Sorption Kinetics of Escherichia coli and Salmonella sp on Two Soil Layers Associated with a Groundwater Table in Yaounde, Cameroon (Central Africa)
Abstract
:Introduction
Materials and Methods
Soil Collection
Physical and Chemical Properties of Soil Layers
Bacteria Isolation and Identification
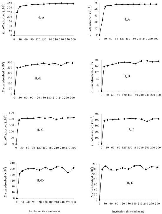
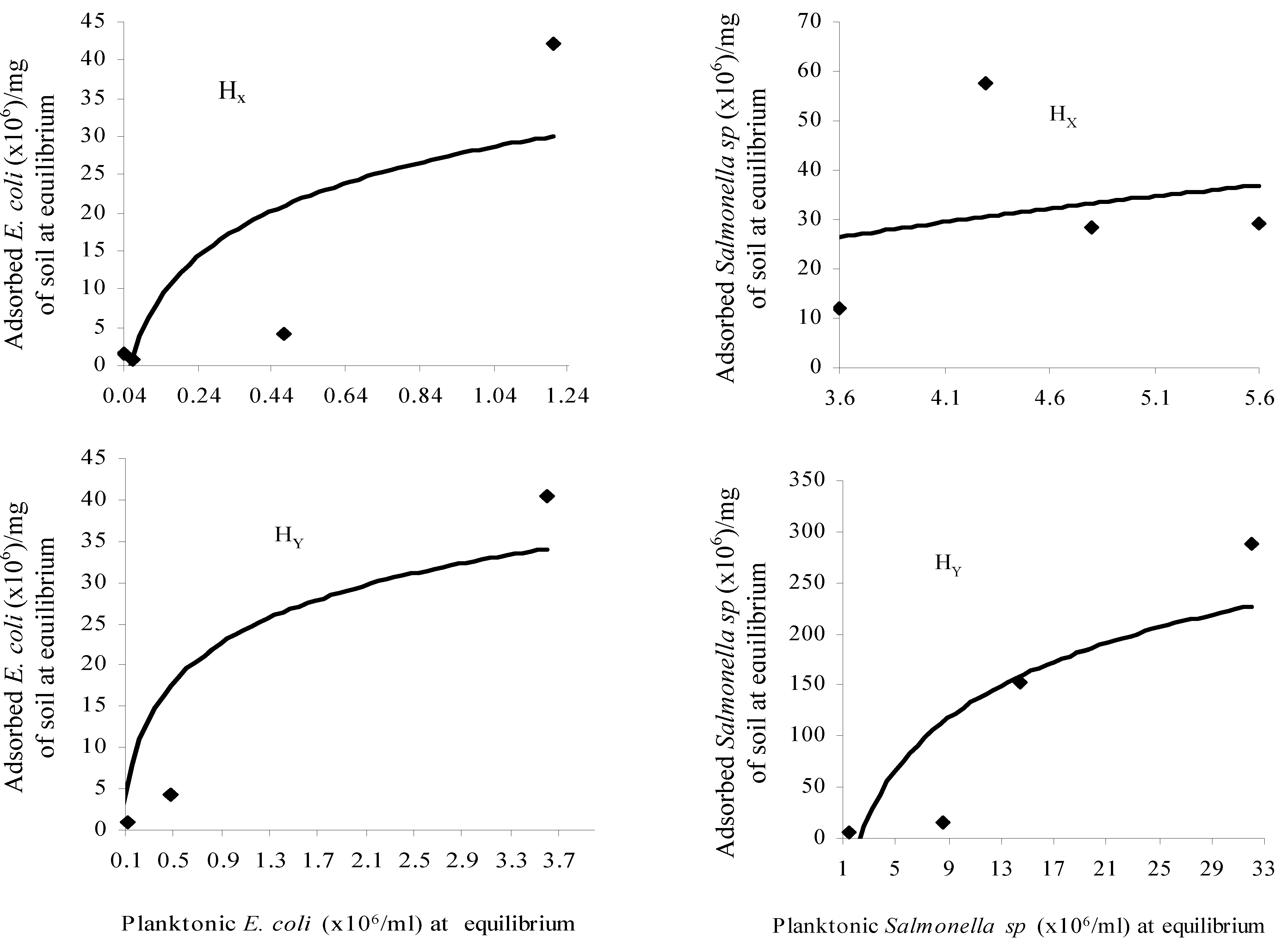
Assessment of Soil Sorption Potential
Data Analysis
Results and Discussion
| E. coli | Salmonella sp | |||
| Kf (E. Coli.mg-1) | 1/n | Kf (Salmonella sp.mg-1) | 1/n | |
| HX | 19 | 1.0023 | 506 | 1.5236 |
| HY | 4026 | 0.5841 | 847 | 0.7068 |



| Horizon | pH | C | Fe | N | P | C/N | C/P | N/P |
|---|---|---|---|---|---|---|---|---|
| HX | 4.435 | 4.140 | 0.749 | 0.100 | 17.425 | 41.400 | 0.237 | 0.005 |
| (0.007) | (0.056) | (0.004) | (0.000) | (0.077) | (0.565) | (0.002) | (0.000) | |
| HY | 4.559 | 4.315 | 0.697 | 0.235 | 26.145 | 18.454 | 0.164 | 0.007 |
| (0.012) | (0.091) | (0.024) | (0.021) | (0.091) | (2.056) | (0.002) | (0.000) |
Conclusions
Acknowledgments
References
- Matthess, G.; Pekdeger, A.; Schroeter, J. Persistence and transport of bacteria and viruses in groundwater – A conceptual evaluation. J. Contam. Hydrol. 1988, 2, 171–188. [Google Scholar] [CrossRef]
- Teutsch, G.; Herbold-Paschke, K.; Tougianidou, D.; Hahn, T.; Botzenhart, K. Transport of microorganisms in the underground-processes, experiments and simulation models. Wat. Sci. Technol. 1991, 24, 309–314. [Google Scholar]
- Harvey, R. W.; Garabedian, S. P. Use of colloid filtration theory in modeling movement of bacteria through a contaminated sandy aquifer. Environ. Sci. Technol. 1991, 25, 178–185. [Google Scholar] [CrossRef]
- Grasso, D.; Smets, B. F.; Strevett, K. A.; Machinist, B. D.; Van Oss, C. J.; Giese, R. F.; Wu, W. Impact of physiological state on surface thermodynamics and adhesion of Pseudomonas aeruginosa. Environ. Sci. Technol. 1996, 30, 3604–3608. [Google Scholar]
- Jucker, B. A.; Zehnder, A. J. B.; Harms, H. Quantification of Polymer Interactions in Bacterial Adhesion. Environ. Sci. Technol. 1998, 32, 2909–2915. [Google Scholar] [CrossRef]
- Banton, O.; Bangoy, L.M. Hydrogéologie, Multiscience environnementale des eaux souterraines. Puq/Aupelf , Sainte-Foy 1997, 460. [Google Scholar]
- Rijnaarts, H.H.M.; Norde, W.; Bouwer, E.J.; Lyklema, J.; Zehnder, A.J.B. Reversibility and mechanism of bacterial adhesion. Colloids and Surfaces B: Biointerfaces 1995, 4, 5–22. [Google Scholar] [CrossRef]
- Fowle, D.A., Fein; Fein, J.B. Experimental measurements of the reversibility of metal-bacteria adsorption reactions. Chemical Geology 2000, 168, 27–36. [Google Scholar] [CrossRef]
- Yee, N.; Fein, J.B.; Daughney, C.J. Experimental study of the pH, ionic strength, and reversibility behavior of bacteria-mineral adsorption. Geochimica and Cosmochimica Acta 2000, 64, 609–617. [Google Scholar] [CrossRef]
- Van Der Mei, H.C.; Bos, R.; Busscher, H.J. A reference guide to microbial cell surface hydrophobicity based on contact angles. Colloids and Surfaces B. Biointerfaces 1998, 11, 213–221. [Google Scholar] [CrossRef]
- Fein, J.B.; Daughney, C.J.; Yee, N.; Davis, T.A. A chemical equilibrium model for metal adsorption onto bacterial surfaces. Geochimica and Cosmochimica Acta 1997, 61, 3319–3328. [Google Scholar] [CrossRef]
- Wang, W.; Wang, W.; Zhang, X.; Wang, D. Adsorption of p-chlorophenol by biofilm components. Wat. Res. 2002, 36, 551–560. [Google Scholar] [CrossRef]
- Camesano, T. A.; Logan, B.E. Influence of fluid velocity and cell concentration on the transport of motile and nonmotile bacteria in porous media. Environ. Sci. Technol. 1998, 32, 1699–1708. [Google Scholar] [CrossRef]
- Nola, M.; Njine, T.; Sikati, F.V.; Djuikom, E. Distribution de Pseudomonas aeruginosa et Aeromonas hydrophila dans les eaux de la nappe phréatique superficielle en zone équatoriale au Cameroun et relations avec quelques paramètres chimiques du milieu. Rev. Sci. Eau. 2001, 14, 35–53. [Google Scholar]
- Nola, M.; Njine, T.; Djuikom, E.; Sikati Foko, V. Faecal coliforms and faecal streptococci community in the underground water in an equatorial area in Cameroon (Central Africa): the importance of some environmental chemical factors. Wat. Res. 2002, 36, 3289–3297. [Google Scholar] [CrossRef]
- Bachelier, G. Etude pédologique des sols de Yaoundé. Contribution à l’étude de la pédogenèse des sols ferralitiques. Agron. Tropic. 1959, 14, 279–305. [Google Scholar]
- Macbeth Division of Kollmorgen Corporation. Determination of soil color-Munsel soil color charts. Macbeth Division of Kollmorgen Corporation, Baltimore, Maryland 1975, 141. [Google Scholar]
- Beck, R.; Kalra, Y.; Vaughan, B.; Wolf, A.M. 2000, 247.
- Njopwouo, D.; Orliac, M. Note sur le comportement de certains minéraux à l’attaque triacide. Cah. ORSTOM Sér. Pédol. 1979, 17, 329–337. [Google Scholar]
- Rodier, J. L’analyse de l’eau – Eaux naturelles, eaux résiduaires, eau de mer, Dunod. Paris, 1996; p. 1384. [Google Scholar]
- Marchal, N.; Bourdon, J.L.; Richard, C.l. Milieux de culture pour l’isolement et l’identification biochimique des bactéries. Doin, Paris 1991, 509. [Google Scholar]
- Ford, L.A. Detection of Aeromonas salmonicida from water using a filtration method. Aquaculture 1994, 122, 1–7. [Google Scholar] [CrossRef]
- Miller, M.J.; Critchley, M.M.; Hutson, J.; Fallowfield, H.J. The adsorption of cyanobacterial hepatotoxins from water onto soil during batch experiments. Wat. Res. 2001, 35, 1461–1468. [Google Scholar] [CrossRef]
- Schijven, J.F.; Hassanizadeh, S.M. Removal of viruses by soil passage: overview of modeling, processes and parameters. Crit. Rev. Environ. Sci. Tech. 2000, 30, 49–127. [Google Scholar] [CrossRef]
- Kolter, R.; Losick, R. One for all and all for one. Science 1998, 280, 226–227. [Google Scholar] [CrossRef]
- Mills, A.L.; Herman, J.S.; Hornberger, G.M.; Dejesus, T.H. Effect of solution ionic-strength and iron coatings on mineral grains on the sorption of bacterial-cells to quartz sand. Appl. Environ. Microbiol. 1994, 60, 3300–3306. [Google Scholar]
- Yongue-Fouateu, R. Contribution à l’étude pétrographique de l’altération et des faciès de cuirassement ferrugineux des gneiss migmatitiques de la région de Yaoundé. Thèse Doctorat, Université de Yaoundé 1986, 214. [Google Scholar]
- Jewett, D.G.; Hilbert, T.A.; Logan, B.E.; Arnold, R.G.; Bales, R.C. Bacterial transport in laboratory column and filters – Influence of ionic strength and pH on collision efficiency. Wat. Res. 1995, 29, 1673–1680. [Google Scholar] [CrossRef]
- Klanova, K. Effect of chemical fertilizers on the transport of Escherichia coli, Pseudomonas aeruginosa and Salmonella infentis through sand columns. Folia Microbiologica 1994, 39, 283–286. [Google Scholar] [CrossRef]
- Haas, J.; Dichristina, T. Thermodynamics of reversible proton exchange and metal sorption onto Shewanella putrefaciens. J. Conference Abstracts 2000, 5, 464. [Google Scholar]
- Scholl, M.A.; Harvey, R.W. Laboratory investigations on the role of sediments surface and groundwater chemistry in transport of bacteria through a contaminated sandy aquifer. Environ. Sci. Technol. 1992, 26, 1410–1417. [Google Scholar]
- Simoni, S.F.; Harms, H.; Bosma, T.N.P.; Zehnder, A.J.B. Population heterogeneity affects transport of bacteria through sand columns at low rates. Environ. Sci. Technol. 1998, 32, 2100–2105. [Google Scholar] [CrossRef]
- Nikolaev, Y.A. Role of long-range interactions in the regulation of adhesion of Pseudomonas fluorescens cell. Mikrobiologiya 2000, 69, 356–361. [Google Scholar]
- Nikolaev, Y. A.; Prosser, J. I. Some properties of Pseudomonas fluorescens adhesion and antiadhesin. Mikrobiologiya 2000, 69, 237–242. [Google Scholar]
- Millsap, K.W.; Van Der Mei, H.C.; Bos, R.; Busscher, H.J. Adhesive interaction between medically important yeasts and bacteria. FEMS Microb. Rev. 1998, 21, 321–336. [Google Scholar] [CrossRef]
- James, G. A.; Beaudette, L.; Costerton, J. W. Interspecies bacterial interactions in biofilms. J. Industrial Microbiol.. 1995, 15, 257–262. [Google Scholar] [CrossRef]
- Brozel, V.S.; Strydom, G.M.; Cloete, T.E. A method for the study of de-novo protein-synthesis in Pseudomonas aeruginosa after attachment. Biofouling 1995, 8, 195–201. [Google Scholar] [CrossRef]
- O’toole, G.; Kaplan, H.B.; Kolter, R. Biofilms formation as microbial development. Ann. Rev. Microbiol. 2000, 54, 49–79. [Google Scholar] [CrossRef]
- Sotelo, J.L.; Ovejero, V.; Delgado, J.A.; Martinez, I. Comparison of adsorption equilibrium and kinetics of four chlorinated organics from water onto GAC. Wat Res. 2002, 36, 599–608. [Google Scholar] [CrossRef]
- Huang, C.-T.; Peretti, S.W.; Bryers, J.D. Effect of medium carbon-to-nitrogen ratio on biofilm formation and plasmid stability. Biotechnol. Bioeng. 1994, 44, 329–336. [Google Scholar] [CrossRef]
- Chen, G.; Strevett, K.A. Impact of surface thermodynamics on bacterial transport. Environ. Microbiol. 2001, 3, 237–245. [Google Scholar] [CrossRef]
- Knapp, E.P.; Herman, J.S.; Hornberger, G.M.; Mills, A. The effect distribution of iron-oxyhydroxide grain coatings on the transport on bacterial cell in porous media. Environ. Geol. 1998, 33, 243–248. [Google Scholar] [CrossRef]
- Nikaido, H.; Yaara, M. The molecular basis of bacterial outer membrane permeability. Microbiol. Rev. 1985, 49, 1–32. [Google Scholar]
- Bai, G. Y.; Brusseau, M. L.; Miller, R. M. Influence of rhamnolipide biosurfactant on the transport of bacteria through a sandy soil. Appl. Eviron. Microbiol. 1997, 63, 1866–1873. [Google Scholar]
- Geesey, G.G.; Wigglesworth-Cooksey, B.; Cooksey, K.E. Influence of calcium and other cations on surface adhesion of bacteria and diatoms: a review. Biofouling 2000, 48, 77–98. [Google Scholar]
- Jeljaszewicz, J.; Mlynarczyk, A.; Mlynarczyk, G. Exoproteins in Staphylococcus aureus virulence. Bulletin of the Pollish Academy of Sciences. Biological Sciences 2000, 48, 77–98. [Google Scholar]
© 2005 MDPI. All rights reserved.
Share and Cite
Nola, M.; Njiné, T.; Boutin, C.; Servais, P.; Messouli, M.; Bidjeck, L.M.N.; Monkiedje, A.; Zébazé Togouet, S.H.; Kemka, N. Sorption Kinetics of Escherichia coli and Salmonella sp on Two Soil Layers Associated with a Groundwater Table in Yaounde, Cameroon (Central Africa). Int. J. Environ. Res. Public Health 2005, 2, 447-455. https://doi.org/10.3390/ijerph2005030009
Nola M, Njiné T, Boutin C, Servais P, Messouli M, Bidjeck LMN, Monkiedje A, Zébazé Togouet SH, Kemka N. Sorption Kinetics of Escherichia coli and Salmonella sp on Two Soil Layers Associated with a Groundwater Table in Yaounde, Cameroon (Central Africa). International Journal of Environmental Research and Public Health. 2005; 2(3):447-455. https://doi.org/10.3390/ijerph2005030009
Chicago/Turabian StyleNola, Moïse, Thomas Njiné, Claude Boutin, Pierre Servais, Mohamed Messouli, Louise Marie Ngo Bidjeck, Adolphe Monkiedje, Serge H. Zébazé Togouet, and Norbert Kemka. 2005. "Sorption Kinetics of Escherichia coli and Salmonella sp on Two Soil Layers Associated with a Groundwater Table in Yaounde, Cameroon (Central Africa)" International Journal of Environmental Research and Public Health 2, no. 3: 447-455. https://doi.org/10.3390/ijerph2005030009
APA StyleNola, M., Njiné, T., Boutin, C., Servais, P., Messouli, M., Bidjeck, L. M. N., Monkiedje, A., Zébazé Togouet, S. H., & Kemka, N. (2005). Sorption Kinetics of Escherichia coli and Salmonella sp on Two Soil Layers Associated with a Groundwater Table in Yaounde, Cameroon (Central Africa). International Journal of Environmental Research and Public Health, 2(3), 447-455. https://doi.org/10.3390/ijerph2005030009
