A Pre–Post Study on the Cardiorespiratory Response to Different Protocols of Exposure on a Vibratory Platform in Young Healthy Individuals
Abstract
1. Introduction
1.1. The Principle of Whole-Body Vibration and Its Application in Medicine
1.2. The Effects of Whole-Body Vibration on the Cardiorespiratory System and New Perspectives for Investigation
2. Materials and Methods
2.1. Aim of the Study and Premise
2.2. Participants and Type of Study
2.3. Data Acquisition
2.4. Outcomes and Statistical Analysis
3. Results
4. Discussion
5. Conclusions
Author Contributions
Funding
Institutional Review Board Statement
Informed Consent Statement
Data Availability Statement
Conflicts of Interest
References
- Verschueren, S.M.P.; Roelants, M.; Delecluse, C.; Swinnen, S.; Vanderschueren, D.; Boonen, S. Effect of 6-month whole body vibration training on hip density, muscle strength, and postural control in postmenopausal women: A randomized controlled pilot study. J. Bone Miner. Res. 2004, 19, 352–359. [Google Scholar] [CrossRef] [PubMed]
- Cardinale, M.; Wakeling, J. Whole body vibration exercise: Are vibrations good for you? Br. J. Sports Med. 2005, 39, 585–589. [Google Scholar] [CrossRef] [PubMed]
- van Heuvelen, M.J.G.; Rittweger, J.; Judex, S.; Sañudo, B.; Seixas, A.; Fuermaier, A.B.M.; Tucha, O.; Nyakas, C.; Marín, P.J.; Taiar, R.; et al. Reporting Guidelines for Whole-Body Vibration Studies in Humans, Animals and Cell Cultures: A Consensus Statement from an International Group of Experts. Biology 2021, 10, 965. [Google Scholar] [CrossRef] [PubMed]
- Sonza, A.; Robinson, C.C.; Achaval, M.; Zaro, M.A. Whole body vibration at different exposure frequencies: Infrared thermography and physiological effects. Sci. World J. 2015, 2015, 452657. [Google Scholar] [CrossRef] [PubMed]
- Pérez-Gómez, J.; Carmelo Adsuar, J.; García-Gordillo, M.A.; Muñoz, P.; Romo, L.; Maynar, M.; Gusi, N.; Redondo, P.C. Twelve Weeks of Whole Body Vibration Training Improve Regucalcin, Body Composition and Physical Fitness in Postmenopausal Women: A Pilot Study. Int. J. Environ. Res. Public Health 2020, 17, 3940. [Google Scholar] [CrossRef] [PubMed]
- Cerciello, S.; Rossi, S.; Visonà, E.; Coron0a, K.; Oliva, F. Clinical applications of vibration therapy in orthopaedic practice. Muscles Ligaments Tendons J. 2016, 6, 147–156. [Google Scholar] [CrossRef]
- Hand, J.; Verscheure, S.; Osternig, L. A comparison of whole-body vibration and resistance training on total work in the rotator cuff. J. Athl. Train. 2009, 44, 469–474. [Google Scholar] [CrossRef]
- Mikhael, M.; Orr, R.; Amsen, F.; Greene, D.; Singh, M.A. Effect of standing posture during whole body vibration training on muscle morphology and function in older adults: A randomised controlled trial. BMC Geriatr. 2010, 10, 74. [Google Scholar] [CrossRef]
- Sá-Caputo, D.; Paineiras-Domingos, L.L.; Francisca-Santos, A.; dos Anjos, E.M.; Reis, A.S.; Neves, M.F.T.; Oigman, W.; Oliveira, R.; Brandão, A.; Machado, C.B.; et al. Whole-body vibration improves the functional parameters of individuals with metabolic syndrome: An exploratory study. BMC Endocr. Disord. 2019, 19, 6. [Google Scholar] [CrossRef]
- Morel, D.S.; Moreira-Marconi, E.; Neto, S.B.S.; Domingos, L.L.P.; de Souza, P.L.; Caputo, D.D.C.S.; Costa, G.D.; de Figueiredo, C.F.; Carmo, R.C.R.; de Paiva, P.C.; et al. Effects of whole body vibration intervention on handgrip strength of Brazilian healthy soldiers. Afr. J. Tradit. Complement. Altern. Med. 2017, 14, 28–32. [Google Scholar] [CrossRef]
- Piecha, M.; Juras, G.; Król, P.; Sobota, G.; Polak, A.; Bacik, B. The effect of a short-term and long-term whole-body vibration in healthy men upon the postural stability. PLoS ONE 2014, 9, e88295. [Google Scholar] [CrossRef] [PubMed]
- Chanou, K.; Gerodimos, V.; Karatrantou, K.; Jamurtas, A. Whole-body vibration and rehabilitation of chronic diseases: A review of the literature. J. Sports Sci. Med. 2012, 11, 187–200. [Google Scholar] [PubMed]
- Gloeckl, R.; Heinzelmann, I.; Baeuerle, S.; Damm, E.; Schwedhelm, A.L.; Diril, M.; Buhrow, D.; Jerrentrup, A.; Kenn, K. Effects of whole body vibration in patients with chronic obstructive pulmonary disease—A randomized controlled trial. Respir. Med. 2012, 106, 75–83. [Google Scholar] [CrossRef] [PubMed]
- Iconaru, E.I.; Tantu, M.M.; Tudor, M.I.; Ciucurel, M.M.; Georgescu, L.; Paunescu, A.; Nicolae, C.; Plesa, F.C.; Sirbu, C.A.; Diaconu, M.; et al. The effects of whole body vibration on body composition and lipid profile in healthy young adults. Rev. Chim. 2019, 70, 4410–4413. [Google Scholar] [CrossRef]
- Licurci, M.D.G.B.; de Almeida Fagundes, A.; Arisawa, E.A.L.S. Acute effects of whole body vibration on heart rate variability in elderly people. J. Bodyw. Mov. Ther. 2018, 22, 618–621. [Google Scholar] [CrossRef] [PubMed]
- Wong, A.; Figueroa, A. Effects of whole-body vibration on heart rate variability: Acute responses and training adaptations. Clin. Physiol. Funct. Imaging 2019, 39, 115–121. [Google Scholar] [CrossRef]
- Maikala, R.V.; King, S.; Bhambhani, Y.N. Acute physiological responses in healthy men during whole-body vibrationnt. Int. Arch. Occup. Environ. Health 2006, 79, 103–114. [Google Scholar] [CrossRef]
- Zeigler, Z.S.; Swan, P.D. Acute effects of whole-body vibration with resistance exercise on postexercise blood pressure and oxygen consumption in prehypertensive adults. J. Exerc. Sci. Fit. 2016, 14, 14–23. [Google Scholar] [CrossRef][Green Version]
- McCarren, B.; Alison, J.A.; Herbert, R.D. Vibration and its effect on the respiratory system. Aust. J. Physiother. 2006, 52, 39–43. [Google Scholar] [CrossRef][Green Version]
- McCarren, B.; Alison, J.A.; Herbert, R.D. Manual vibration increases expiratory flow rate via increased intrapleural pressure in healthy adults: An experimental study. Aust. J. Physiother. 2006, 52, 267–271. [Google Scholar] [CrossRef]
- Gloeckl, R.; Heinzelmann, I.; Seeberg, S.; Damisch, T.; Hitzl, W.; Kenn, K. Effects of complementary whole-body vibration training in patients after lung transplantation: A randomized, controlled trial. J. Heart Lung Transplant. 2015, 34, 1455–1461. [Google Scholar] [CrossRef] [PubMed]
- Gloeckl, R.; Richter, P.; Winterkamp, S.; Pfeifer, M.; Nell, C.; Christle, J.W.; Klenn, K. Cardiopulmonary response during whole-body vibration training in patients with severe COPD. ERJ Open Res. 2017, 3, 00101–02016. [Google Scholar] [CrossRef] [PubMed]
- Oh, J.H.; Kwon, T.K.; Hong, C.U.; Lee, Y.C. Effect of short-term sling exercise with whole body vibration recovery method on heart rate, blood pressure and lactic acid level variability. J. Mech. Med. Biol. 2018, 18, 1840016. [Google Scholar] [CrossRef]
- Gerhardt, F.; Dumitrescu, D.; Gärtner, C.; Beccard, R.; Viethen, T.; Kramer, T.; Baldus, S.; Hellmich, M.; Schönau, E.; Rosenkranz, S. Oscillatory whole-body vibration improves exercise capacity and physical performance in pulmonary arterial hypertension: A randomised clinical study. Heart 2017, 103, 592–598. [Google Scholar] [CrossRef] [PubMed]
- Wollersheim, T.; Haas, K.; Wolf, S.; Mai, K.; Spies, C.; Steinhagen-Thiessen, E.; Wernecke, K.D.; Spranger, J.; Weber-Carstens, S. Whole-body vibration to prevent intensive care unit-acquired weakness: Safety, feasibility, and metabolic response. Crit. Care 2017, 21, 9. [Google Scholar] [CrossRef]
- Yang, X.; Zhou, Y.; Wang, P.; He, C.; He, H. Effects of whole body vibration on pulmonary function, functional exercise capacity and quality of life in people with chronic obstructive pulmonary disease: A systematic review. Clin. Rehabil. 2016, 30, 419–431. [Google Scholar] [CrossRef]
- Vissers, D.; Baeyens, J.P.; Truijen, S.; Ides, K.; Vercruysse, C.C.; Van Gaal, L. The effect of whole body vibration short-term exercises on respiratory gas exchange in overweight and obese women. Phys. Sportsmed. 2009, 37, 88–94. [Google Scholar] [CrossRef]
- De La Merced Díaz-González, C.; De La Rosa Hormiga, M.; Ramal López, J.M.; Déniz Rivero, Y.; Marrero Morales, M.S. Concordance among measurements obtained by three pulse oximeters currently used by health professionals. J. Clin. Diagn. Res. 2014, 8, MC09–MC12. [Google Scholar] [CrossRef]
- Iconaru, E.I.; Georgescu, L.; Ciucurel, C. A mathematical modelling analysis of the response of blood pressure and heart rate to submaximal exercise. Acta Cardiol. 2019, 74, 198–205. [Google Scholar] [CrossRef]
- Miller, M.R.; Hankinson, J.; Brusasco, V.; Burgos, F.; Casaburi, R.; Coates, A.; Crapo, R.; Enright, P.; van der Grinten, C.P.M.; Gustafsson, P.; et al. Standardisation of spirometry. Eur. Respir. J. 2005, 26, 319–338. [Google Scholar] [CrossRef]
- Wienecke, E. Performance Explosion in Sports and Anti-Doping-Concept: Revolutionary New Findings in the Area of Micronutrient Therapy—Training Continuity, Training Optimization, Injury Prevention through Personalized Micronutrients; Meyer & Meyer Sport: Maidenhead, UK, 2011. [Google Scholar]
- Ghazalian, F.; Hakemi, L.; Pourkazemi, L.; Akhoond, M. Effects of amplitudes of whole-body vibration training on left ventricular stroke volume and ejection fraction in healthy young men. Anatol. J. Cardiol. 2016, 15, 976–980. [Google Scholar] [CrossRef] [PubMed][Green Version]
- Gerodimos, V.; Zafeiridis, A.; Karatrantou, K.; Vasilopoulou, T.; Chanou, K.; Pispirikou, E. The acute effects of different whole-body vibration amplitudes and frequencies on flexibility and vertical jumping performance. J. Sci. Med. Sport 2010, 13, 438–443. [Google Scholar] [CrossRef] [PubMed]
- Krol, P.; Piecha, M.; Slomka, K.; Sobota, G.; Polak, A.; Juras, G. The effect of whole-body vibration frequency and amplitude on the myoelectric activity of vastus medialis and vastus lateralis. J. Sports Sci. Med. 2011, 10, 169–174. [Google Scholar] [PubMed]
- Curran-Everett, D. Explorations in statistics: The log transformation. Adv. Physiol. Educ. 2018, 42, 343–347. [Google Scholar] [CrossRef]
- Richardson, J.T.E. Eta squared and partial eta squared as measures of effect size in educational research. Educ. Res. Rev. 2011, 6, 135–147. [Google Scholar] [CrossRef]
- Godinez, A.; Liston, D.B.; Ayzenberg, R.; Toscano, W.B.; Cowings, P.A.; Stone, L.S. G-loading and vibration effects on heart and respiration rates. Aviat. Space Environ. Med. 2014, 85, 949–953. [Google Scholar] [CrossRef]
- Harris, C.M.; Pierson, A.G. Harris’ Shock and Vibration Handbook, 5th ed.; McGraw-Hill Companies Inc.: New York, NY, USA, 2002. [Google Scholar]
- Kowalski, P.; Maklinowska-Krokosz, A. Influence of vertical and horizontal whole-body vibration on heart rate of employees age 50+ (pilot study). Vibroengineering Procedia 2016, 10, 406–409. Available online: https://www.jvejournals.com/article/17901/pdf (accessed on 7 March 2021).
- Griffin, M.J.; Erdreich, J. Handbook of Human Vibration; Academic Press: London, UK, 1990. [Google Scholar]
- Cochrane, D.J.; Sartor, F.; Winwood, K.; Stannard, S.R.; Narici, M.V.; Rittweger, J. A comparison of the physiologic effects of acute whole-body vibration exercise in young and older people. Arch. Phys. Med. Rehabil. 2008, 89, 815–821. [Google Scholar] [CrossRef]
- Qiu, Y.; Griffin, M.J. Biodynamic response of the seated human body to single-axis and dual-axis vibration: Effect of backrest and non-linearity. Ind. Health 2012, 50, 37–51. [Google Scholar] [CrossRef]
- Sjøflot, L.; Suggs, C.W. Human reactions to whole-body transverse angular vibrations compared to linear vertical vibrations. Ergonomics 1973, 16, 455–468. [Google Scholar] [CrossRef]
- Games, K.E.; Sefton, J.M.; Wilson, A.E. Whole-body vibration and blood flow and muscle oxygenation: A meta-analysis. J. Athl. Train. 2015, 50, 542–549. [Google Scholar] [CrossRef] [PubMed]
- Furness, T.; Joseph, C.; Welsh, L.; Naughton, G.; Lorenzen, C. Whole-body vibration as a mode of dyspnoea free physical activity: A community-based proof-of-concept trial. BMC Res. Notes 2013, 6, 452. [Google Scholar] [CrossRef] [PubMed]
- Gandevia, S.C.; McCloskey, D.I. Changes in the pattern of breathing caused by chest vibration. Respir. Physiol. 1976, 26, 163–171. [Google Scholar] [CrossRef]
- Colebatch, J.G.; Gandevia, S.C.; McCloskey, D.I. Reduction in inspiratory activity in response to sternal vibration. Respir. Physiol. 1977, 29, 327–338. [Google Scholar] [CrossRef]
- Yuan, W.; He, X.; Xu, Q.F.; Wang, H.Y.; Casaburi, R. Increased difference between slow and forced vital capacity is associated with reduced exercise tolerance in COPD patients. BMC Pulm. Med. 2014, 14, 16. [Google Scholar] [CrossRef] [PubMed]
- Constán, E.; Medina, J.; Silvestre, A.; Alvarez, I.; Olivas, R. Difference between the slow vital capacity and forced vital capacity: Predictor of hyperinflation in patients with airflow obstruction. Int. J. Pulm. Med. 2004, 4, 1. Available online: http://ispub.com/IJPM/4/2/5845 (accessed on 12 November 2021).
- Chhabra, S.K. Forced vital capacity, slow vital capacity, or inspiratory vital capacity: Which is the best measure of vital capacity? J. Asthma 1998, 35, 361–365. [Google Scholar] [CrossRef] [PubMed]
- Skoczyński, S.; Zejda, J.; Brożek, G.; Glinka, K.; Waz, S.; Kotulska, B.; Barczyk, A. Clinical importance of sex differences in dyspnea and its sex related determinants in asthma and COPD patients. Adv. Med. Sci. 2019, 64, 303–308. [Google Scholar] [CrossRef]
- Pessoa, M.F.; Brandão, D.C.; Sá, R.B.; Barcelar, J.M.; Rocha, T.D.S.; Souza, H.C.M.; de Andrade, A.D. Vibrating platform training improves respiratory muscle strength, quality of life, and inspiratory capacity in the elderly adults: A randomized controlled trial. J. Gerontol. Ser. A 2017, 72, 683–688. [Google Scholar] [CrossRef]
- Duffner, L.R.; Hamilton, L.H.; Schmitz, M.A. Effect of whole-body vertical vibration on respiration in human subjects. J. Appl. Physiol. 1962, 17, 913–916. [Google Scholar] [CrossRef]
- Zhou, J.; Pang, L.; Chen, N.; Wang, Z.; Wang, C.; Hai, Y.; Lyu, M.; Lai, H.; Lin, F. Whole-body vibration training—better care for COPD patients: A systematic review and meta-analysis. Int. J. Chronic Obstr. Pulm. Dis. 2018, 13, 3243–3254. [Google Scholar] [CrossRef] [PubMed]
- Neder, J.A.; Andreoni, S.; Lerario, M.C.; Nery, L.E. Reference values for lung function tests. II. Maximal respiratory pressures and voluntary ventilation. Braz. J. Med. Biol. Res. 1999, 32, 719–727. [Google Scholar] [CrossRef] [PubMed]
- Dyachenko, A.I. Biophysics of chest vibrations. J. Apl. Theol. 2017, 1, 14–19. [Google Scholar] [CrossRef]
- Binks, A.P.; Bloch-Salisbury, E.; Banzett, R.B.; Schwartzstein, R.M. Oscillation of the lung by chest-wall vibration. Respir. Physiol. 2001, 126, 245–249. [Google Scholar] [CrossRef]
- Neamtu, A.; Simoiu, D.; Nyaguly, E.; Crastiu, I.; Bereteu, L. Analysis of whole-body vibration on rheological models for tissues. IOP Conf. Ser. Mater. Sci. Eng. 2018, 294, 012087. [Google Scholar] [CrossRef]
- Shabtai, Y.; Gavriely, N. Frequency and amplitude effects during high-frequency vibration ventilation in dogs. J. Appl. Physiol. 1989, 66, 1127–1135. [Google Scholar] [CrossRef]
- Button, B.M.; Button, B. Mucus clearance system of the lung. Cold Spring Harb. Perspect. Med. 2013, 3, a009720. [Google Scholar] [CrossRef]
- Leduc, D.; De Troyer, A. Effect of chest wall vibration on the canine diaphragm during breathing. Eur. Respir. J. 2002, 19, 429–433. [Google Scholar] [CrossRef]
- Leduc, D.; De Troyer, A. Mechanical effect of muscle spindles in the canine external intercostal muscles. J. Physiol. 2003, 548, 297–305. [Google Scholar] [CrossRef]
- Rajanala, S.; Christina, T.; Jean, S.; Cinel, I.; Cimino, M.J.; Anderson, K.; Dellinger, R.; Parrillo, J. The effect of mechanical ventilation modes on lung vibration energy. Chest 2006, 130, 211S. [Google Scholar] [CrossRef]
- Reddy, P.I.; Al-Jumaily, A.M.; White, D.E. The effect of vibrations on surfactant dynamics in the neonate. In Proceedings of International Mechanical Engineering Congress and Exposition (IMECE); ASME Digital Library: New York, NY, USA, 2009; Volume 2, pp. 451–452. [Google Scholar] [CrossRef]
- Spapen, H.D.; De Regt, J.; Honoré, P.M. Chest physiotherapy in mechanically ventilated patients without pneumonia—A narrative review. J. Thorac. Dis. 2017, 9, E44–E49. [Google Scholar] [CrossRef] [PubMed]
- Cardinale, M.; Soiza, R.L.; Leiper, J.B.; Gibson, A.; Primrose, W.R. Hormonal responses to a single session of wholebody vibration exercise in older individuals. Br. J. Sports Med. 2010, 44, 284–288. [Google Scholar] [CrossRef] [PubMed]
- Lage, V.K.S.; Lacerda, A.C.R.; Neves, C.D.C.; Chaves, M.G.A.; Soares, A.A.; Lima, L.L.; Martins, J.B.; Matos, M.A.; Vieira, E.L.M.; Teixeira, A.L.; et al. Acute effects of whole-body vibration on inflammatory markers in people with chronic obstructive pulmonary disease: A pilot study. Rehabil. Res. Pract. 2018, 2018, 5480214. [Google Scholar] [CrossRef] [PubMed]
- Ashe, W.F. Physiological and Pathological Effects of Mechanical Vibration on Animals and Men; Report 863-4. Research Foundation: Columbus, OH, USA, 1961. Available online: https://apps.dtic.mil/dtic/tr/fulltext/u2/265931.pdf (accessed on 15 December 2021).
- Shoenberger, R.W. Psychophysical comparison of vertical and angular vibrations. Aviat. Space Environ. Med. 1980, 51, 759–762. [Google Scholar] [PubMed]
- Brooke-Wavell, K.; Mansfield, N.J. Risks and benefits of whole body vibration training in older people. Age Ageing 2009, 38, 254–255. [Google Scholar] [CrossRef] [PubMed][Green Version]
- Dijkman, B.; Kooistra, B.; Bhandari, M.; Evidence-Based Surgery Working Group. How to work with a subgroup analysis. Can. J. Surg. 2009, 52, 515–522. [Google Scholar]






| Variable | Age (Years) | H (cm) | W (kg) | BMI (kg/m2) |
|---|---|---|---|---|
| Mean | 20.73 | 167.06 | 60.69 | 21.70 |
| SD | 1.15 | 9.90 | 9.18 | 1.72 |
| CV(%) | 5.55 | 5.93 | 15.13 | 7.93 |
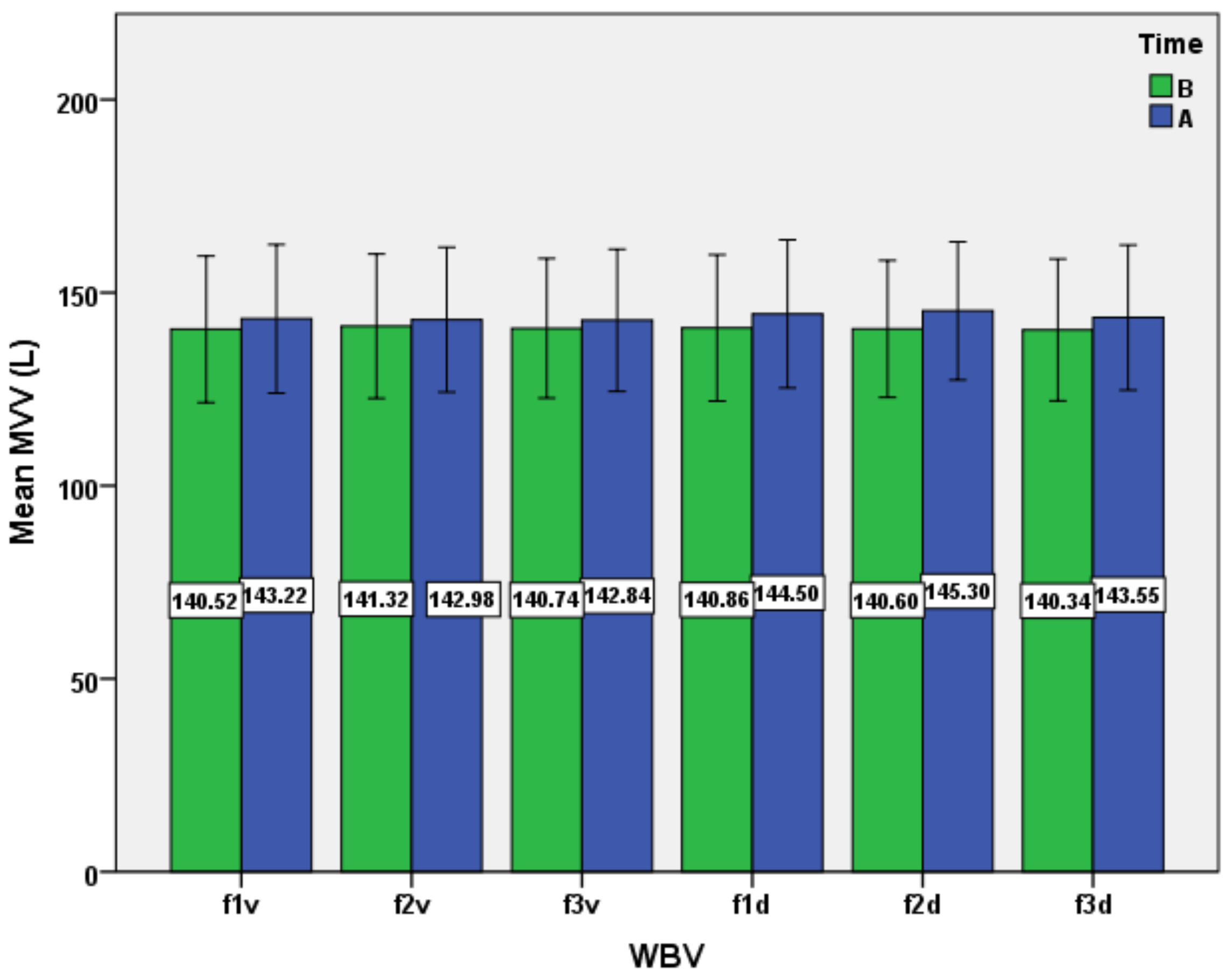
| Variable | HR (Beats/min) | SaO2 (%) | RR (Breaths/min) | TV (L) | VC (L) | FVC (L) | FEV1 (L) | MVV (L/min) | ||||||||
|---|---|---|---|---|---|---|---|---|---|---|---|---|---|---|---|---|
| f1 (15 Hz), vertical stimuli | ||||||||||||||||
| B | A | B | A | B | A | B | A | B | A | B | A | B | A | B | A | |
| Mean | 69.50 | 76.38 | 96.12 | 95.65 | 15.46 | 17.35 | 0.44 | 0.47 | 4.04 | 4.15 | 3.95 | 4.04 | 3.33 | 3.40 | 140.52 | 143.22 |
| SD | 7.33 | 7.58 | 0.77 | 0.75 | 0.99 | 1.09 | 0.06 | 0.07 | 0.57 | 0.58 | 0.57 | 0.57 | 0.51 | 0.51 | 18.99 | 19.27 |
| CV (%) | 10.55 | 9.92 | 0.80 | 0.78 | 6.40 | 6.28 | 13.64 | 14.89 | 14.11 | 13.98 | 14.43 | 14.11 | 15.32 | 15.00 | 13.51 | 13.45 |
| f2 (25 Hz), vertical stimuli | ||||||||||||||||
| B | A | B | A | B | A | B | A | B | A | B | A | B | A | B | A | |
| Mean | 69.92 | 75.23 | 95.77 | 95.35 | 15.69 | 17.08 | 0.44 | 0.45 | 4.04 | 4.09 | 3.96 | 4.01 | 3.35 | 3.39 | 141.32 | 142.98 |
| SD | 7.35 | 7.19 | 0.71 | 0.85 | 1.01 | 1.06 | 0.06 | 0.06 | 0.56 | 0.57 | 0.55 | 0.55 | 0.50 | 0.50 | 18.69 | 18.74 |
| CV (%) | 10.51 | 9.56 | 0.74 | 0.89 | 6.44 | 6.21 | 13.64 | 13.33 | 13.86 | 13.94 | 13.89 | 13.72 | 14.93 | 14.75 | 13.23 | 13.11 |
| f3 (35 Hz), vertical stimuli | ||||||||||||||||
| B | A | B | A | B | A | B | A | B | A | B | A | B | A | B | A | |
| Mean | 70.19 | 74.42 | 95.92 | 95.38 | 15.58 | 16.85 | 0.44 | 0.45 | 4.03 | 4.11 | 3.96 | 4.03 | 3.33 | 3.39 | 140.74 | 142.84 |
| SD | 6.47 | 6.76 | 0.84 | 1.10 | 1.06 | 0.92 | 0.07 | 0.06 | 0.56 | 0.57 | 0.54 | 0.55 | 0.48 | 0.49 | 18.08 | 18.43 |
| CV (%) | 9.22 | 9.08 | 0.88 | 1.15 | 6.80 | 5.46 | 15.91 | 13.33 | 13.90 | 13.87 | 13.64 | 13.65 | 14.41 | 14.45 | 12.85 | 12.90 |
| f1 (15 Hz), diagonal stimuli | ||||||||||||||||
| B | A | B | A | B | A | B | A | B | A | B | A | B | A | B | A | |
| Mean | 70.19 | 76.04 | 96.04 | 95.27 | 15.58 | 17.35 | 0.44 | 0.53 | 4.04 | 4.17 | 3.96 | 4.08 | 3.34 | 3.44 | 140.86 | 144.5 |
| SD | 6.38 | 6.30 | 0.87 | 1.04 | 1.17 | 1.02 | 0.06 | 0.06 | 0.56 | 0.58 | 0.56 | 0.57 | 0.51 | 0.51 | 18.95 | 19.16 |
| CV (%) | 9.09 | 8.29 | 0.91 | 1.09 | 7.51 | 5.88 | 13.64 | 11.32 | 13.86 | 13.91 | 14.14 | 13.97 | 15.27 | 14.83 | 13.45 | 13.26 |
| f2 (25 Hz), diagonal stimuli | ||||||||||||||||
| B | A | B | A | B | A | B | A | B | A | B | A | B | A | B | A | |
| Mean | 70.58 | 78.23 | 96.15 | 95.23 | 15.50 | 18.08 | 0.44 | 0.48 | 4.04 | 4.22 | 3.96 | 4.11 | 3.33 | 3.45 | 140.6 | 145.30 |
| SD | 6.59 | 6.43 | 0.78 | 0.86 | 0.99 | 0.98 | 0.06 | 0.06 | 0.55 | 0.59 | 0.53 | 0.54 | 0.47 | 0.48 | 17.71 | 17.89 |
| CV (%) | 9.34 | 8.22 | 0.81 | 0.90 | 6.39 | 5.42 | 13.64 | 12.50 | 13.61 | 13.98 | 13.38 | 13.14 | 14.11 | 13.91 | 12.60 | 12.31 |
| f3 (35 Hz), diagonal stimuli | ||||||||||||||||
| B | A | B | A | B | A | B | A | B | A | B | A | B | A | B | A | |
| Mean | 70.50 | 76.69 | 96.42 | 95.77 | 15.81 | 17.62 | 0.44 | 0.46 | 4.03 | 4.16 | 3.94 | 4.05 | 3.32 | 3.41 | 140.34 | 143.55 |
| SD | 6.40 | 5.89 | 0.64 | 0.65 | 1.20 | 0.94 | 0.06 | 0.06 | 0.57 | 0.67 | 0.56 | 0.57 | 0.49 | 0.50 | 18.39 | 18.8 |
| CV (%) | 9.08 | 7.68 | 0.66 | 0.68 | 7.59 | 5.33 | 13.64 | 13.04 | 14.14 | 16.11 | 14.21 | 14.07 | 14.76 | 14.66 | 13.10 | 13.10 |
| Parameter | Effect | Type III Sum of Squares | df | Mean Square | F | p-Value | Partial Eta Squared | Observed Power |
|---|---|---|---|---|---|---|---|---|
| HR | WBV | 148.362 | 5 | 29.672 | 2.754 | 0.021 | 0.099 | 0.812 |
| Time | 2826.029 | 1 | 2826.029 | 2074.638 | 0.000 | 0.988 | 1 | |
| Time*WBV | 93.413 | 3.093 | 30.2 | 18.244 | 0.000 | 0.422 | 1 | |
| TV | WBV | 0.063 | 3.537 | 0.018 | 72.030 | 0.000 | 0.742 | 1 |
| Time | 0.094 | 1 | 0.094 | 740.631 | 0.000 | 0.967 | 1 | |
| Time*WBV | 0.048 | 2.808 | 0.017 | 112.299 | 0.000 | 0.818 | 1 | |
| VC | WBV | 0.009 | 2.291 | 0.004 | 9.539 | 0.000 | 0.276 | 0.985 |
| Time | 0.058 | 1 | 0.058 | 483.477 | 0.000 | 0.951 | 1 | |
| Time*WBV | 0.008 | 1.193 | 0.007 | 11.611 | 0.001 | 0.317 | 0.939 | |
| FVC | WBV | 0.006 | 5 | 0.001 | 6.602 | 0.000 | 0.209 | 0.997 |
| Time | 0.047 | 1 | 0.047 | 1455.686 | 0.000 | 0.983 | 1 | |
| Time*WBV | 0.005 | 5 | 0.001 | 47.588 | 0.000 | 0.656 | 1 | |
| FEV1 | WBV | 0.005 | 5 | 0.001 | 2.648 | 0.026 | 0.096 | 0.794 |
| Time | 0.047 | 1 | 0.047 | 1164.269 | 0.000 | 0.979 | 1 | |
| Time*WBV | 0.005 | 5 | 0.001 | 39.556 | 0.000 | 0.613 | 1 | |
| MVV | WBV | 0.003 | 5 | 0.001 | 1.961 | 0.089 | 0.073 | 0.645 |
| Time | 0.033 | 1 | 0.033 | 1838.704 | 0.000 | 0.987 | 1 | |
| Time*WBV | 0.004 | 5 | 0.001 | 37.697 | 0.000 | 0.601 | 1 |
| Parameter | Time | WBV | |||||
|---|---|---|---|---|---|---|---|
| f1v | f2v | f3v | f1d | f2d | f3d | ||
| HR | B and A (p < 0.01) | - | - | f2d (p < 0.02) | - | f3v (p < 0.02) | - |
| TV | B and A (p < 0.01) | f3v (p < 0.01); f1d (p < 0.01) | f1d (p < 0.01); f2d (p < 0.01) | f1v (p < 0.01); f1d (p < 0.01); f2d (p < 0.01); f3d (p < 0.04); | f1v (p < 0.01); f2v (p < 0.01); f3v (p < 0.01); f2d (p < 0.01); f3d (p < 0.01) | f2v (p < 0.01); f3v (p < 0.01); f1d (p < 0.01); f3d (p < 0.01) | f3v (p < 0.04); f1d (p < 0.01); f2d (p < 0.01) |
| VC * | B and A (p < 0.01) | f2d (p < 0.01) | f1d (p < 0.01); f2d (p < 0.01) | f1d (p < 0.01); f2d (p < 0.01) | f2v (p < 0.01); f3v (p < 0.01); f2d (p < 0.01) | f1v (p < 0.01); f2v (p < 0.01); f3v (p < 0.01); f1d (p < 0.01) | - |
| FVC * | B and A (p < 0.01) | f2d (p < 0.01) | f2d (p < 0.01) | f1d (p < 0.04); f2d (p < 0.01) | f3v (p < 0.04) | f1v (p < 0.01); f2v (p < 0.01); f3v (p < 0.01); f3d (p < 0.01); | f2d (p < 0.01) |
| FEV1 * | B and A (p < 0.01) | f2d (p < 0.05) | - | - | - | f1v (p < 0.05) | - |
| MVV * | B and A (p < 0.01) | - | - | - | - | - | - |
Publisher’s Note: MDPI stays neutral with regard to jurisdictional claims in published maps and institutional affiliations. |
© 2022 by the authors. Licensee MDPI, Basel, Switzerland. This article is an open access article distributed under the terms and conditions of the Creative Commons Attribution (CC BY) license (https://creativecommons.org/licenses/by/4.0/).
Share and Cite
Iconaru, E.I.; Ciucurel, M.M.; Georgescu, L.; Tudor, M.; Tantu, M.M.; Ciucurel, C. A Pre–Post Study on the Cardiorespiratory Response to Different Protocols of Exposure on a Vibratory Platform in Young Healthy Individuals. Int. J. Environ. Res. Public Health 2022, 19, 4668. https://doi.org/10.3390/ijerph19084668
Iconaru EI, Ciucurel MM, Georgescu L, Tudor M, Tantu MM, Ciucurel C. A Pre–Post Study on the Cardiorespiratory Response to Different Protocols of Exposure on a Vibratory Platform in Young Healthy Individuals. International Journal of Environmental Research and Public Health. 2022; 19(8):4668. https://doi.org/10.3390/ijerph19084668
Chicago/Turabian StyleIconaru, Elena Ioana, Manuela Mihaela Ciucurel, Luminita Georgescu, Mariana Tudor, Monica Marilena Tantu, and Constantin Ciucurel. 2022. "A Pre–Post Study on the Cardiorespiratory Response to Different Protocols of Exposure on a Vibratory Platform in Young Healthy Individuals" International Journal of Environmental Research and Public Health 19, no. 8: 4668. https://doi.org/10.3390/ijerph19084668
APA StyleIconaru, E. I., Ciucurel, M. M., Georgescu, L., Tudor, M., Tantu, M. M., & Ciucurel, C. (2022). A Pre–Post Study on the Cardiorespiratory Response to Different Protocols of Exposure on a Vibratory Platform in Young Healthy Individuals. International Journal of Environmental Research and Public Health, 19(8), 4668. https://doi.org/10.3390/ijerph19084668

