Potential to Reduce Chemical Fertilizer Application in Tea Plantations at Various Spatial Scales
Abstract
:1. Introduction
2. Materials and Methods
2.1. Province-Scale Analysis Method
2.2. Watershed-Scale Analysis Method
2.3. Field-Scale Analysis Method
3. Results
3.1. Analysis of the Potential for Chemical Fertilizer Reduction in Tea Plantations at the Province Scale
3.2. Simulation of Potential Management Measures to Reduce Fertilization in Tea Plantations at the Watershed Scale
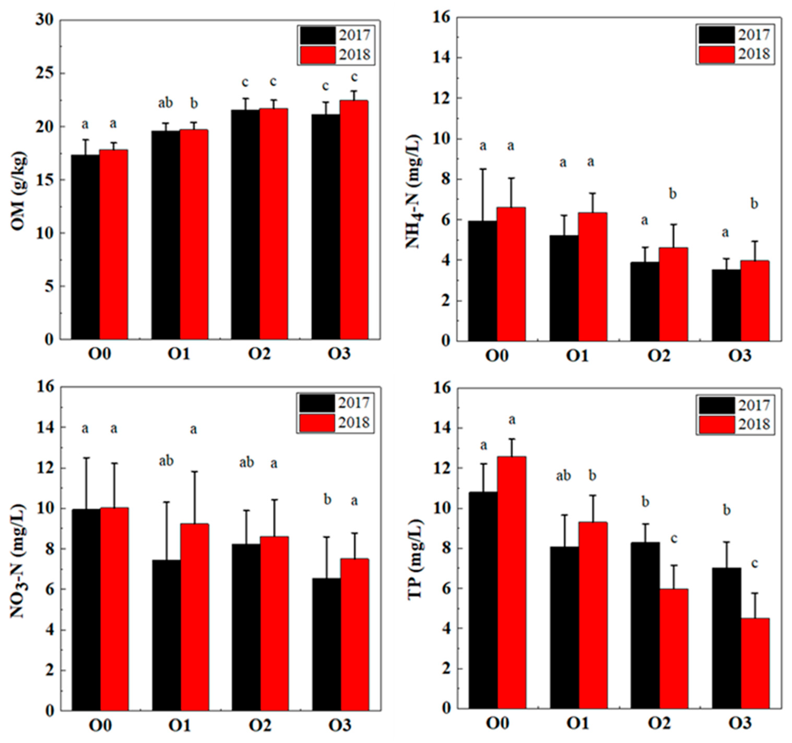
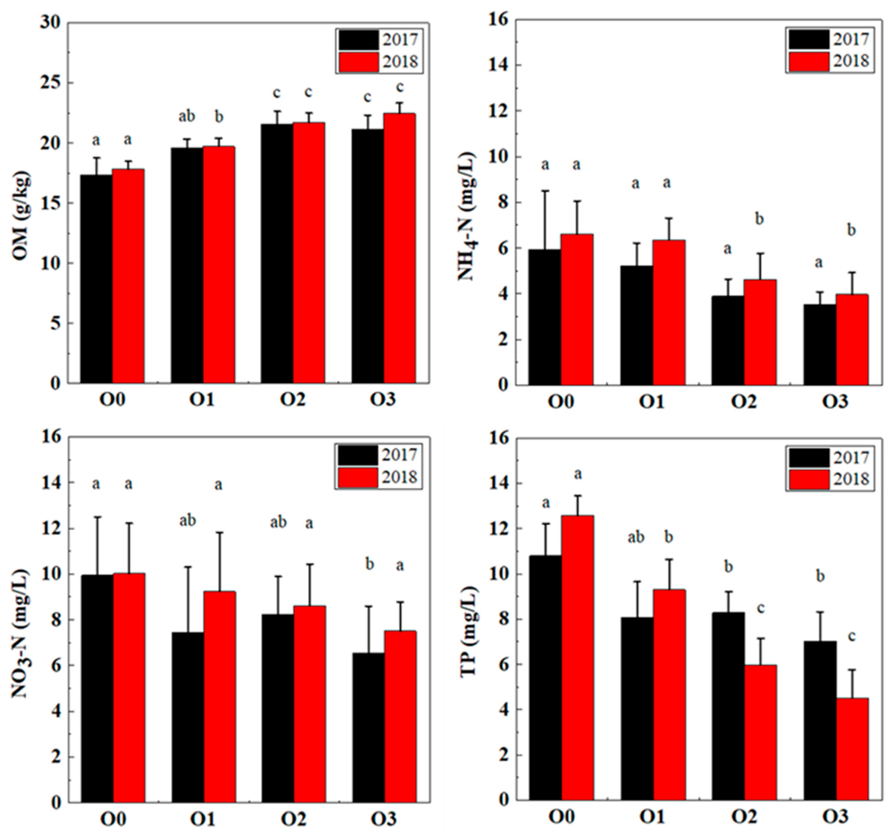
3.3. Verification of the Potential Effects of Chemical Fertilizer Reduction on Tea Plantations at the Field Scale
4. Discussion
5. Conclusions
Supplementary Materials
Author Contributions
Funding
Institutional Review Board Statement
Informed Consent Statement
Data Availability Statement
Conflicts of Interest
References
- Han, W.Y.; Kemmitt, S.J.; Brookes, P.C. Soil microbial biomass and activity in Chinese tea gardens of varying stand age and productivity. Soil Biol. Biochem. 2007, 39, 1468–1478. [Google Scholar] [CrossRef]
- Li, S.Y.; Wu, X.; Xue, H.; Gu, B.J.; Cheng, H.; Zeng, J.M.; Peng, C.H.; Ge, Y.; Chang, J. Quantifying carbon storage for tea plantations in China. Agric. Ecosyst. Environ. 2011, 141, 390–398. [Google Scholar] [CrossRef]
- NBSC. China Statistical Year Book; National Bureau of Statistics of China: Beijing, China, 2020.
- Ruan, J.; Haerdter, R.; Gerendas, J. Impact of nitrogen supply on carbon/nitrogen allocation: A case study on amino acids and catechins in green tea plants. Plant Biol. 2010, 12, 724–734. [Google Scholar] [CrossRef]
- Ji, L.; Wu, Z.; You, Z.; Yi, X.; Ni, K.; Guo, S.; Ruan, J. Effects of organic substitution for synthetic N fertilizer on soil bacterial diversity and community composition: A 10-year field trial in a tea plantation. Agric. Ecosyst. Environ. 2018, 268, 124–132. [Google Scholar] [CrossRef]
- Ni, K.; Liao, W.Y.; Yi, X.Y.; Niu, S.Y.; Ma, L.F.; Shi, Y.Z.; Zhang, Q.F.; Liu, M.Y.; Ruan, J.Y. Fertilization status and reduction potential in tea gardens of China. J. Plant Nutr. Fertil. 2019, 25, 421–432. [Google Scholar]
- Tang, S.; Zheng, N.; Ma, Q.; Zhou, J.; Sun, T.; Zhang, X.; Wu, L. Applying Nutrient Expert system for rational fertilisation to tea (Camellia sinensis) reduces environmental risks and increases economic benefits. J. Clean. Prod. 2021, 305, 127197. [Google Scholar] [CrossRef]
- Guo, W.; Fu, Y.; Ruan, B.; Ge, H.; Zhao, N. Agricultural non-point source pollution in the Yongding River Basin. Ecol. Indic. 2014, 36, 254–261. [Google Scholar] [CrossRef]
- Wang, L.; Wei, K.; Cheng, H.; He, W.; Li, X.; Gong, W. Geographical tracing of Xihu Longjing tea using high performance liquid chromatography. Food Chem. 2014, 146, 98–103. [Google Scholar] [CrossRef]
- Liu, B.; Feng, X.; Zhang, J.; Wei, Y.; Zhao, X. Preventive effect of Anji White tea flavonoids on alcohol-induced gastric injury through their antioxidant effects in kunming mice. Biomolecules 2019, 9, 137. [Google Scholar] [CrossRef] [Green Version]
- Ma, L.F.; Chen, H.J.; Shan, Y.J.; Jiang, M.B.; Zhang, G.M.; Wu, L.T.; Ruan, J.Y.; Lv, J.F.; Shi, Y.Z.; Pan, L.X.; et al. Status and Suggestions of Tea Garden Fertilization on Main Green Tea-Producing Counties in Zhejiang Province. J. Tea Sci. 2013, 33, 74–84. (In Chinese) [Google Scholar]
- Xie, S.W.; Yang, F.; Feng, H.X.; Yu, Z.Z.; Liu, C.S.; Wei, C.Y.; Liang, T. Organic fertilizer reduced carbon and nitrogen in runoff and buffered soil acidification in tea plantations: Evidence in nutrient contents and isotope fractionations. Sci. Total Environ. 2021, 762, 143059. [Google Scholar] [CrossRef]
- Yang, Y.; Li, Z.; Zhang, Y. Incentives or restrictions: Policy choices in farmers’ chemical fertilizer reduction and substitution behaviors. Int. J. Low-Carbon Technol. 2021, 16, 351–360. [Google Scholar] [CrossRef]
- Yi, X.; Yu, L.; Yin, C.; Wang, H.; Zhang, Z. The effects of China’s Organic-Substitute-Chemical-Fertilizer (OSCF) policy on greenhouse vegetable farmers. J. Clean. Prod. 2021, 297, 126677. [Google Scholar] [CrossRef]
- Zhao, J.; Ni, T.; Li, J.; Lu, Q.; Fang, Z.; Huang, Q.; Shen, Q. Effects of organic-inorganic compound fertilizer with reduced chemical fertilizer application on crop yields, soil biological activity and bacterial community structure in a rice-wheat cropping system. Appl. Soil Ecol. 2016, 99, 1–12. [Google Scholar] [CrossRef]
- Ning, C.C.; Gao, P.D.; Wang, B.Q.; Lin, W.P.; Jiang, N.H.; Cai, K.Z. Impacts of chemical fertilizer reduction and organic amendments supplementation on soil nutrient, enzyme activity and heavy metal content. J. Integr. Agric. 2017, 16, 1819–1831. [Google Scholar] [CrossRef] [Green Version]
- Gabriel, D.; Sait, S.M.; Hodgson, J.A.; Schmutz, U.; Kunin, W.E.; Benton, T.G. Scale matters: The impact of organic farming on biodiversity at different spatial scales. Ecol. Lett. 2010, 13, 858–869. [Google Scholar] [CrossRef]
- Yang, J.; Lin, Y. Driving factors of total-factor substitution efficiency of chemical fertilizer input and related environmental regulation policy: A case study of Zhejiang Province. Environ. Pollut. 2020, 263, 114541. [Google Scholar] [CrossRef]
- Owuor, P.O.; Wachira, F.N.; Ngetich, W.K. Influence of region of production on relative clonal plain tea quality parameters in Kenya. Food Chem. 2010, 119, 1168–1174. [Google Scholar] [CrossRef]
- Li, B.; Zhang, F.; Zhang, L.W.; Huang, J.F.; Jin, Z.F.; DK Gupta. Comprehensive suitability evaluation of tea crops using GIS and a modified land ecological suitability evaluation model. Pedosphere 2012, 22, 122–130. [Google Scholar] [CrossRef]
- Francesconi, W.; Srinivasan, R.; Perez-Minana, E.; Willcock, S.P.; Quintero, M. Using the Soil and Water Assessment Tool (SWAT) to model ecosystem services: A systematic review. J. Hydrol. 2016, 535, 625–636. [Google Scholar] [CrossRef]
- Wang, R.Y.; Yuan, Y.P.; Yen, H.; Grieneisen, M.; Arnold, J.; Wang, D.; Wang, C.Z.; Zhang, M.H. A review of pesticide fate and transport simulation at watershed level using SWAT: Current status and research concerns. Sci. Total Environ. 2019, 669, 512–526. [Google Scholar] [CrossRef] [PubMed]
- Abbaspour, K.C.; Rouholahnejad, E.; Vaghefi, S.; Srinivasan, R.; Yang, H.; Kløve, B. A continental-scale hydrology and water quality model for Europe: Calibration and uncertainty of a high-resolution large-scale SWAT model. J. Hydrol. 2015, 524, 733–752. [Google Scholar] [CrossRef] [Green Version]
- Moriasi, D.N.; Arnold, J.G.; Van Liew, M.W.; Bingner, R.L.; Harmel, R.D.; Veith, T.L. Model evaluation guidelines for systematic quantification of accuracy in watershed simulations. Trans. ASABE 2007, 50, 885–900. [Google Scholar] [CrossRef]
- In, S.Q.; Lu, J.; Chen, D.J.; Shen, Y.N. Comparative study of water quality of three typical tributaries within Cao-e River system. J. Soil Water Conserv. 2006, 5, 121–125. (In Chinese) [Google Scholar]
- Wang, Z.; Geng, Y.; Liang, T. Optimization of reduced chemical fertilizer use in tea gardens based on the assessment of related environmental and economic benefits. Sci. Total Environ. 2020, 713, 136439. [Google Scholar] [CrossRef]
- Chen, Y.; Wang, F.; Wu, Z.; Jiang, F.; Yu, W.; Yang, J.; Zeng, L. Effects of Long-Term Nitrogen Fertilization on the Formation of Metabolites Related to Tea Quality in Subtropical China. Metabolites 2021, 11, 146. [Google Scholar] [CrossRef]
- Tian, X. Study on ICP-AES analysis method of simultaneously high-speed determination for quick-acting P and K in the soil. Chin. J. Spectrosc. Lab. 1997, 14, 40–43. [Google Scholar]
- Xie, S.W.; Feng, H.X.; Yang, F.; Zhao, Z.D.; Hu, X.D.; Wei, C.Y.; Liang, T.; Li, H.T.; Geng, Y.B. Does dual reduction in chemical fertilizer and pesticides improve nutrient loss and tea yield and quality? A pilot study in a green tea garden in Shaoxing, Zhejiang Province, China. Environ. Sci. Pollut. Res. 2019, 26, 2464–2476. [Google Scholar] [CrossRef]
- Jin, Z.F.; Wang, Z.H.; Yap, Y.P.; Li, R.Z.; Wang, Y.F.; Lu, J.W.; Ye, J.G.; Xu, P. Evaluation of tea climate quality grade in Zhejiang. Chin. J. Ecol. 2015, 34, 1456–1463. [Google Scholar]
- Groffman, P.M.; Boulware, N.J.; Zipperer, W.C.; Pouyat, R.V.; Band, L.E.; Colosimo, M.F. Soil nitrogen cycle processes in, urban riparian zones. Environ. Sci. Technol. 2002, 36, 4547–4552. [Google Scholar] [CrossRef]
- Arnold, J.G.; Moriasi, D.N.; Gassman, P.W.; Abbaspour, K.C.; White, M.J.; Srinivasan, R.; Santhi, C.; Harmel, R.D.; Griensven, A.; Van Liew, M.W.; et al. SWAT: Model use, calibration, and validation. Trans. ASABE 2012, 55, 1491–1508. [Google Scholar] [CrossRef]
- Adugna, G. A review on impact of compost on soil properties, water use and crop productivity. Acad. Res. J. Agric. Sci. Res. 2016, 4, 93–104. [Google Scholar]
- Lehmann, J.; Bossio, D.A.; Kögel-Knabner, I.; Rillig, M.C. The concept and future prospects of soil health. Nat. Rev. Earth Environ. 2020, 1, 544–553. [Google Scholar] [CrossRef] [PubMed]
- Mitchell, G. Mapping hazard from urban non-point pollution: A screening model to support sustainable urban drainage planning. J. Environ. Manag. 2005, 74, 1–9. [Google Scholar] [CrossRef] [PubMed] [Green Version]
- Meng, Q.H.; Fu, B.J.; Tang, X.P.; Ren, H.C. Effects of land use on phosphorus loss in the hilly area of the Loess Plateau, China. Environ. Monit. Assess. 2008, 139, 195–204. [Google Scholar] [CrossRef] [PubMed]
- Gitau, M.W.; Gburek, W.J.; Bishop, P.L. Use of the SWAT model to quantify water quality effects of agricultural BMPs at the farm-scale level. Trans. ASABE 2008, 51, 1925–1936. [Google Scholar] [CrossRef]
- Uniyal, B.; Jha, M.K.; Verma, A.K.; Anebagilu, P.K. Identification of critical areas and evaluation of best management practices using SWAT for sustainable watershed management. Sci. Total Environ. 2020, 744, 140737. [Google Scholar] [CrossRef]
- Darch, T.; Blackwell, M.S.A.; Hawkins, J.M.B.; Haygarth, P.M.; Chadwick, D. A meta-analysis of organic and inorganic phosphorus in organic fertilizers, soils, and water: Implications for water quality. Crit. Rev. Environ. Sci. Technol. 2014, 44, 2172–2202. [Google Scholar] [CrossRef]
- Strokal, M.; Kahil, T.; Wada, Y.; Albiac, Z.; Bai, Z.; Ermolieva, T.; Langan, S.; Ma, L.; Oenema, O.; Wagner, F.; et al. Cost-effective management of coastal eutrophication: A case study for the yangtze river basin. Resour. Conserv. Recycl. 2020, 154, 104635. [Google Scholar] [CrossRef]
- Wang, S.Q.; Li, T.X.; Zheng, Z.C. Effect of tea plantation age on the distribution of soil organic carbon and nutrient within micro-aggregates in the hilly region of western Sichuan, China. Ecol. Eng. 2016, 90, 113–119. [Google Scholar] [CrossRef]
- Franklin, D.; Truman, C.; Potter, T.; Bosch, D.; Strickland, T.; Bednarz, C. Nitrogen and phosphorus runoff losses from variable and constant intensity rainfall simulations on loamy sand under conventional and strip tillage systems. J. Environ. Qual. 2007, 36, 846–854. [Google Scholar] [CrossRef] [PubMed]
- Tan, D.S.; Jiang, L.H.; Tan, S.Y.; Zheng, F.L.; Xu, Y.; Cui, R.Z.; Wang, M.; Shi, J.; Li, G.S.; Liu, Z.H. An in situ study of inorganic nitrogen flow under different fertilization treatments on a wheat-maize rotation system surrounding Nansi Lake, China. Agric. Water Manag. 2013, 123, 45–54. [Google Scholar] [CrossRef]
- Bulluck, L.R.; Brosius, M.; Evanylo, G.K.; Ristaino, J.B. Organic and synthetic fertility amendments influence soil microbial, physical and chemical properties on organic and conventional farms. Appl. Soil Ecol. 2002, 19, 147–160. [Google Scholar] [CrossRef]
- Koper, T.E.; Habteselassie, M.Y.; Stark, J.M.; Norton, J.M. Nitrification exhibits Haldane kinetics in an agricultural soil treated with ammonium sulfate or dairy-waste compost. FEMS Microbiol. Ecol. 2010, 74, 316–322. [Google Scholar] [CrossRef] [Green Version]
- Shan, L.N.; He, Y.F.; Chen, J.; Huang, Q.; Lian, X.; Wang, H.C.; Liu, Y.L. Nitrogen surface runoff losses from a Chinese cabbage field under different nitrogen treatments in the Taihu Lake Basin, China. Agric. Water Manag. 2015, 159, 255–263. [Google Scholar] [CrossRef]
- Khan, N.; Mukhtar, H. Tea polyphenols in promotion of human health. Nutrients 2019, 11, 39. [Google Scholar] [CrossRef] [PubMed] [Green Version]
- Lin, Y.S.; Tsai, Y.J.; Tsay, J.S.; Lin, J.K. Factors affecting the levels of tea polyphenols and caffeine in tea leaves. J. Agric. Food Chem. 2003, 51, 1864–1873. [Google Scholar] [CrossRef]
- Pan, X.; Niu, G.; Liu, H. Microwave-assisted extraction of tea polyphenols and tea caffeine from green tea leaves. Chem. Eng. Process. Process Intensif. 2003, 42, 129–133. [Google Scholar] [CrossRef]





| Fertilizer Treatment | Type and Dose of Fertilizer (kg/hm2) | ||||
|---|---|---|---|---|---|
| Compound Fertilizer | Urea | Calcium Superphosphate | Potassium Sulfate | Rapeseed Cake | |
| 100% chemical fertilizer (0% organic fertilizer substitution) (O0) | 600 | 782 | 500 | 350 | - |
| 20% organic fertilizer substitution (O1) | - | 761 | 1049 | 480 | 1904 |
| 50% organic fertilizer substitution (O2) | - | 478 | 995 | 450 | 3928 |
| 80% organic fertilizer substitution (O3) | - | 191 | 870 | 421 | 6207 |
| Fertilizer Reduction Scenario | Description | Code | TN (t/mon) | Variable Rate (%) | TP (t/mon) | Variable Rate (%) |
|---|---|---|---|---|---|---|
| Nonreduction fertilizer application | 100% application | O0 | 256.6 | - | 36.5 | - |
| Chemical fertilizer reduction | Reduction of 20% | C1 | 253.4 | −1.3 | 36.2 | −0.8 |
| Reduction of 50% | C2 | 251.3 | −2.1 | 35.8 | −1.9 | |
| Reduction of 80% | C3 | 249.6 | −2.7 | 35.4 | −3.0 | |
| Organic fertilizer substitution | Substitution of 20% | O1 | 254.0 | −1.0 | 36.3 | −0.6 |
| Substitution of 50% | O2 | 252.8 | −1.5 | 35.9 | −1.6 | |
| Substitution of 80% | O3 | 251.1 | −2.1 | 35.4 | −3.0 |
Publisher’s Note: MDPI stays neutral with regard to jurisdictional claims in published maps and institutional affiliations. |
© 2022 by the authors. Licensee MDPI, Basel, Switzerland. This article is an open access article distributed under the terms and conditions of the Creative Commons Attribution (CC BY) license (https://creativecommons.org/licenses/by/4.0/).
Share and Cite
Xie, S.; Yang, F.; Feng, H.; Yu, Z.; Wei, X.; Liu, C.; Wei, C. Potential to Reduce Chemical Fertilizer Application in Tea Plantations at Various Spatial Scales. Int. J. Environ. Res. Public Health 2022, 19, 5243. https://doi.org/10.3390/ijerph19095243
Xie S, Yang F, Feng H, Yu Z, Wei X, Liu C, Wei C. Potential to Reduce Chemical Fertilizer Application in Tea Plantations at Various Spatial Scales. International Journal of Environmental Research and Public Health. 2022; 19(9):5243. https://doi.org/10.3390/ijerph19095243
Chicago/Turabian StyleXie, Shaowen, Fen Yang, Hanxiao Feng, Zhenzhen Yu, Xinghu Wei, Chengshuai Liu, and Chaoyang Wei. 2022. "Potential to Reduce Chemical Fertilizer Application in Tea Plantations at Various Spatial Scales" International Journal of Environmental Research and Public Health 19, no. 9: 5243. https://doi.org/10.3390/ijerph19095243
APA StyleXie, S., Yang, F., Feng, H., Yu, Z., Wei, X., Liu, C., & Wei, C. (2022). Potential to Reduce Chemical Fertilizer Application in Tea Plantations at Various Spatial Scales. International Journal of Environmental Research and Public Health, 19(9), 5243. https://doi.org/10.3390/ijerph19095243

