Effect of Village Informal Institutions and Cadre-Mass Relationship for Farmers’ Participation in Rural Residential Environment Governance in China
Abstract
1. Introduction
2. Theoretical Framework and Research Hypothesis
2.1. Theoretical Framework
2.2. Research Hypothesis
3. Materials and Methods
3.1. Data Sources
3.2. Variable Selection and Descriptive Statistics
3.3. Methods
4. Results
4.1. The Influence of Informal Institutions and CMR on Farmers’ Participation in RRE
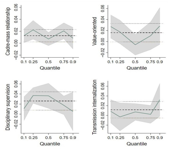
4.2. Results of Quantile Regression
4.3. Analysis of the Interactive Influence of Informal Institutions and CMR on Farmers’ Participation in RRE
4.4. Endogeneity Problem
5. Discussion
6. Conclusions
Author Contributions
Funding
Institutional Review Board Statement
Informed Consent Statement
Data Availability Statement
Acknowledgments
Conflicts of Interest
References
- Branca, G.; Branca, G.; Hissa, H.; Benez, M.C.; Medeiros, K.; Lipper, L.; Tinlot, M.; Bockel, L.; Bernoux, M. Capturing synergies between rural development and agricultural mitigation in Brazil. Land Use Pol. 2013, 30, 507–518. [Google Scholar] [CrossRef]
- Venot, J.P.; Clement, F. Justice in development? An analysis of water interventions in the rural South. Nat. Resour. Forum 2013, 37, 19–30. [Google Scholar] [CrossRef]
- McGill, R. Making towns work: Habitat III—What relevance? Plan. Theory Pract. 2018, 19, 140–148. [Google Scholar] [CrossRef]
- Zhang, J.; Yuan, X.D.; Tan, X.P.; Zhang, X. Delineation of the Urban-Rural Boundary through Data Fusion: Applications to Improve Urban and Rural Environments and Promote Intensive and Healthy Urban Development. Int. J. Environ. Res. Public Health 2021, 18, 7180. [Google Scholar] [CrossRef]
- Zhang, M.; Wang, L.J.; Ma, P.P.; Wang, W.W. Urban-rural income gap and air pollution: A stumbling block or stepping stone. Environ. Impact Assess. Rev. 2022, 94, 106758. [Google Scholar] [CrossRef]
- Xi, B.D.; Li, X.G.; Gao, J.X.; Zhao, Y.; Liu, H.L.; Xia, X.F.; Yang, T.X.; Zhang, L.Y.; Jia, X. Review of challenges and strategies for balanced urban-rural environmental protection in China. Front. Env. Sci. Eng. 2015, 9, 371–384. [Google Scholar] [CrossRef]
- Jin, X.; Zuo, X.; Dong, X.; Dong, Y.; Ding, H. Analysis of the policy guarantee mechanism of rural infrastructure based on deep learning. Technol. Forecast. Soc. Chang. 2021, 166, 120605. [Google Scholar] [CrossRef]
- Yusheng, K.; Ntarmah, A.H. Developing a rural ecological assessment index for Jiangsu Province, China. J. Nat. Conserv. 2021, 64, 126093. [Google Scholar] [CrossRef]
- Zhang, H.; Guixia, X. Changes of policies in relation to rural human settlement environment governance in China:Characteristics and evolution. J. Arid Land Resour. Environ. 2022, 36, 8–15. [Google Scholar] [CrossRef]
- Yu, F.; Wang, B.; Yu, T. Study on the countermeasures of improving rural Human Settlements in the 14th Five-Year Plan Period. In Report on the Development of Rural Human Settlements in China; Social Sciences Academic Press: Beijing, China, 2021. [Google Scholar]
- Leng, B. Overdensification of the Rural Human Settlement Environment Governance and Its Explanation. Inn. Mongolia Soc. Sci. 2022, 43, 156–162. [Google Scholar] [CrossRef]
- Zhang, T.T.; He, D.; Kuang, T.; Chen, K. Effect of Rural Human Settlement Environment around Nature Reserves on Farmers’ Well-Being: A Field Survey Based on 1002 Farmer Households around Six Nature Reserves in China. Int. J. Environ. Res. Public Health 2022, 19, 6447. [Google Scholar] [CrossRef] [PubMed]
- Du, Y.; Liu, N.; Chen, L. An Analysis of Farmers’ Collective Inaction in Rural Environmental Governance and Its Turning Logic. China Rural Surv. 2021, 02, 81–96. [Google Scholar]
- Liu, D.; Gong, Q. Promoting Farmers’ Participation in Rural Settlement Environment Improvement Programmes: Evidence from China. Int. J. Environ. Res. Public Health 2022, 19, 8585. [Google Scholar] [CrossRef] [PubMed]
- Meng, F.; Chen, H.; Yu, Z.; Xiao, W.; Tan, Y. What Drives Farmers to Participate in Rural Environmental Governance? Evidence from Villages in Sandu Town, Eastern China. Sustainability 2022, 14, 3394. [Google Scholar] [CrossRef]
- Qing, C.; Guo, S.L.; Deng, X.; Xu, D.D. Farmers’ awareness of environmental protection and rural residential environment improvement: A case study of Sichuan province, China. Environ. Dev. Sustain. 2022, 24, 11301–11319. [Google Scholar] [CrossRef]
- Kehinde, A.D. Impacts of farmers’ participation in social capital networks on adoption of climate change adaptation strategies in Nigeria. In Proceedings of the 2021 Conference, Virtual from International Association of Agricultural Economists, 17–31 August 2021; p. 315859. [Google Scholar]
- Wąs, A.; Malak-Rawlikowska, A.; Zavalloni, M.; Viaggi, D.; Kobus, P.; Sulewski, P. In search of factors determining the participation of farmers in agri-environmental schemes—Does only money matter in Poland? Land Use Pol. 2021, 101, 105190. [Google Scholar] [CrossRef]
- Wang, B.; Hu, D.; Hao, D.; Li, M.; Wang, Y. Influence of government information on farmers’ participation in rural residential environment governance: Mediating effect analysis based on moderation. Int. J. Environ. Res. Public Health 2021, 18, 12607. [Google Scholar] [CrossRef]
- North, D.C. Institutions, Institutional Change and Economic Performance; Cambridge University Press: Cambridge, UK, 1990. [Google Scholar]
- Li, C.; Sun, M.X.; Xu, X.B.; Zhang, L.X.; Guo, J.B.; Ye, Y.H. Environmental village regulations matter: Mulch film recycling in rural China. J. Clean Prod. 2021, 299, 126796. [Google Scholar] [CrossRef]
- Xie, J.; Yang, G.; Wang, G.; Zhu, Y.; Guo, Z. Substitutes or complements? Exploring the impact of environmental regulations and informal institutions on the clean energy utilization behaviors of farmers. Environ. Dev. Sustain. 2022, 344, 12. [Google Scholar] [CrossRef]
- Dlangalala, S.F.; Mudhara, M. Determinants of farmer awareness of water governance across gender dimensions in smallholder irrigation schemes in KwaZulu-Natal Province, South Africa. Water SA 2020, 46, 234–241. [Google Scholar] [CrossRef]
- Yami, M.; van Asten, P. Relevance of informal institutions for achieving sustainable crop intensification in Uganda. Food Secur. 2018, 10, 141–150. [Google Scholar] [CrossRef]
- Cao, Y.; Zhang, X.; He, L. Collective Action in maintaining rural infrastructures: Cadre-farmer relationship, institution rules and their interaction terms. Land Use Pol. 2020, 99, 105043. [Google Scholar] [CrossRef]
- Chen, H.R. State power and village cadres in contemporary China: The case of rural land transfer in Shandong province. J. Contemp. China 2015, 24, 778–797. [Google Scholar] [CrossRef]
- McManus, P.; Walmsley, J.; Argent, N.; Baum, S.; Bourke, L.; Martin, J.; Pritchard, B.; Sorensen, T. Rural Community and Rural Resilience: What is important to farmers in keeping their country towns alive? J. Rural Stud. 2012, 28, 20–29. [Google Scholar] [CrossRef]
- Tang, P.; Chen, J.; Gao, J.; Li, M.; Wang, J. What role(s) do village committees play in the withdrawal from rural homesteads? Evidence from Sichuan Province in Western China. Land 2020, 9, 477. [Google Scholar] [CrossRef]
- Wu, Y. The dual marginalization: A typologic analysis of the part played by and the behavior of village officials. Manag. World 2002, 11, 78–85. [Google Scholar] [CrossRef]
- Zhao, X.H.; Xie, Y. The effect of land expropriation on local political trust in China. Land Use Pol. 2022, 114, 105966. [Google Scholar] [CrossRef]
- Li, Z.; Ge, Y. Mobilization governance: Logic and consequence analysis of contemporary rural community construction. Acad. J. Zhongzhou 2015, 71–76. [Google Scholar] [CrossRef]
- Zhang, Z.; Xing, J.; Sun, X. Why is mobilized environmental governance effective? A qualitative comparative analysis of environmental protection administrative interviews. J. Nanjing Tech Univ. Soc. Sci. Ed. 2022, 21, 21–33, 115. [Google Scholar]
- Shi, Q.L.; Shi, C.C.; Guo, F. Political Blue Sky: Evidence from the Local Annual “Two Sessions” in China. Resour. Energy Econ. 2020, 61, 101165. [Google Scholar] [CrossRef]
- Scott, W.R. Institutions and Organizations: Ideas, Interests, and Identities; Sage Publications: Thousand Oaks, CA, USA, 2013. [Google Scholar]
- Helmke, G.; Levitsky, S. Informal institutions and comparative politics: A research agenda. Perspect. Polit. 2004, 2, 725–740. [Google Scholar] [CrossRef]
- Wang, Y.X.; Qu, W.J.; Zheng, L.; Yao, M. Multi-dimensional social capital and farmer’s willingness to participate in environmental governance. Trop. Conserv. Sci. 2022, 15, 19400829221084562. [Google Scholar] [CrossRef]
- Thomas, E.; Riley, M.; Spees, J. Knowledge flows: Farmers’ social relations and knowledge sharing practices in ‘Catchment Sensitive Farming’. Land Use Pol. 2020, 90, 104254. [Google Scholar] [CrossRef]
- Caesens, G.; Stinglhamber, F. Toward a more nuanced view on organizational support theory. Front. Psychol. 2020, 11, 476. [Google Scholar] [CrossRef] [PubMed]
- Umar, Z.; Bossman, A.; Choi, S.-Y.; Teplova, T. Does geopolitical risk matter for global asset returns? Evidence from quantile-on-quantile regression. Financ. Res. Lett. 2022, 48, 102991. [Google Scholar] [CrossRef]
- Qu, X.; Kojima, D.; Nishihara, Y.; Wu, L.-p.; Ando, M. Can harvest outsourcing services reduce field harvest losses of rice in China? J. Integr. Agr. 2021, 20, 1396–1406. [Google Scholar] [CrossRef]
- Wooldridge, J.M. Econometric Analysis of Cross Section and Panel Data; MIT Press: Cambridge, MA, USA, 2010. [Google Scholar]
- Samuelson, P.A. Pitfalls in the analysis of public goods. J. Law Econ. 1967, 10, 199–204. [Google Scholar] [CrossRef]
- Ji, D.S.; Li, J.W.; Shen, G.F.; He, J.; Gao, W.K.; Tao, J.; Liu, Y.; Tang, G.Q.; Zeng, L.M.; Zhang, R.J.; et al. Environmental effects of China’s coal ban policy: Results from in situ observations and model analysis in a typical rural area of the Beijing-Tianjin-Hebei region, China. Atmos. Res. 2022, 268, 106015. [Google Scholar] [CrossRef]
- Yang, B.; Feldman, M.W.; Li, S. The status of perceived community resilience in transitional rural society: An empirical study from central China. J. Rural Stud. 2020, 80, 427–438. [Google Scholar] [CrossRef]
- Qiu, T.; Zhang, D.; Choy, S.T.B.; Luo, B. The interaction between informal and formal institutions: A case study of private land property rights in rural China. Econ. Anal. Policy 2021, 72, 578–591. [Google Scholar] [CrossRef]
- Ogunleye, A.; Kehinde, A.; Mishra, A.; Ogundeji, A. Impacts of farmers’ participation in social capital networks on climate change adaptation strategies adoption in Nigeria. Heliyon 2021, 7, e08624. [Google Scholar] [CrossRef] [PubMed]
- Li, B.; Xu, C.; Zhu, Z.; Kong, F. How to encourage farmers to recycle pesticide packaging wastes: Subsidies VS social norms. J. Clean Prod. 2022, 367, 133016. [Google Scholar] [CrossRef]


| Target Layer | Criteria Layer | Index Layer | Variable Weight |
|---|---|---|---|
| Toilet revolution | Household toilet type | Whether to use sanitary dry toilets or flushing toilets: In contrast to ordinary open dry toilets, sanitary dry toilets refer to closed household toilets with small manure treatment equipment that can prevent odor and pollution. Yes = 1, no = 0; | 0.057 |
| Toilet manure treatment | Whether toilet waste is harmlessly treated: Corresponding to direct discharge, harmless manure treatment refers to farmers using their septic tanks, and cleaners to collect or through the village public sewage pool and other ways to discharge. Yes = 1, no = 0; | 0.067 | |
| Domestic waste treatment | Garbage disposal method | Whether household garbage is disposed of centrally: In contrast to random disposal or incineration landfill, centralized garbage disposal refers to farmers throwing garbage into public garbage cans, garbage trucks, garbage houses, etc. Yes = 1, no = 0; | 0.029 |
| Domestic garbage classification | Whether household garbage is treated by classification: garbage classification refers to source classification as domestic waste. Yes = 1, no = 0; | 0.186 | |
| Garbage fee | Whether the garbage disposal fee is paid to the village committee. Yes = 1, no = 0; | 0.066 | |
| Domestic sewage treatment | Domestic sewage treatment method | Whether domestic sewage is treated by sewage facilities: in contrast to the direct discharge of sewage into public areas, the use of sewage treatment facilities refers to the discharge of sewage by farmers through sewage pipe networks, village public sewage treatment facilities, or self-built decentralized sewage treatment facilities. Yes = 1, no = 0; | 0.115 |
| Sewage costs | Whether the sewage treatment costs are paid to the village committee. Yes = 1, no = 0; | 0.297 | |
| Village appearance | Rural Infrastructure Maintenance Action | Whether to participate in the rural infrastructure maintenance action. Yes = 1, no = 0; | 0.117 |
| Village greening and beautification | Whether the village is greened by planting fruits and vegetables, flowers and trees, etc. Yes = 1, no = 0; | 0.046 | |
| Village Public Environment | Outside the prescribed scope, whether there is private construction of public hidden buildings, posting advertisements, random picture walls, and other behaviors that affect the public environment of the village. Yes = 1, no = 0; | 0.020 |
| Variable | Variable Interpretation | KMO | Bartlett’s Test | Cronbach’s α | |
|---|---|---|---|---|---|
| Cadre-mass relationship | interaction | Frequency of your interaction with village cadres | 0.731 | 2337.288 (0.000) | 0.850 |
| trust | Your level of trust in village cadres | ||||
| support | The degree of support from village cadres | ||||
| Variable | Variable Definition | Mean | S.D. | |
|---|---|---|---|---|
| Informal institutions | Value-oriented | Whether the village has honorary recognition institutions (health model households, clean farm households, etc.). Yes = 1, no = 0 | 0.660 | 0.474 |
| Disciplinary supervision | Whether the village has punitive provisions for environmental damage (notice of notification, criticism, and education, etc.). Yes = 1, no = 0 | 0.725 | 0.446 | |
| Transmission internalization | Whether agree with the relevant content of village regulations. Yes = 1, no = 0 | 0.545 | 0.498 | |
| Cadre-mass relationship | CMR | Based on factor analysis | 0.000 | 1.000 |
| Control variables (CV) | Age | Age of farmers (year) | 61.710 | 11.034 |
| Education | Education level of farmers. not attended school = 1, primary school = 2, junior high school = 3, senior high school or technical secondary school = 4, college/junior college and above = 5 | 2.547 | 0.980 | |
| Labor outflow | Number of family outflows/total number (%) | 0.344 | 0.245 | |
| Public status | Is there a village cadre or party member at home? Yes = 1, no = 0 | 0.121 | 0.326 | |
| Income | Family per capita income (take logarithm) | 9.470 | 0.825 | |
| Cognition | Cognition of rural residential environment governance a | 2.878 | 1.056 | |
| Neighborhood relations | The degree of harmony of your village neighborhood relations b | 2.894 | 1.017 | |
| Policy subsidy | The total number of projects that can receive cash or in-kind subsidies | 1.986 | 0.855 | |
| Distance to town | Distance from the village to the nearest town (km) | 15.341 | 7.090 | |
| Terrain | Plain = 1, otherwise = 0; | 0.784 | 0.412 | |
| Variable | Model 1 | Model 2 | |
|---|---|---|---|
| Cadre-mass relationship | CMR | 0.019 ** (0.005) | |
| Informal institutions | Value-oriented | 0.015 * (0.008) | |
| Disciplinary supervision | 0.026 *** (0.009) | ||
| Transmission internalization | 0.05 (0.009) | ||
| Control variables | Age | −0.002 *** (0.001) | −0.002 *** (0.001) |
| Education | 0.006 (0.005) | 0.006 (0.005) | |
| Labor outflow | 0.020 (0.016) | 0.019 (0.016) | |
| Public status | 0.025 * (0.013) | 0.023 * (0.013) | |
| Income | 0.005 (0.005) | 0.006 (0.005) | |
| Cognition | 0.012 *** (0.004) | 0.009 * (0.004) | |
| Neighborhood relations | 0.015 *** (0.004) | 0.006 (0.005) | |
| Policy subsidy | 0.010 ** (0.003) | 0.007 * (0.005) | |
| Distance to town | −0.001 (0.001) | −0.001 (0.001) | |
| Terrain | 0.025 *** (0.011) | 0.027 ** (0.011) | |
| Constant term | 0.320 *** (0.055) | 0.331 *** (0.057) | |
| R-squared | 0.047 | 0.062 | |
| Prob > F | 0.000 | 0.000 | |
| Observations | 1804 | 1804 | |
| Variable | Quantile | ||||
|---|---|---|---|---|---|
| 0.10 | 0.25 | 0.50 | 0.75 | 0.90 | |
| Cadre-mass relationship | 0.012 ** (0.006) | 0.023 *** (0.008) | 0.007 (0.007) | 0.021 *** (0.006) | 0.010 (0.011) |
| Value-oriented | 0.026 ** (0.012) | 0.017 (0.011) | −0.003 (0.010) | 0.015 (0.010) | 0.028 * (0.015) |
| Disciplinary supervision | 0.010 (0.010) | 0.038 *** (0.012) | 0.036 *** (0.014) | 0.017 (0.012) | 0.005 (0.021) |
| Transmission internalization | 0.008 (0.012) | −0.004 (−0.013) | 0.007 (0.011) | 0.002 (0.011) | 0.032 ** (0.016) |
| Control variables | YES | YES | YES | YES | YES |
| Pseudo R2 | 0.051 | 0.033 | 0.021 | 0.043 | 0.093 |
| Prob > F | 0.000 | 0.000 | 0.000 | 0.000 | 0.000 |
| Observations | 1804 | 1804 | 1804 | 1804 | 1804 |
| Variable | Model 3 | Model 4 | Model 5 |
|---|---|---|---|
| CMR | 0.013 ** (0.005) | 0.013 ** (0.005) | 0.012 ** (0.005) |
| Value-oriented | 0.015 * (0.008) | 0.016 * (0.008) | 0.016 * (0.008) |
| Disciplinary supervision | 0.027 *** (0.009) | 0.027 *** (0.009) | 0.026 *** (0.009) |
| Transmission internalization | 0.011 (0.009) | 0.012 (0.009) | 0.013 (0.009) |
| CMR ×Value-oriented | −0.005 (0.008) | ||
| CMR ×Disciplinary supervision | 0.015 * (0.008) | ||
| CMR ×Transmission internalization | 0.014 * (0.008) | ||
| Control variables | YES | YES | YES |
| Pseudo R2 | 0.061 | 0.062 | 0.062 |
| Pro>chi2 | 0.000 | 0.000 | 0.000 |
| Observations | 1804 | 1804 | 1804 |
| The First Stage of 2SLS | ||||
|---|---|---|---|---|
| Variable | CMR | Value-Oriented | Disciplinary Supervision | Transmission Internalization |
| Big surname family | 0.157 *** | |||
| (0.036) | ||||
| Average of value-oriented regulations (Except for the respondent’s village) | −43.688 *** | −4.481 *** | 0.614 ** | |
| (0.240) | (0.582) | (0.232) | ||
| Average of disciplinary supervision (Except for the respondent’s village) | 2.153 *** | −23.857 *** | −1.196 *** | |
| (0.225) | (0.945) | (0.202) | ||
| Average of transmission internalization (Except for the respondent’s village) | 1.551 *** | −3.626 *** | −43.208 *** | |
| (0.228) | (0.607) | (0.250) | ||
| Control variables | YES | YES | YES | YES |
| The Second Stage of 2SLS | ||||
| CMR | 0.130 *** | |||
| (0.058) | ||||
| Value-oriented regulations | 0.011 | |||
| (0.009) | ||||
| Disciplinary supervision | 0.050 *** | |||
| (0.016) | ||||
| Transmission internalization | 0.015 | |||
| (0.009) | ||||
| Control variables | YES | YES | ||
| Kleibergen-Paap rk LM | 517.557 *** | 520.227 *** | ||
| (0.000) | (0.000) | |||
| Cragg-Donald Wald F | 19.189 | 448.258 | ||
| Observations | 1804 | 1804 | ||
Disclaimer/Publisher’s Note: The statements, opinions and data contained in all publications are solely those of the individual author(s) and contributor(s) and not of MDPI and/or the editor(s). MDPI and/or the editor(s) disclaim responsibility for any injury to people or property resulting from any ideas, methods, instructions or products referred to in the content. |
© 2022 by the authors. Licensee MDPI, Basel, Switzerland. This article is an open access article distributed under the terms and conditions of the Creative Commons Attribution (CC BY) license (https://creativecommons.org/licenses/by/4.0/).
Share and Cite
Hao, D.; Yan, Z.; Wang, Y.; Wang, B. Effect of Village Informal Institutions and Cadre-Mass Relationship for Farmers’ Participation in Rural Residential Environment Governance in China. Int. J. Environ. Res. Public Health 2023, 20, 3. https://doi.org/10.3390/ijerph20010003
Hao D, Yan Z, Wang Y, Wang B. Effect of Village Informal Institutions and Cadre-Mass Relationship for Farmers’ Participation in Rural Residential Environment Governance in China. International Journal of Environmental Research and Public Health. 2023; 20(1):3. https://doi.org/10.3390/ijerph20010003
Chicago/Turabian StyleHao, Diandian, Ziyi Yan, Yanan Wang, and Bowen Wang. 2023. "Effect of Village Informal Institutions and Cadre-Mass Relationship for Farmers’ Participation in Rural Residential Environment Governance in China" International Journal of Environmental Research and Public Health 20, no. 1: 3. https://doi.org/10.3390/ijerph20010003
APA StyleHao, D., Yan, Z., Wang, Y., & Wang, B. (2023). Effect of Village Informal Institutions and Cadre-Mass Relationship for Farmers’ Participation in Rural Residential Environment Governance in China. International Journal of Environmental Research and Public Health, 20(1), 3. https://doi.org/10.3390/ijerph20010003
