Med. Dir. Assoc. 2020, 21, 772–779.e6. [Google Scholar] [CrossRef]
- Bohannon, R.W. Reference Values for the Timed Up and Go Test: A Descriptive Meta-Analysis. J. Geriatr. Phys. Ther. 2006, 29, 64–68. [Google Scholar] [CrossRef]
- Guralnik, J.M.; Ferrucci, L.; Pieper, C.F.; Leveille, S.G.; Markides, K.S.; Ostir, G.V.; Studenski, S.; Berkman, L.F.; Wallace, R.B. Lower extremity function and subsequent disability: Consistency across studies, predictive models, and value of gait speed alone compared with the Short Physical Performance Battery. J. Gerontol. Ser. A Biol. Sci. Med. Sci. 2000, 55, M221–M231. [Google Scholar] [CrossRef] [PubMed]
- Goldberg, D.; Bridges, K.; Duncan-Jones, P.; Grayson, D. Detecting anxiety and depression in general medical settings. BMJ 1988, 297, 897–899. [Google Scholar] [CrossRef]
- Logsdon, R.G.; Gibbons, L.E.; McCurry, S.M.; Teri, L. Assessing Quality of Life in Older Adults with Cognitive Impairment. Psychosom. Med. 2002, 64, 510–519. [Google Scholar] [CrossRef] [PubMed]
- Gómez-Gallego, M.; Gómez-Amor, J.; Gómez-García, J. Validación de la versión española de la escala QoL-AD en pacientes con enfermedad de Alzheimer, cuidadores y profesionales sanitarios. Neurologia 2012, 27, 4–10. [Google Scholar] [CrossRef]
- Dawson, B.; Trapp, R. Basic & Clinical Biostatistics, 4th ed.; McGraw-Hill Companies: New York, NY, USA, 2004. [Google Scholar]
- Mandrekar, J.N. Receiver operating characteristic curve in diagnostic test assessment. J. Thorac. Oncol. 2010, 5, 1315–1316. [Google Scholar] [CrossRef] [PubMed]
- Youden, W.J. Index for rating diagnostic tests. Cancer 1950, 3, 32–35. [Google Scholar] [CrossRef]
- Martin, F.C.; O’Halloran, A.M. Tools for Assessing Frailty in Older People: General Concepts. Adv. Exp. Med. Biol. 2020, 1216, 9–19. [Google Scholar] [CrossRef]
- Buckinx, F.; Reginster, J.-Y.; Gillain, S.; Petermans, J.; Brunois, T.; Bruyère, O. Prevalence of Frailty in Nursing Home Residents According to Various Diagnostic Tools. J. Frailty Aging 2017, 6, 122–128. [Google Scholar] [CrossRef] [PubMed]
- Collard, R.M.; Boter, H.; Schoevers, R.A.; Voshaar, R.O. Prevalence of frailty in community-dwelling older persons: A systematic review. J. Am. Geriatr. Soc. 2012, 60, 1487–1492. [Google Scholar] [CrossRef]
- Geronikola, N.; Zalonis, I.; Ntanasi, E.; Charisis, S.; Kosmidis, M.H.; Anastasiou, C.A.; Dardiotis, E.; Hadjigeorgiou, G.; Megalou, M.; Velonakis, G.; et al. Sex Differences in Frailty Incidence in Greek Community-Dwelling Older People: The HELIAD Study. J. Frailty Aging 2022, 11, 250–255. [Google Scholar] [CrossRef]
- Palomo, I.; García, F.; Albala, C.; Wehinger, S.; Fuentes, M.; Alarcón, M.; Arauna, D.; Montecino, H.; Mendez, D.; Sepúlveda, M.; et al. Characterization by Gender of Frailty Syndrome in Elderly People according to Frail Trait Scale and Fried Frailty Phenotype. J. Pers. Med. 2022, 12, 712. [Google Scholar] [CrossRef] [PubMed]
- Gutman, G.M.; Stark, A.; Donald, A.; Beattie, B.L. Contribution of self-reported health ratings to predicting frailty, institutionalization, and death over a 5-year period. Int. Psychogeriatr. 2001, 13, 231. [Google Scholar] [CrossRef] [PubMed]
- Kulminski, A.; Yashin, A.; Arbeev, K.; Akushevich, I.; Ukraintseva, S.; Land, K.; Manton, K. Cumulative index of health disorders as an indicator of aging-associated processes in the elderly: Results from analyses of the National Long Term Care Survey. Mech. Ageing Dev. 2007, 128, 250–258. [Google Scholar] [CrossRef] [PubMed]
- Kulminski, A.; Ukraintseva, S.V.; Akushevich, I.; Arbeev, K.G.; Land, K.; Yashin, A.I. Accelerated accumulation of health deficits as a characteristic of aging. Exp. Gerontol. 2007, 42, 936–970. [Google Scholar] [CrossRef][Green Version]
- Gu, D.; Dupre, M.E.; Sautter, J.; Zhu, H.; Liu, Y.; Yi, Z. Frailty and mortality among chinese at advanced ages. J. Gerontol. Soc. Sci. 2009, 64, 279–289. [Google Scholar] [CrossRef]
- Aguayo, G.A.; Donneau, A.-F.; Vaillant, M.T.; Schritz, A.; Franco, O.H.; Stranges, S.; Malisoux, L.; Guillaume, M.; Witte, D.R. Practice of Epidemiology Agreement Between 35 Published Frailty Scores in the General Population. Am. J. Epidemiol. 2017, 186, 420–434. [Google Scholar] [CrossRef]
- Howlett, S.E.; Rockwood, M.R.; Mitnitski, A.; Rockwood, K. Standard laboratory tests to identify older adults at increased risk of death. BMC Geriatr. 2014, 12, 171. [Google Scholar] [CrossRef]
- Ambagtsheer, R.C.; Beilby, J.; Seiboth, C.; Dent, E. Prevalence and associations of frailty in residents of Australian aged care facilities: Findings from a retrospective cohort study. Aging Clin. Exp. Res. 2020, 32, 1849–1856. [Google Scholar] [CrossRef]
- Ge, F.; Liu, M.; Tang, S.; Lu, Y.; Szanton, S.L. Assessing Frailty in Chinese Nursing Home Older Adults: A Comparison between the Frail-NH Scale and Frailty Index. J. Nutr. Health Aging 2019, 23, 291–298. [Google Scholar] [CrossRef]
- Kane, A.E.; Howlett, S.E. Sex differences in frailty: Comparisons between humans and preclinical models. Mech. Ageing Dev. 2021, 198, 111546. [Google Scholar] [CrossRef]
- Buta, B.J.; Walston, J.D.; Godino, J.G.; Park, M.; Kalyani, R.R.; Xue, Q.-L.; Bandeen-Roche, K.; Varadhan, R. Frailty assessment instruments: Systematic characterization of the uses and contexts of highly-cited instruments HHS Public Access. Ageing Res. Rev. 2016, 26, 53–61. [Google Scholar] [CrossRef] [PubMed]
- Bouillon, K.; Kivimaki, M.; Hamer, M.; Sabia, S.; I Fransson, E.; Singh-Manoux, A.; Gale, C.R.; Batty, G.D. Measures of frailty in population-based studies: An overview. BMC Geriatr. 2013, 13, 64. [Google Scholar] [CrossRef] [PubMed]
- Azara, A.; Castiglia, P.; Piana, A.; Masia, M.D.; Palmieri, A.; Arru, B.; Maida, G.; Dettori, M. Frailty screening and assessment tools: A review of characteristics and use in public health. Ann. Ig. 2018, 30, 128–139. [Google Scholar] [CrossRef]
- Galluzzo, L.; Noale, M.; Maggi, S.; Feraldi, A.; Baldereschi, M.; Di Carlo, A.; Onder, G.; ILSA Working Group. Frailty Prevalence, Incidence, and Association with Incident Disability in the Italian Longitudinal Study on Aging. Gerontology 2022, 22, 1–12. [Google Scholar] [CrossRef] [PubMed]
- Arrieta, H.; Rezola-Pardo, C.; Sanz, B.; Virgala, J.; Lacunza-Zumeta, M.; Rodriguez-Larrad, A.; Irazusta, J. Improving the Identification of Frailty in Long-Term Care Residents: A Cross-Sectional Study. Biol. Res. Nurs. 2022, 24, 530–540. [Google Scholar] [CrossRef]
- Marconcin, P.; Barak, S.; Ferrari, G.; Gouveia, R.; Nascimento, M.D.M.; Willig, R.; Varela, M.; Marques, A. Prevalence of Frailty and Its Association with Depressive Symptoms among European Older Adults from 17 Countries: A 5-Year Longitudinal Study. Int. J. Environ. Res. Public Health 2022, 19, 14055. [Google Scholar] [CrossRef]
- Mhaoláin, A.M.N.; Fan, C.W.; Romero-Ortuno, R.; Cogan, L.; Cunningham, C.; Kenny, R.-A.; Lawlor, B. Frailty, depression, and anxiety in later life. Int. Psychogeriatr. 2012, 24, 1265–1274. [Google Scholar] [CrossRef]
- Pritchard, J.M.; Kennedy, C.C.; Karampatos, S.; Ioannidis, G.; Misiaszek, B.; Marr, S.; Patterson, C.; Woo, T.; Papaioannou, A. Measuring frailty in clinical practice: A comparison of physical frailty assessment methods in a geriatric out-patient clinic. BMC Geriatr. 2017, 17, 264. [Google Scholar] [CrossRef]
- Whitesides, L.; Lynn, J. The Psychosocial Effects of Frailty on Women. Clin. Geriatr. Med. 2021, 37, 543–552. [Google Scholar] [CrossRef]
- Gobbens, R.J.; Uchmanowicz, I. Assessing frailty with the tilburg frailty indicator (TFI): A review of reliability and validity. Clin. Interv. Aging 2021, 16, 863–875. [Google Scholar] [CrossRef]
- Bessa, B.; Coelho, T.; Ribeiro, Ó. Social frailty dimensions and frailty models over time. Arch. Gerontol. Geriatr. 2021, 97, 104515. [Google Scholar] [CrossRef] [PubMed]
- Ayers, E.; Shapiro, M.; Holtzer, R.; Barzilai, N.; Milman, S.; Verghese, J. Symptoms of apathy independently predict incident frailty and disability in community-dwelling older adults. J. Clin. Psychiatry 2017, 78, 529–536. [Google Scholar] [CrossRef] [PubMed]
- Buigues, C.; Padilla-Sánchez, C.; Garrido, J. The relationship between depression and frailty syndrome: A systematic review. Aging Ment. Health 2015, 19, 762–772. [Google Scholar] [CrossRef] [PubMed]
- Riskowski, J.; Hagedorn, T.; Dufour, A.; Hannan, M. Functional foot symmetry and its relation to lower extremity physical performance in older adults: The Framingham Foot Study. J. Biomech. 2012, 45, 1796–1802. [Google Scholar] [CrossRef] [PubMed]




| Total (Mean ± SD) n = 199 | Men (Mean + SD) n = 100 | Women (Mean + SD) n = 99 | |
|---|---|---|---|
| Age (years) | 85.41 ± 6.51 | 84.24 ± 6.83 | 86.60 ± 5.97 |
| Barthel Index (range: 0–100) | 80.38 ± 15.13 | 85.95 ± 13.57 *** | 74.75 ± 14.59 |
| TUG test (s) | 26.10 ± 14.41 | 22.44 ± 13.71 *** | 29.80 ± 14.22 |
| SPPB (range: 0–12) | 6.04 ± 2.71 | 7.04 ± 2.51 *** | 5.02 ± 2.52 |
| Goldberg Anxiety (range: 0–9) | 1.73 ± 2.40 | 1.16 ± 1.77 ** | 2.32 ± 2.80 |
| Goldberg Depression (range: 0–9) | 2.30 ± 2.64 | 1.59 ± 2.20 *** | 3.02 ± 2.85 |
| QoLAD (range: 13–52) | 32.19 ± 6.47 | 33.69 ± 5.82 *** | 30.63 ± 6.75 |
| FFP score (range: 0–5) | 2.77 ± 1.37 | 2.25 ± 1.26 *** | 3.29 ± 1.28 |
| Frail by FFP, n (%) | 117 (58.79) | 43 (43) | 75 (75.25) |
| TFI score (range: 0–15) | 5.28 ± 3.11 | 4.64 ± 2.70 ** | 5.90 ± 3.38 |
| Frail by TFI, n (%) | 113 (56.78) | 50 (50) | 63 (63.64) |
| Fried Frailty Phenotype (FFP) | Tilburg Frailty Indicator (TFI) | |||
|---|---|---|---|---|
| Men OR (95% CI) | Women OR (95% CI) | Men OR (95% CI) | Women OR (95% CI) | |
| Barthel Index | 0.930 (0.896–0.965) * | 0.987 (0.956–1.019) | 0.947 (0.916–0.980) * | 0.975 (0.947–1.005) |
| TUG test | 1.205 (1.112–1.305) * | 1.143 (1.066–1.225) * | 1.025 (0.992–1.060) | 1.047 (1.007–1.088) * |
| SPPB | 0.570 (0.450–0.723) * | 0.572 (0.440–0.735) * | 0.836 (0.708–0.986) * | 0.779 (0.652–0.931) * |
| Goldberg Anxiety | 1.214 (0.953–1.546) | 2.000 (1.254–3.189) * | 3.040 (1.742–5.306) * | 2.063 (1.373–3.100) * |
| Goldberg Depression | 1.265 (1.042–1.536) * | 2.043 (1.429–2.921) * | 2.248 (1.580–3.200) * | 1.995 (1.498–2.659) * |
| QoLAD | 0.914 (0.849–0.984) * | 0.866 (0.803–0.935) * | 0.869 (0.802–0.942) * | 0.885 (0.825–0.950) * |
| Fried Frailty Phenotype (FFP) | ||||||||||||||
| Men | Women | |||||||||||||
| AUC | Cut-Off Point | Youden Index | Sensitivity | Specificity | p-Value | 95% CI | AUC | Cut-Off Point | Youden Index | Sensitivity | Specificity | p-Value | 95% CI | |
| Barthel Index | 0.764 | 87.50 | 0.442 | 0.714 | 0.727 | <0.001 | 0.670–0.859 | - | - | - | - | - | - | - |
| TUG test | 0.840 | 20.68 | 0.573 | 0.800 | 0.773 | <0.001 | 0.763–0.918 | 0.831 | 24.83 | 0.572 | 0.840 | 0.732 | <0.001 | 0.731–0.931 |
| SPPB | 0.802 | 7.50 | 0.495 | 0.841 | 0.655 | <0.001 | 0.715–0.890 | 0.811 | 5.50 | 0.499 | 0.739 | 0.760 | <0.001 | 0.705–0.917 |
| Goldberg Anxiety | - | - | - | - | - | - | - | 0.759 | 1.5 | 0.432 | 0.840 | 0.592 | <0.001 | 0.663–0.854 |
| Goldberg Depression | - | - | - | - | - | 0.839 | 1.5 | 0.601 | 0.840 | 0.761 | <0.001 | 0.761–0.918 | ||
| QoLAD | - | - | - | - | - | - | 0.753 | 29.50 | 0.422 | 0.662 | 0.760 | <0.001 | 0.646–0.860 | |
| Tilburg Frailty Indicator (TFI) | ||||||||||||||
| AUC | Cut-off point | Youden index | Sensitivity | Specificity | p-value | 95% CI | AUC | Cut-off point | Youden index | Sensitivity | Specificity | p-value | 95% CI | |
| Barthel Index | - | - | - | - | - | - | - | - | - | - | - | - | - | - |
| TUG test | - | - | - | - | - | - | - | - | - | - | - | - | - | - |
| SPPB | - | - | - | - | - | - | - | - | - | - | - | - | - | |
| Goldberg Anxiety | 0.762 | 1.50 | 0.430 | 0.940 | 0.490 | 0.016 | 0.666–0.858 | 0.782 | 1.50 | 0.423 | 0.794 | 0.629 | 0.005 | 0.692–0.872 |
| Goldberg Depression | 0.789 | 0.50 | 0.493 | 0.820 | 0.673 | 0.005 | 0.697–0.882 | 0.858 | 1.50 | 0.617 | 0.794 | 0.823 | <0.001 | 0.782–0.934 |
| QoLAD | 0.705 | 34.50 | 0.380 | 0.700 | 0.680 | <0.001 | 0.601–0.810 | 0.732 | 29.50 | 0.386 | 0.672 | 0.714 | <0.001 | 0.632–0.831 |
| Fried Frailty Phenotype (FFP) | Tilburg Frailty Indicator (TFI) | |||
|---|---|---|---|---|
| Men | Women | Men | Women | |
| Excellent | TUG test SPPB score | TUG test SPPB score Goldberg Depression | - | Goldberg Depression |
| Acceptable | Barthel Index | QoLAD Goldberg Anxiety | QoLAD Goldberg Anxiety Goldberg Depression | QoLAD Goldberg Anxiety |
Disclaimer/Publisher’s Note: The statements, opinions and data contained in all publications are solely those of the individual author(s) and contributor(s) and not of MDPI and/or the editor(s). MDPI and/or the editor(s) disclaim responsibility for any injury to people or property resulting from any ideas, methods, instructions or products referred to in the content. |
© 2022 by the authors. Licensee MDPI, Basel, Switzerland. This article is an open access article distributed under the terms and conditions of the Creative Commons Attribution (CC BY) license (https://creativecommons.org/licenses/by/4.0/).
Share and Cite
Arizaga-Iribarren, N.; Irazusta, A.; Mugica-Errazquin, I.; Virgala-García, J.; Amonarraiz, A.; Kortajarena, M. Sex Differences in Frailty Factors and Their Capacity to Identify Frailty in Older Adults Living in Long-Term Nursing Homes. Int. J. Environ. Res. Public Health 2023, 20, 54. https://doi.org/10.3390/ijerph20010054
Arizaga-Iribarren N, Irazusta A, Mugica-Errazquin I, Virgala-García J, Amonarraiz A, Kortajarena M. Sex Differences in Frailty Factors and Their Capacity to Identify Frailty in Older Adults Living in Long-Term Nursing Homes. International Journal of Environmental Research and Public Health. 2023; 20(1):54. https://doi.org/10.3390/ijerph20010054
Chicago/Turabian StyleArizaga-Iribarren, Nagore, Amaia Irazusta, Itxaso Mugica-Errazquin, Janire Virgala-García, Arantxa Amonarraiz, and Maider Kortajarena. 2023. "Sex Differences in Frailty Factors and Their Capacity to Identify Frailty in Older Adults Living in Long-Term Nursing Homes" International Journal of Environmental Research and Public Health 20, no. 1: 54. https://doi.org/10.3390/ijerph20010054
APA StyleArizaga-Iribarren, N., Irazusta, A., Mugica-Errazquin, I., Virgala-García, J., Amonarraiz, A., & Kortajarena, M. (2023). Sex Differences in Frailty Factors and Their Capacity to Identify Frailty in Older Adults Living in Long-Term Nursing Homes. International Journal of Environmental Research and Public Health, 20(1), 54. https://doi.org/10.3390/ijerph20010054

