Contextualising the Effectiveness of an Employee Assistance Program Intervention on Psychological Health: The Role of Corporate Climate
Abstract
1. Introduction
1.1. Psychological Health and Wellbeing
1.2. Employee Assistance Programs
1.3. Psychosocial Safety Climate
1.4. Client Satisfaction
2. Method
2.1. Participants
2.2. Design
2.3. Materials and Measures
2.3.1. Demographic Measures
2.3.2. Psychological Distress
2.3.3. Psychosocial Safety Climate
2.3.4. Client Satisfaction
2.4. Procedure
2.5. Data Analysis
3. Results
3.1. Descriptive Results
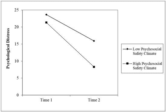
3.2. Hypothesis Results
4. Discussion
4.1. Theoretical Implications
4.2. Practical Implications
4.3. Limitations
4.4. Future Research
5. Conclusions
Author Contributions
Funding
Institutional Review Board Statement
Informed Consent Statement
Conflicts of Interest
References
- Bhagat, R.S.; Steverson, P.K.; Segovis, J.C. Cultural variations in employee assistance programs in an era of globalization. In The Influence of Culture on Human Resource Management Processes and Practices; Psychology Press: Hove, UK, 2008; pp. 225–252. [Google Scholar] [CrossRef]
- EAPAA—Employee Assistance Professional Association of Australasia. 2021. Available online: https://eapaa.org.au/site/ (accessed on 9 March 2022).
- Dewe, P.J.; O’Driscoll, M.P.; Cooper, C. Coping with Work Stress: A Review and Critique; Wiley: Hoboken, NJ, USA, 2010. [Google Scholar] [CrossRef]
- Safe Work Australia. Mental Health. Canberra: Safe Work Australia; Safe Work Australia: Canberra, Australia, 2019. [Google Scholar]
- International Employee Assistance Professionals Association. Available online: https://eapaireland.ie/what-is-an-eap/ (accessed on 9 March 2022).
- Kirk, A.K.; Brown, D.F. Chapter 18: Australian Perspectives on the Organizational Integration of Employee Assistance Services. J. Work. Behav. Health 2005, 20, 351–366. [Google Scholar] [CrossRef]
- Pignata, S.; Boyd, C.; Winefield, A.H.; Provis, C. Interventions: Employees’ Perceptions of What Reduces Stress. BioMed Res. Int. 2017, 2017, 3919080. [Google Scholar] [CrossRef]
- Allender, S.; Colquhoun, D.; Kelly, P. Governing the working population through workplace health: Knowledge, self and power in workplace health programs. Crit. Public Health 2006, 16, 131–142. [Google Scholar] [CrossRef]
- Follmer, K.B.; Jones, K.S. Mental Illness in the Workplace: An Interdisciplinary Review and Organizational Research Agenda. J. Manag. 2017, 44, 325–351. [Google Scholar] [CrossRef]
- Shann, C.; Martin, A.; Chester, A.; Ruddock, S. Effectiveness and application of an online leadership intervention to promote mental health and reduce depression-related stigma in organizations. J. Occup. Health Psychol. 2019, 24, 20–35. [Google Scholar] [CrossRef] [PubMed]
- Bailey, T.S.; McLinton, S.S.; Dollard, M.F.; Burke, R.; Noblet, A.; Cooper, C. Psychosocial risk factors for stress and stress claim differences between the public and private sectors. In Human Resource Management in the Public Sector; Edward Elgar Publishing: Cheltenham, UK, 2013; pp. 63–89. [Google Scholar] [CrossRef]
- Attridge, M. A Global Perspective on Promoting Workplace Mental Health and the Role of Employee Assistance Programs; Sage Publications Sage CA: Los Angeles, CA, USA, 2019; Volume 33, pp. 622–629. [Google Scholar]
- Nicholson, J. The false profit. Occup. Health Wellbeing 2017, 69, 11–13. Available online: http://search.proquest.com/docview/1872569368/ (accessed on 9 March 2022).
- Nunes, A.P.; Richmond, M.K.; Pampel, F.C.; Wood, R.C. The Effect of Employee Assistance Services on Reductions in Employee Absenteeism. J. Bus. Psychol. 2017, 33, 699–709. [Google Scholar] [CrossRef]
- Rezagholi, A.B.M. Making Economic Social Decisions for Improving Occupational Health—A Predictive Cost-Benefit Analysis. Occup. Med. Health Aff. 2015, 3, 225. [Google Scholar] [CrossRef]
- Compton, R. Who needs an employee assistance program? Asia Pac. J. Hum. Resour. 1988, 26, 101–110. [Google Scholar] [CrossRef]
- Joseph, B.; Walker, A. Employee assistance programs in Australia: The perspectives of organisational leaders across sectors. Asia Pac. J. Hum. Resour. 2016, 55, 177–191. [Google Scholar] [CrossRef]
- Carroll, R.L. Work-related stress: Care and compensation. Med. J. Aust. 2002, 177, 398. [Google Scholar] [CrossRef] [PubMed]
- Masi, D.A. (Ed.) The International Employee Assistance Compendium, 3rd ed.; Masi Research Consultants: Boston, MA, USA, 2005. [Google Scholar]
- Kirk-Brown, A.; Wallace, D. Predicting burnout and job satisfaction in workplace counselors: The influence of role stressors, job challenge, and organizational knowledge. J. Employ. Couns. 2004, 41, 29–37. [Google Scholar] [CrossRef]
- Compton, R.-L.; McManus, J.G. Employee Assistance Programs in Australia: Evaluating Success. J. Work. Behav. Health 2015, 30, 32–45. [Google Scholar] [CrossRef]
- McCann, B.; Azzone, V.; Merrick, E.L.; Hiatt, D.; Hodgkin, D.; Horgan, C.M. Employer Choices in Employee Assistance Program Design and Worksite Services. J. Work. Behav. Health 2010, 25, 89–106. [Google Scholar] [CrossRef] [PubMed][Green Version]
- Payne, N.; Jones, F.; Harris, P.R. Employees’ perceptions of the impact of work on health behaviours. J. Health Psychol. 2012, 18, 887–899. [Google Scholar] [CrossRef] [PubMed]
- Safe Work Australia. Australian Workers’ Compensation Statistics; Safe Work Australia: Canberra, ACT, Australia, 2018. [Google Scholar]
- Joseph, B.; Walker, A.; Fuller-Tyszkiewicz, M. Evaluating the effectiveness of employee assistance programmes: A systematic review. Eur. J. Work Organ. Psychol. 2017, 27, 1–15. [Google Scholar] [CrossRef]
- Sasso, A.T.L.; Rost, K.; Beck, A. Modeling the Impact of Enhanced Depression Treatment on Workplace Functioning and Costs. Med. Care 2006, 44, 352–358. [Google Scholar] [CrossRef]
- Roche, A.; Kostadinov, V.; Cameron, J.; Pidd, K.; McEntee, A.; Duraisingam, V. The development and characteristics of Employee Assistance Programs around the globe. J. Work. Behav. Health 2018, 33, 168–186. [Google Scholar] [CrossRef]
- McLeod, J.; McLeod, J. How effective is workplace counselling? A review of the research literature. Couns. Psychother. Res. 2001, 1, 184–190. [Google Scholar] [CrossRef]
- McLeod, J. The effectiveness of workplace counselling: A systematic review. Couns. Psychother. Res. 2010, 10, 238–248. [Google Scholar] [CrossRef]
- Dickerson, S.J.; Murphy, M.W.; Clavelle, P.R. Work Adjustment and General Level of Functioning Pre- and Post-EAP Counseling. J. Work. Behav. Health 2012, 27, 217–226. [Google Scholar] [CrossRef]
- Harlow, K.C. The Effectiveness of a Problem Resolution and Brief Counseling EAP Intervention. J. Work. Behav. Health 2006, 22, 1–12. [Google Scholar] [CrossRef]
- Kinder, A. Study confirms effectiveness of EAP counseling. Strat. HR Rev. 2013, 12, 164–166. [Google Scholar] [CrossRef]
- Eastern, J. Commentary—Employee Rewards. Internal Medicine News. 2011. Available online: https://www.mdedge.com/internalmedicine/article/46781/commentary-employee-rewards (accessed on 9 March 2022).
- Selvick, R.; Bingaman, D. EAP outcomes: From the client’s point of view. EAP Dig. 1998, 9, 21–23. [Google Scholar]
- Arthur, A. Employee Assistance Programmes: The Emperor’s new clothes of stress management? Br. J. Guid. Couns. 2000, 28, 549–559. [Google Scholar] [CrossRef]
- Kirk, A.K.; Brown, D.F. Employee assistance programs: A review of the management of stress and wellbeing through workplace counselling and consulting. Aust. Psychol. 2003, 38, 138–143. [Google Scholar] [CrossRef]
- Dollard, M.F.; Karasek, R.A. Building psychosocial safety climate. In Contemporary Occupational Health Psychology: Global Perspectives on Research and Practice; Houdmont, J., Leka, S., Eds.; Wiley & Sons: Hoboken, NJ, USA, 2010; pp. 208–233. [Google Scholar] [CrossRef]
- Grossmeier, J.; Terry, P. Measuring a broader value proposition: Capturing the connections between health, well-being, and performance. Am. J. Health Promot. 2014, 29, 10–12. [Google Scholar]
- Leiter, M.P.; Laschinger, H.K.S.; Day, A.; Oore, D.G. The impact of civility interventions on employee social behavior, distress, and attitudes. J. Appl. Psychol. 2011, 96, 1258–1274. [Google Scholar] [CrossRef] [PubMed]
- Csiernik, R. A Review of EAP Evaluation in the 1990s. Empl. Assist. Q. 2005, 19, 21–37. [Google Scholar] [CrossRef]
- Dollard, M.; Bailey, T. The Australian Workplace Barometer: Psychosocial Safety Climate and Working Conditions in Australia; Australian Academic Press: Bowen Hills, QLD, Australia, 2014. [Google Scholar]
- Dollard, M.F.; Tuckey, M.R.; Dormann, C. Psychosocial safety climate moderates the job demand–resource interaction in predicting workgroup distress. Accid. Anal. Prev. 2012, 45, 694–704. [Google Scholar] [CrossRef] [PubMed]
- Dollard, M.F.; Bakker, A.B. Psychosocial safety climate as a precursor to conducive work environments, psychological health problems, and employee engagement. J. Occup. Organ. Psychol. 2010, 83, 579–599. [Google Scholar] [CrossRef]
- Afsharian, A.; Zadow, A.; Dollard, M.F. Psychosocial Safety Climate from two different cultural perspectives in the Asia Pacific: Iran and Australia Hospitals. In Psychosocial Factors at Work in the Asia Pacific; Shimazu, A., Nordin, R.B., Dollard, M., Oakmen, J., Eds.; Springer: Berlin/Heidelberg, Germany, 2016; pp. 187–201. [Google Scholar]
- Haines, V.Y.; Petit, A.; Lefrançois, S. Explaining Client Satisfaction with an Employee Assistance Program. Empl. Assist. Q. 1999, 14, 65–78. [Google Scholar] [CrossRef]
- Shakespeare-Finch, J. A Multi-Method Evaluation of an Australian Emergency Service Employee Assistance Program. Empl. Assist. Q. 2005, 19, 71–91. [Google Scholar] [CrossRef]
- Philips, S. Client Satisfaction with University Employee Assistance Programs. Empl. Assist. Q. 2005, 19, 59–70. [Google Scholar] [CrossRef]
- Petkovska, M.S.; Bojadjiev, M.I.; Stefanovska, V.V. Reliability, Validity and Factor Structure of the 12-Item General Health Questionnaire among General Population. Open Access Maced. J. Med Sci. 2015, 3, 478–483. [Google Scholar] [CrossRef] [PubMed]
- Sánchez-López, M.D.P.; Dresch, V. The 12-Item General Health Questionnaire (GHQ-12): Reliability, external validity and factor structure in the Spanish population. Psicothema 2008, 20, 839–843. [Google Scholar]
- Farrell, G.A. The mental health of hospital nurses in Tasmania as measured by the 12-item General Health Questionnaire. J. Adv. Nurs. 1998, 28, 707–712. [Google Scholar] [CrossRef] [PubMed]
- Motamed, N.; Zakeri, S.E.; Rabiee, B.; Maadi, M.; Khonsari, M.R.; Keyvani, H.; Hosseini, S.H.; Zamani, F. The Factor Structure of the Twelve Items General Health Questionnaire (GHQ-12): A Population Based Study. Appl. Res. Qual. Life 2017, 13, 303–316. [Google Scholar] [CrossRef]
- Donath, S. The Validity of the 12-Item General Health Questionnaire in Australia: A Comparison Between Three Scoring Methods. Aust. N. Zeal. J. Psychiatry 2001, 35, 231–235. [Google Scholar] [CrossRef]
- General Health Questionnaire (GHQ). 2019. Available online: https://www.gl-assessment.co.uk/products/general-health-questionnaire-ghq/ (accessed on 9 March 2022).
- Hall, G.B.; Dollard, M.F.; Coward, J. Psychosocial safety climate: Development of the PSC-12. Int. J. Stress Manag. 2010, 17, 353–383. [Google Scholar] [CrossRef]
- Dollard, M.F.; Dormann, C.; Tuckey, M.R.; Escartín, J. Psychosocial safety climate (PSC) and enacted PSC for workplace bullying and psychological health problem reduction. Eur. J. Work Organ. Psychol. 2017, 26, 844–857. [Google Scholar] [CrossRef]
- Dersch, C.A.; Shumway, S.T.; Harris, S.M.; Arredondo, R. A New Comprehensive Measure of EAP Satisfaction. Empl. Assist. Q. 2001, 17, 55–60. [Google Scholar] [CrossRef]
- Shumway, S.T.; Dersch, C.A.; Harris, S.M.; Arredondo, R. Two Outcome Measures of EAP Satisfaction. Empl. Assist. Q. 2001, 16, 71–79. [Google Scholar] [CrossRef]
- Greenfield, T.K.; Attkisson, C.C. Steps toward a multifactorial satisfaction scale for primary care and mental health services. Eval. Program Plan. 1989, 12, 271–278. [Google Scholar] [CrossRef]
- Roberts, R.E.; Atrkisson, C.C.; Mendias, R.M. Assessing the Client Satisfaction Questionnaire in English and Spanish. Hisp. J. Behav. Sci. 1984, 6, 385–396. [Google Scholar] [CrossRef]
- Larsen, D.L.; Attkisson, C.; Hargreaves, W.A.; Nguyen, T.D. Assessment of client/patient satisfaction: Development of a general scale. Evaluation Program Plan. 1979, 2, 197–207. [Google Scholar] [CrossRef]
- De Wilde, E.F.; Hendriks, V.M. The Client Satisfaction Questionnaire: Psychometric Properties in a Dutch Addict Population. Eur. Addict. Res. 2005, 11, 157–162. [Google Scholar] [CrossRef] [PubMed]
- Kelly, P.J.; Kyngdon, F.; Ingram, I.; Deane, F.P.; Baker, A.L.; Osborne, B.A. The Client Satisfaction Questionnaire-8: Psychometric properties in a cross-sectional survey of people attending residential substance abuse treatment. Drug Alcohol Rev. 2017, 37, 79–86. [Google Scholar] [CrossRef]
- Cohen, J. A power primer. Psychol. Bull. 1992, 112, 155–159. [Google Scholar] [CrossRef] [PubMed]
- Raudenbush, S.W.; Bryk, A.S.; Cheong, Y.F.; Congdon, R.; Du Toit, M. HLM 7: Linear and Nonlinear Modelling; Scientific Software International Inc.: Lincolnwood, IL, USA, 2011. [Google Scholar]
- Little, R.J.A. Modeling the Drop-Out Mechanism in Repeated-Measures Studies. J. Am. Stat. Assoc. 1995, 90, 1112. [Google Scholar] [CrossRef]
- Le Blanc, P.M.; Hox, J.J.; Schaufeli, W.; Taris, T.W.; Peeters, M.C.W. Take care! The evaluation of a team-based burnout intervention program for oncology care providers. J. Appl. Psychol. 2007, 92, 213–227. [Google Scholar] [CrossRef] [PubMed]
- Bliese, P.D.; Maltarich, M.A.; Hendricks, J.L. Back to Basics with Mixed-Effects Models: Nine Take-Away Points. J. Bus. Psychol. 2017, 33, 1–23. [Google Scholar] [CrossRef]
- Lawrie, E.J.; Tuckey, M.R.; Dollard, M.F. Job design for mindful work: The boosting effect of psychosocial safety climate. J. Occup. Health Psychol. 2018, 23, 483–495. [Google Scholar] [CrossRef] [PubMed]
- Bentley, T.A.; Teo, S.T.; Nguyen, D.T.; Blackwood, K.; Catley, B.; Gardner, D.; Forsyth, D.; Bone, K.; Tappin, D.; D’Souza, N.; et al. Psychosocial influences on psychological distress and turnover intentions in the workplace. Saf. Sci. 2021, 137, 105200. [Google Scholar] [CrossRef]

| M | SD | n | 1 | 2 | 3 | 4 | 5 | |
|---|---|---|---|---|---|---|---|---|
| 1. EAP Completed | 1.88 | 0.78 | 25 | 1 | ||||
| 2. GHQ (T1) | 22.40 | 6.80 | 25 | −0.08 | 1 | |||
| 3. GHQ (T2) | 12.21 | 7.22 | 25 | 0.45 * | 0.02 | 1 | ||
| 4. PSC (T1) | 34.99 | 12.45 | 25 | −0.39 | −0.17 | −0.53 ** | 1 | |
| 5. PSC (T2) | 37.56 | 1.79 | 25 | 0.09 | 0.04 | −0.14 | 0.22 | 1 |
| 6. Satisfaction (T2) | 16.96 | 1.88 | 25 | 0.31 | −0.03 | −0.18 | 0.16 | 0.27 |
| Fixed Effect | Coefficient | SE | t-Ratio | df | p |
|---|---|---|---|---|---|
| For Intercept 1 | |||||
| Intercept | 32.59 | 2.75 | 11.87 | 23 | <0.001 |
| PSC (T1) | 0.12 | 0.18 | 0.67 | 23 | 0.51 |
| For TIME slope | |||||
| Intercept 2 | −10.19 | 1.66 | −6.13 | 23 | <0.001 |
| PSC (T1) | −0.21 | 0.10 | −2.17 | 23 | 0.041 |
| Fixed Effect | Coefficient | SE | t-Ratio | df | p |
|---|---|---|---|---|---|
| For Intercept 1 | |||||
| Intercept 2 | 32.60 | 3.41 | 9.55 | 22 | <0.001 |
| Satisfaction (T2) | 0.44 | 1.32 | 0.33 | 22 | 0.74 |
| For TIME slope | |||||
| Intercept 2 | −9.86 | 2.05 | −4.81 | 22 | <0.001 |
| Satisfaction (T2) | −0.56 | 0.83 | −0.67 | 22 | 0.507 |
Publisher’s Note: MDPI stays neutral with regard to jurisdictional claims in published maps and institutional affiliations. |
© 2022 by the authors. Licensee MDPI, Basel, Switzerland. This article is an open access article distributed under the terms and conditions of the Creative Commons Attribution (CC BY) license (https://creativecommons.org/licenses/by/4.0/).
Share and Cite
Bouzikos, S.; Afsharian, A.; Dollard, M.; Brecht, O. Contextualising the Effectiveness of an Employee Assistance Program Intervention on Psychological Health: The Role of Corporate Climate. Int. J. Environ. Res. Public Health 2022, 19, 5067. https://doi.org/10.3390/ijerph19095067
Bouzikos S, Afsharian A, Dollard M, Brecht O. Contextualising the Effectiveness of an Employee Assistance Program Intervention on Psychological Health: The Role of Corporate Climate. International Journal of Environmental Research and Public Health. 2022; 19(9):5067. https://doi.org/10.3390/ijerph19095067
Chicago/Turabian StyleBouzikos, Sophia, Ali Afsharian, Maureen Dollard, and Oliver Brecht. 2022. "Contextualising the Effectiveness of an Employee Assistance Program Intervention on Psychological Health: The Role of Corporate Climate" International Journal of Environmental Research and Public Health 19, no. 9: 5067. https://doi.org/10.3390/ijerph19095067
APA StyleBouzikos, S., Afsharian, A., Dollard, M., & Brecht, O. (2022). Contextualising the Effectiveness of an Employee Assistance Program Intervention on Psychological Health: The Role of Corporate Climate. International Journal of Environmental Research and Public Health, 19(9), 5067. https://doi.org/10.3390/ijerph19095067

