Abstract
We compared the survival of F-specific RNA coliphage MS2, feline calicivirus, and E. coli in normal tap water and in tap water treated to an initial concentration of 50 ppm free chlorine and held at 4°C, 25°C, or 37°C for up to 28 days. Our aim was to determine which of these two organisms (coliphage or E. coli) was better at indicating norovirus survival under the conditions of the experiment. There was a relatively rapid decline of FCV and E. coli in 50 ppm chlorine treated water and both organisms were undetectable within one day irrespective of the temperature. In contrast, FRNA phage survived for 7 to 14 days in 50 ppm chlorine treated water at all temperatures. All organisms survived for 28 days in tap water at 4°C, but FCV was undetectable on day 21 and day 7 at 25°C and 37°C, respectively. Greater survival of FRNA phage compared to E. coli in 50 ppm chlorine treated water suggests that these organisms should be further investigated as indicators of norovirus in depurated shellfish, sanitized produce, and treated wastewater which are all subject to high-level chlorine treatment.
Introduction
Water is an important vehicle for the transmission of infectious micro-organisms including enteric viruses [1,2,3,4,5]. The treatment of water is aimed at eliminating these infectious disease risks. However, enteric viruses are resistant to water treatment and may therefore be present in treated waters [6,7]. Since noroviruses (NoVs) are a leading cause of food and waterborne illnesses throughout the world [8,9], experts have called for routine water monitoring for viruses as a safeguard against waterborne viral diseases [1,9,10,11,12]. However, routine monitoring for pathogenic viruses in water is currently not feasible because of the lack of simple and inexpensive methods for detecting low levels of viruses in large volumes of water [11].
Detection of fecal coliform bacteria above certain levels is regarded as an indication of infectious disease risk in water and food [6]. However, there is little correlation between survival of enteric viruses and fecal indicator bacteria and hence, failure to detect coliforms does not always indicate a lack of infectious disease risk [13]. F-specific RNA coliphages (FRNA phage) have been proposed as alternate indicators of enteric viruses [14,15] because they are similar to enteric viruses and because two of the four serotypes of FRNA phages are commonly associated with water impacted by human waste [16,17,18].
Despite the interest in FRNA phages as indicators of virological risk in the environment, studies that directly compare their survival with that of enteric viral pathogens and bacterial indicators have not been reported. This is partly due to the fact that enteric viral pathogens such as NoV cannot be cultured in vitro. In light of this, feline calicivirus (FCV), a closely related member of the family Caliciviridae has been adopted as a surrogate of NoV in survival and sanitizer efficacy studies [19,20,21,22]. The aim of this study was to compare the survival of FRNA phage MS2 (ATCC15597-B1), FCV strain F9 (ATCC VR-782), and E. coli Famp (ATCC 700891) in water at different temperatures and two different levels of residual chlorine to assess which of the two indicator organisms (E. coli or FRNA phage) would be a better indicator of NoV in water.
Methods
Virus and Cell Culture
Strain F9 of FCV (ATCC VR-782) was propagated and titrated in monolayers of Crandell-Reese feline kidney (CRFK) cells as previously described [23,24]. Cells grown in 96-well plates were used for virus titration using four wells per dilution and viral titers were calculated using the method of Reed and Muench [25].
Coliphage
F-specific RNA coliphage MS2 (ATTC 15597-B) was grown and titrated according to EPA method 1601 [26]. Briefly, a 1 ml aliquot of phage stock was added to 30 ml of an exponential culture of E. coli Famp (ATCC 700891) followed by incubation at 37°C overnight. The culture was centrifuged at 6,000 X g for 15 min followed by filtration of the supernatant through a 0.45mm membrane filter. For coliphage titration, serial 10-fold dilutions of the sample were made in tryptic soy broth (TSB) and 1 ml of each dilution was mixed with 200 ml of an exponential culture of E. coli Famp and 3 ml of 0.75% tryptic soy agar (TSA). This mixture was poured on the top of a solidified bottom agar layer (1.5% TSA contained in a Petri dish) and allowed to solidify. The plates were then inverted and incubated at 37°C for 24 hours. Plates with 30-300 plaques were counted and the titer recorded as PFU/ml.
Bacteria
An overnight culture of E. coli Famp (ATCC 700891) was prepared by placing 1 ml of a stock culture into 25 ml of 3% TSB followed by incubation overnight at 37°C on a rotary shaker (Lab-line Inc, Melrose Park, IL). To obtain an exponential culture, 1 ml of the overnight culture was added to 25 ml of fresh 3% TSB and incubated for 4-6 hours at 37°C. The exponential culture was titrated by the pour plate method [27]. In brief, the culture was serially diluted in TSB and 1 ml of each dilution was added to 20 ml of molten TSA (at approximately 45°C). After thorough mixing, the mixture was poured into a Petri dish and the agar was allowed to solidify. The plates were then incubated in an inverted position at 37°C for 24 hours after which bacterial colonies were counted and recorded as CFU/ml. The aliquots of the exponential culture were collected by centrifugation and washed with phosphate buffered saline before being used in bacterial survival studies.
Experimental Plan
Samples of tap water (containing an average of 0.1 ppm free chlorine residual) and tap water to which 5.25% sodium hypochlorite was added to a final concentration of 50 ppm free chlorine were autoclaved, cooled, and aliquoted in 50 ml amounts in 250 ml screw-capped glass bottles. Free chlorine concentration was confirmed with 3,3,5',5'-tetramethylbenzidine (TMB) impregnated test strips (Industrial Test Systems Inc., Rock Hill, SC) according to the manufacturer’s instructions before starting the experiment. The bottles were labelled and inoculated with the appropriate test organism (MS2, FCV, or E. coli). After thorough mixing for 30 sec, a 1 ml sample was withdrawn and assayed to determine the initial titer of the test organisms. Inoculated bottles were stored at 4°C, 25°C, or 37°C for a total of 28 days. Samples (1 ml) were removed on days 0, 1, 7, 14, 21, and 28 and tested for the appropriate organism.
Data Analysis
Average log10 survival from three separate experiments was used to calculate mean D-values (number of days needed for 90% reduction in titer) from the regression line fitted to a plot of mean log10 survivors against time [28]. Titer changes of the three microorganisms at each chlorine level (tap or 50 ppm chlorine treated) and temperature (4°C, 25°C, and 37°C) were compared by analysis of variance (ANOVA). Statistical analysis was performed with Statistical Analysis System (SAS) software (SAS Institute, Gary, IN) and EpiInfo 2002 (CDA, Atlanta, GA).
Results and Discussions
Initial titers were approximately 106 TCID50/ml for FCV, 109 PFU/ml for MS2 phage, and 109 CFU/ml for E. coli. There was relatively rapid decline of FCV and E. coli in 50 ppm chlorine treated water and both organisms were undetectable within one day irrespective of temperature (Table 1). In contrast, FRNA phage survived for up to 14 days in 50 ppm chlorine treated water. All organisms survived for 28 days in tap water at 4°C. However, FCV was undetectable on day 21 at 25°C and on day 7 at 37°C.
Table 1.
Days to detection limit by treatment, temperature and organism
| Organism | Water Typea | Days to Detection Limit | ||
| 4°C | 25°C | 37°C | ||
| E. coli | Tap Water | >28 <1 | >28 | >28 |
| 50 ppm | <1 | <1 | ||
| Feline calicivirus | Tap Water | >28 | 14-21 | 1-7 |
| 50 ppm | <1 | <1 | <1 | |
| F-specific coliphage | Tap Water | >28 | >28 | >28 |
| 50 ppm | 7-14 | 7-14 | 7-14 | |
aTap water or tap water treated to a final concentration of 50 ppm free chlorine.
The reduction in titers of E. coli and FRNA coliphage were significantly lower in tap water than in 50 ppm chlorine treated water at all temperatures (p-value <0.05; Welch-Satterthwaite t-tests). However, at 25°C and 37°C the difference in FCV titer reduction in tap water versus 50 ppm chlorine treated water was not statistically significant (p-value >0.05; Welch-Satterthwaite t-tests). Due to rapid extinction of the test organisms in 50 ppm chlorine treated water, D-values were not calculated for this level of treatment.
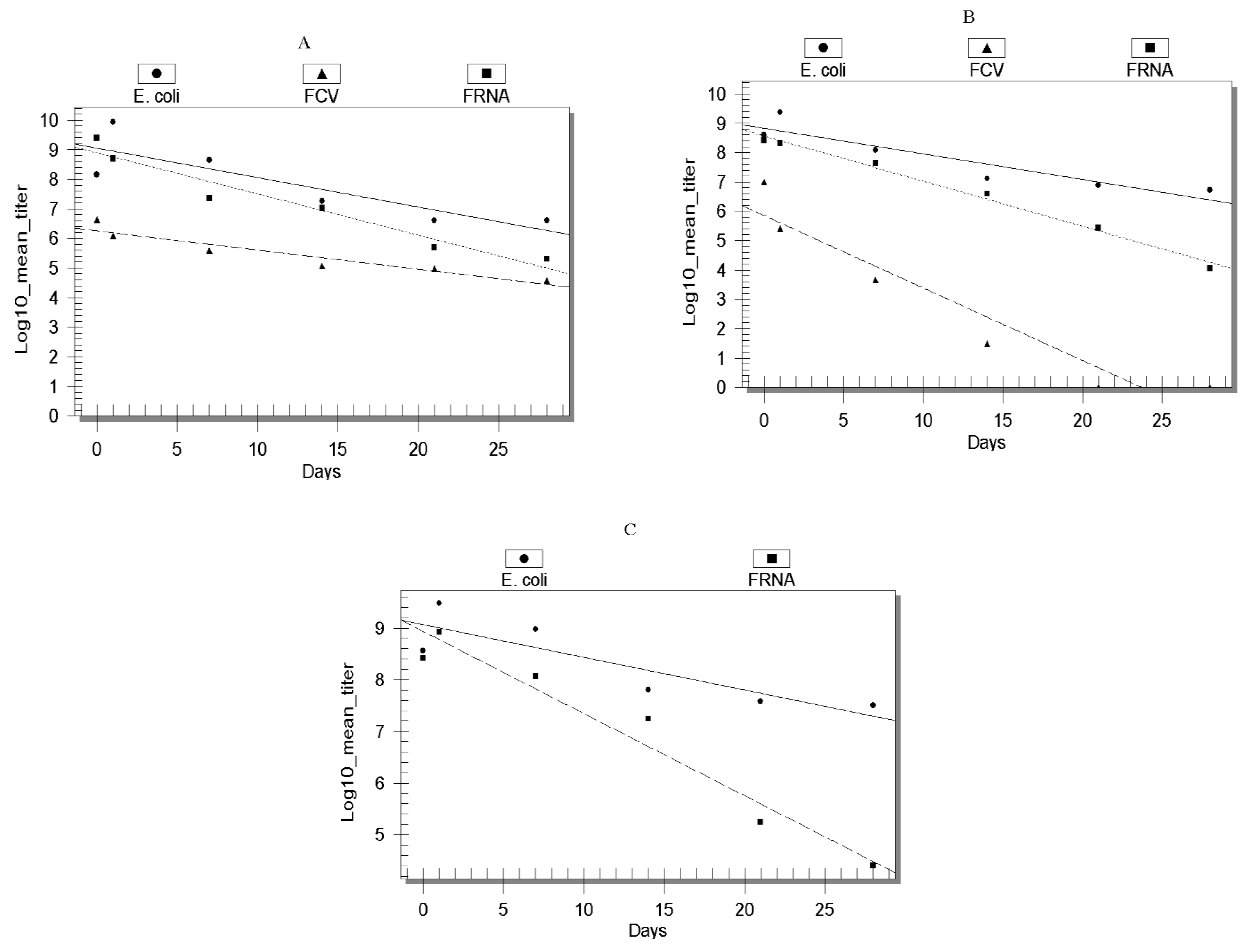
The D-values and coefficient of determination (r2) of mean log10 survivors against time in tap water are given in Table 2. Regression plots of log10 survivors against time for tap water are shown in Figure 1. Except for FCV at 37°C, D-value determinations could be made for each organism in tap water at all levels of temperature and r2 values ranged from 0.73 to 0.99. As shown in Table 2, the D-values of FCV showed the greatest amount of change with increasing temperature, with a difference of over an order of magnitude between 4°C and 25°C. In contrast, the D-values of E. coli increased slightly as temperature increased and were more than twice as high as the D-values of FRNA phage and FCV at 37°C. The D-values of FRNA phages decreased slightly with increased temperature. Survival curves with fitted regression lines were constructed for the challenge organisms at each level of temperature in tap and 50 ppm chlorine treated water at 4°C (A), 25°C (B), and 37°C (C). Regression lines were fitted to curves that consisted of at least 4 data points.
Table 2.
D-valuesa and coefficient of variation of test organisms in tap water
| Organism | Water Temperature | D-value (days) | r Squaredb |
| E. coli | 4°C | 10.1 | 0.73 |
| 25°C | 11.5 | 0.85 | |
| 37°C | 15.9 | 0.75 | |
| FCVc | 4°C | 15.6 | 0.89 |
| 25°C | 4.0 | 0.91 | |
| 37°C | N/Ad | N/A | |
| F-specific coliphage | 4°C | 7.2 | 0.94 |
| 25°C | 6.5 | 0.99 | |
| 37°C | 6.2 | 0.95 |
aD-values were calculated as the negative reciprocal of the regression line from a plot of mean log10 survivor against time, based on at least 4 observations. bCoefficient of determinationcFeline calicivirusdNot applicable. Calculation not performed due to rapid die-off of inoculum resulting in <4 data points
Figure 1.
Survival curves with fitted regression lines for E. coli, F-specific coliphage MS2, and feline calicivirus in tap water at 4°C (A), 25°C (B), and 37°C (C). Regression lines were fitted to curves that consisted of at least 4 data points.
Figure 1.
Survival curves with fitted regression lines for E. coli, F-specific coliphage MS2, and feline calicivirus in tap water at 4°C (A), 25°C (B), and 37°C (C). Regression lines were fitted to curves that consisted of at least 4 data points.

Pathogenic viruses are a significant health risk in water [29,30]. In fact, there is a great deal of concern about the potential for large outbreaks of waterborne diseases by pathogens such as NoV [3,31]. This concern is exacerbated by the inability to conduct water monitoring for important viral pathogens. In this preliminary assessment, we examined comparative survival and chlorine resistance of a candidate viral indicator, a coliform bacterium, and a NoV surrogate virus to generate hypotheses for testing in more rigorously designed studies. There are two important limitations in the design of this study that must be pointed out. First, we did not account for chlorine demand by the labware and/or the microbial inocula used in the study; and second, chlorine decay was not tracked during the experiments. While both of these limitations could cause overestimation of chlorine resistance, neither affected our ability to determine survival of the challenge organisms after exposure to chlorinated water.
Long-term environmental stability of NoV is suggested by epidemiological studies [32,33]; however, this cannot be confirmed experimentally because of the inability to grow NoVs in vitro. Detection of genetic material has been used as a measure of NoV survival [34]; however, this is likely to overestimate infectious potential and should be interpreted carefully [35]. The survival and disinfection of FCV has been extensively studied [19,20,22,36,37,38,39,40,41]. Because FCV is stable in the environment at temperatures below 25°C and is highly resistant to commercial disinfectants, it is being widely used as a surrogate of NoV [21].
The significantly greater survival of FRNA phage compared to E. coli suggests that the former would be a good conservative marker of NoV in depurated shellfish, sanitized produce, and treated wastewater which are all subject to high-level chlorine treatment. The rapid decay of FCV in 50 ppm chlorine treated water was somewhat surprising because it has been shown to be highly resistant to chlorine in previous efficacy studies [21,22]. Due to a substantially lower initial concentration of FCV compared to E. coli and FRNA phage, reliable comparisons could not be made between the decay rates of FCV and the other two organisms in 50 ppm chlorine treated water. However, the D-values of the two viruses in tap water decreased with temperature and were more closely correlated with each other than with the D-values E. coli. The unexpected increase in E. coli titer with increasing temperature was probably due to more rapid chlorine decay at higher temperatures and resulting growth of the E. coli inoculum [42]. These findings suggest that F-specific coliphages are relatively resistant to chlorination and may be useful, conservative indicators of virological risk associated with products that are subject to disinfection with moderate to high concentrations of chlorine based sanitizers.
References
- Anderson, A.D.; Heryford, A.G.; Sarisky, J.P.; Higgins, C.; Monroe, S.S.; Beard, R.S.; Newport, C.M.; Cashdollar, J.L.; Fout, G.S.; Robbins, D.E.; Seys, S.A.; Musgrave, K.J.; Medus, C.; Vinje, J.; Bresee, J.S.; Mainzer, H.M.; Glass, R.I. A waterborne outbreak of Norwalk-like virus among snowmobilers-Wyoming, 2001. J. Infect. Dis. 2003, 187(2), 303–306. [Google Scholar]
- Pedalino, B.; Feely, E.; McKeown, P.; Foley, B.; Smyth, B.; Moren, A. An outbreak of Norwalk-like viral gastroenteritis in holidaymakers travelling to Andorra, January-February 2002. Euro Surveill 2003, 8(1), 1–8. [Google Scholar]
- Lopman, B.A.; Reacher, M.H.; Van Duijnhoven, Y.; Hanon, F.X.; Brown, D.; Koopmans, M. Viral gastroenteritis outbreaks in Europe, 1995-2000. Emerg. Infect. Dis. 2003, 9(1), 90–96. [Google Scholar]
- Griffin, D.W.; Donaldson, K.A.; Paul, J.H.; Rose, J.B. Pathogenic human viruses in coastal waters. Clin. Microbiol. Rev. 2003, 16(1), 129–143. [Google Scholar]
- Fleet, G.H.; Heiskanen, P.; Reid, I.; Buckle, K.A. Foodborne viral illness--status in Australia. Int. J. Food Microbiol. 2000, 59(1-2), 127–136. [Google Scholar]
- Grabow, W.O.; Taylor, M.B.; de Villiers, J.C. New methods for the detection of viruses: call for review of drinking water quality guidelines. Water Sci. Technol. 2001, 43(12), 1–8. [Google Scholar]
- Tree, J.A.; Adams, M.R.; Lees, D.N. Chlorination of indicator bacteria and viruses in primary sewage effluent. Appl. Environ. Microbiol. 2003, 69(4), 2038–2043. [Google Scholar] [CrossRef]
- Boccia, D.; Tozzi, A.E.; Cotter, B.; Rizzo, C.; Russo, T.; Buttinelli, G.; Caprioli, A.; Marziano, M.L.; Ruggeri, F.M. Waterborne outbreak of Norwalk-like virus gastroenteritis at a tourist resort, Italy. Emerg. Infect. Dis. 2002, 8(6), 563–568. [Google Scholar]
- Leclerc, H.; Schwartzbrod, L.; Dei-Cas, E. Microbial agents associated with waterborne diseases. Crit. Rev. Microbiol. 2002, 28(4), 371–409. [Google Scholar]
- Gofti-Laroche, L.; Gratacap-Cavallier, B.; Demanse, D.; Genoulaz, O.; Seigneurin, J.M.; Zmirou, D. Are waterborne astrovirus implicated in acute digestive morbidity (E.MI.R.A. study)? J. Clin. Virol. 2003, 27(1), 74–82. [Google Scholar]
- Carducci, A.; Casini, B.; Bani, A.; Rovini, E.; Verani, M.; Mazzoni, F.; Giuntini, A. Virological control of groundwater quality using biomolecular tests. Water Sci. Technol. 2003, 47(3), 261–266. [Google Scholar]
- Borchardt, M.A.; Bertz, P.D.; Spencer, S.K.; Battigelli, D.A. Incidence of enteric viruses in groundwater from household wells in Wisconsin. Appl. Environ. Microbiol. 2003, 69(2), 1172–1180. [Google Scholar]
- Jacangelo, J.G.; Loughran, P.; Petrik, B.; Simpson, D.; McIlroy, C. Removal of enteric viruses and selected microbial indicators by UV irradiation of secondary effluent. Water Sci. Technol. 2003, 47(9), 193–198. [Google Scholar]
- Formiga-Cruz, M.; Allard, A.K.; Conden-Hansson, A.C.; Henshilwood, K.; Hernroth, B.E.; Jofre, J.; Lees, D.N.; Lucena, F.; Papapetropoulou, M.; Rangdale, R.E.; Tsibouxi, A.; Vantarakis, A.; Girones, R. Evaluation of potential indicators of viral contamination in shellfish and their applicability to diverse geographical areas. Appl. Environ. Microbiol. 2003, 69(3), 1556–1563. [Google Scholar]
- Brion, G.M.; Meschke, J.S.; Sobsey, M.D. F-specific RNA coliphages: occurrence, types, and survival in natural waters. Water Res. 2002, 36(9), 2419–2425. [Google Scholar]
- Havelaar, A.H.; van Olphen, M.; Drost, Y.C. F-specific RNA bacteriophages are adequate model organisms for enteric viruses in fresh water. Appl. Environ. Microbiol. 1993, 59(9), 2956–2962. [Google Scholar]
- Dore, W.J.; Henshilwood, K.; Lees, D.N. Evaluation of F-specific RNA bacteriophage as a candidate human enteric virus indicator for bivalve molluscan shellfish. Appl. Environ. Microbiol. 2000, 66(4), 1280–1285. [Google Scholar]
- Schaper, M.; Jofre, J.; Uys, M.; Grabow, W.O. Distribution of genotypes of F-specific RNA bacteriophages in human and non-human sources of faecal pollution in South Africa and Spain. J. Appl. Microbiol. 2002, 92(4), 657–667. [Google Scholar] [CrossRef]
- Thurston-Enriquez, J.A.; Haas, C.N.; Jacangelo, J.; Riley, K.; Gerba, C.P. Inactivation of feline calicivirus and adenovirus type 40 by UV radiation. Appl. Environ. Microbiol. 2003, 69(1), 557–582. [Google Scholar]
- Slomka, M.J.; Appleton, H. Feline calicivirus as a model system for heat inactivation studies of small round structured viruses in shellfish. Epidemiol. Infect. 1998, 121(2), 401–407. [Google Scholar] [CrossRef]
- Gulati, B.R.; Allwood, P.B.; Hedberg, C.W.; Goyal, S.M. Efficacy of commonly used disinfectants for the inactivation of calicivirus on strawberry, lettuce, and a food-contact surface. J. Food Prot. 2001, 64(9), 1430–1434. [Google Scholar]
- Doultree, J.C.; Druce, J.D.; Birch, C.J.; Bowden, D.S.; Marshall, J.A. Inactivation of feline calicivirus, a Norwalk virus surrogate. J. Hosp. Infect. 1999, 41(1), 51–57. [Google Scholar]
- Taku, A.; Gulati, B.R.; Allwood, P.B.; Palazzi, K.; Hedberg, C.W.; Goyal, S.M. Concentration and detection of caliciviruses from food contact surfaces. J. Food Prot. 2002, 65(6), 999–1004. [Google Scholar]
- Allwood, P.B.; Malik, Y.S.; Hedberg, C.W.; Goyal, S.M. Survival of F-specific RNA coliphage, feline calicivirus, and Escherichia coli in water: a comparative study. Appl. Environ. Microbiol. 2003, 69(9), 5707–5710. [Google Scholar]
- Reed, L. J.; Muench, H. A simple method of estimating fifty per cent endpoints. Am. J. Hyg. 1938, 27, 493–497. [Google Scholar]
- USEPA. Method 1601: male-specific (F+) and somatic coliphage in water by two-step enrichment procedure. Available online: http://www.epa.gov/microbes/1601ap01.pdf (Accessed December 10, 2004).
- Jackson, R.W.; Osborne, K.; Barnes, G.; Jolliff, C.; Zamani, D.; Roll, B.; Stillings, A.; Herzog, D.; Cannon, S.; Loveland, S. Multiregional evaluation of the SimPlate heterotrophic plate count method compared to the standard plate count agar pour plate method in water. Appl. Environ. Microbiol. 2000, 66(1), 453–454. [Google Scholar]
- Sutton, S.V.; Franco, R.J.; Porter, D.A.; Mowrey-McKee, M.F.; Busschaert, S.C.; Hamberger, J.F.; Proud, D.W. D-value determinations are an inappropriate measure of disinfecting activity of common contact lens disinfecting solutions. Appl. Environ. Microbiol. 1999, 57(7), 2021–2026. [Google Scholar]
- World Health Organization. The right to water. Available online: http://www.who.int/water_sanitation_health/Documents/righttowater/righttowater.htm (Accessed June 24, 2005).
- World Health Organization. Water resource quality. Available online: http://www.who.int/water_sanitation_health/resourcesquality/en/ (Accessed October 10, 2003).
- Karim, M.R.; Pontius, F.W.; LeChevallier, M.W. Detection of noroviruses in water--summary of an international workshop. J. Infect. Dis. 2004, 189(1), 21–28. [Google Scholar]
- Cheesbrough, J.S.; Barkess-Jones, L.; Brown, D.W. Possible prolonged environmental survival of small round structured viruses. J. Hosp. Infect. 1997, 35(4), 325–326. [Google Scholar] [CrossRef]
- Cheesbrough, J.S.; Green, J.; Gallimore, C.I.; Wright, P.A.; Brown, D.W. Widespread environmental contamination with Norwalk-like viruses (NLV) detected in a prolonged hotel outbreak of gastroenteritis. Epidemiol. Infect. 2000, 125(1), 93–98. [Google Scholar]
- Hewitt, J.; Greening, G.E. Survival and persistence of norovirus, hepatitis A virus, and feline calicivirus in marinated mussels. J. Food Prot. 2004, 67(8), 1743–1750. [Google Scholar]
- Duizer, E.; Bijkerk, P.; Rockx, B.; De Groot, A.; Twisk, F.; Koopmans, M. Inactivation of caliciviruses. Appl. Environ. Microbiol. 2004, 70(8), 4538–454. [Google Scholar]
- Bidawid, S.; Malik, N.; Adegbunrin, O.; Sattar, S.A.; Farber, J.M. Norovirus cross-contamination during food handling and interruption of virus transfer by hand antisepsis: experiments with feline calicivirus as a surrogate. J. Food Prot. 2004, 67(1), 103–109. [Google Scholar]
- Gehrke, C.; Steinmann, J.; Goroncy-Bermes, P. Inactivation of feline calicivirus, a surrogate of norovirus (formerly Norwalk-like viruses), by different types of alcohol in vitro and in vivo. J. Hosp. Infect. 2004, 56(1), 49–55. [Google Scholar]
- Kadoi, K.; Kadoi, B. K. Stability of feline caliciviruses in marine water maintained at different temperatures. New Microbiol. 2001, 24(1), 17–21. [Google Scholar]
- Kingsley, D.H.; Hoover, D.G.; Papafragkou, E.; Richards, G.P. Inactivation of hepatitis A virus and a calicivirus by high hydrostatic pressure. J. Food Prot. 2002, 65(10), 1605–1609. [Google Scholar]
- Lee, K.M.; Gillespie, J.H. Thermal and pH stability of feline calicivirus. Infect. Immun. 1973, 7(4), 678–679. [Google Scholar]
- Nuanualsuwan, S.; Mariam, T.; Himathongkham, S.; Cliver, D.O. Ultraviolet inactivation of feline calicivirus, human enteric viruses and coliphages. Photochem. Photobiol. 2002, 76(4), 406–410. [Google Scholar]
- USEPA. Combined sewer overflow technology fact sheet: Chlorine disinfection; EPA 832-F-99-034: Washington, DC, 1999. [Google Scholar]
© 2005 MDPI. All rights reserved.