Abstract
In recent years, with the continuous advancement of China’s urbanization process, regional atmospheric environmental problems have become increasingly prominent. We selected 12 cities as study areas to explore the spatial and temporal distribution characteristics of atmospheric particulate matter in the region, and analyzed the impact of socioeconomic and natural factors on local particulate matter levels. In terms of time variation, the particulate matter in the study area showed an annual change trend of first rising and then falling, a monthly change trend of “U” shape, and an hourly change trend of double-peak and double-valley distribution. Spatially, the concentration of particulate matter in the central and southern cities of the study area is higher, while the pollution in the western region is lighter. In terms of social economy, PM2.5 showed an “inverted U-shaped” quadratic polynomial relationship with Second Industry and Population Density, while it showed a U-shaped relationship with Generating Capacity and Coal Output. The results of correlation analysis showed that PM2.5 and PM10 were significantly positively correlated with NO2, SO2, CO and air pressure, and significantly negatively correlated with O3 and air temperature. Wind speed was significantly negatively correlated with PM2.5, and significantly positively correlated with PM10. In terms of pollution transmission, the southwest area of Taiyuan City is a high potential pollution source area of fine particles, and the long-distance transport of PM2.5 in Xinjiang from the northwest also has a certain contribution to the pollution of fine particles. This study is helpful for us to understand the characteristics and influencing factors of particulate matter pollution in coal production cities.
1. Introduction
In recent years, China’s rapid economic development and substantial growth in energy consumption have led to serious urban air pollution, especially particulate pollution [1,2]. Particulate matter pollution will affect air quality [3] and visibility [4] within the region, and endanger human health [5]. Due to the continuous fermentation of haze weather in China, PM2.5 pollution has attracted widespread attention in academic circles. At present, particulate matter has become the research focus of many scholars, mainly including pollution characteristic analysis [6], influencing factor analysis [7], pollution transmission analysis [8], health assessment [9], source analysis [10], air quality simulation [11] and so on. Most of these studies focus on economically developed regions such as the Beijing–Tianjin–Hebei [12], Yangtze River Delta [13] and Pearl River Delta [14], while there are fewer studies on the central and western regions of China and cities in functional areas.
The process of coal mining will not only significantly increase the prevalence of diseases such as cancer [15] and respiratory diseases [16] among coal workers, but also have varying degrees of health impact on the general population near coal mining [17,18,19]. According to Javier Cortes-Ramirez [20] et al., a review of 28 epidemiological studies found evidence that coal mining is associated with a variety of diseases in the population surrounding mining activities, particularly cancer and congenital anomalies. Teklit Zerizghi [21] et al. quantified the ecological and human health risks of heavy metal pollution in the soil around coal mining areas and found that the heavy metal content exceeds the local background concentration, and Cr is the main ecological and human health risk factor metal in the region. More studies [22,23] pointed out that children are more susceptible than adults to the health risks of heavy metals in particulate matter. The use of coal for household consumption [24,25] also increases human health risks.
In addition, the economy in central China is underdeveloped, mainly in Inner Mongolia, Shanxi and Shaanxi, with primary energy mining and deep processing as the main industry. Coal occupies a dominant position in China’s energy structure, and its mining, processing and transformation process can easily cause environmental pollution [26] and ecological degradation. Under the unique economic structure and geographical environment, the pollution characteristics of these regions are different from other regions.
This study selected 12 cities located in Shanxi Province, Inner Mongolia Autonomous Region and Shaanxi Province as the research area to explore the spatial and temporal distribution characteristics of atmospheric particulate matter in this region, and analyzed the influence of socioeconomic factors and natural factors on the local particulate matter level. This paper aims to study the temporal and spatial distribution characteristics and influencing factors of atmospheric particulate matter in the main coal production areas, so as to have a deeper understanding of the air pollution processes and influencing factors in this area.
2. Materials and Methods
2.1. Research Area and Data Sources
This study selected 12 coal cities in Shanxi Province, Inner Mongolia Autonomous Region and Shaanxi Province as the research objects, including ten cities in Shanxi Province (Datong(DT), Yangquan(YQ), Shuozhou(SZ), Xinzhou(XZ), Linfen(LF), Taiyuan(TY), Jinzhong(JZ), Jincheng(JC), Lvliang(LL) and Changzhi(CZ)), Ordos (EEDS) in Inner Mongolia Autonomous Region and Yulin (YL) in Shaanxi Province. In this study, the hourly concentration data of pollutants from 1 January 2015 to 31 December 2019 of 64 air quality monitoring stations in the study area and the meteorological monitoring data of Taiyuan meteorological station in 2019 were collected (Figure 1). The data sources are https://www.aqistudy.cn/historydata/ (accessed on 21 September 2021) and http://data.cma.cn (accessed on 25 September 2021), respectively. The pollutant data includes six pollutants: PM2.5, PM10, Carbon Monoxide (CO), Sulfur Dioxide (SO2), Ozone (O3) and Nitrogen Dioxide (NO2), and the meteorological data includes air temperature (T), air pressure (P), wind speed (WS) and wind direction (WD). According to the “Ambient Air Quality Standard” (GB 3095-2012), the missing values in the data are processed to improve the accuracy of the monitoring data. In calculating the average daily concentration, we require at least 20 h of average concentration or sampling time, otherwise, the average daily concentration is considered invalid. When calculating the monthly average concentration, we require at least 27 (February: 25) daily average concentration values, otherwise, the monthly average concentration is considered invalid. When calculating the annual average concentration, we require at least 324 daily average concentrations, otherwise, the annual average concentration is considered invalid.
Figure 1.
Air quality monitoring stations and the meteorological station in major coal production areas.
2.2. Analysis of Socioeconomic Factors
The potential impact of socioeconomic indicators on particulate pollution has been widely discussed. On the basis of existing studies [27], we selected five indicators, including gross domestic product(GDP) [28,29], population density(PD), and secondary industry(SI) [30,31], coal output(CO) and generating capacity(GC). The annual statistics of GDP, PD, SI, CO and GC come from the statistical yearbooks of each city. Table S1 provides detailed information on these socioeconomic factors for each city. In order to determine the association between particulate matter concentrations and socioeconomic factors, the annual average concentration data of PM2.5 and PM10 were used as dependent variables, and socioeconomic factors were used as independent variables. The curve fitting analysis is carried out in the form of scatter plots and curve graphs to illustrate the relationship between variables. According to the determination coefficient (R2) and significance test (p < 0.05), the fitting curve was used to characterize the impact of socioeconomic factors on particulate pollution.
2.3. Trajectory Analysis
2.3.1. Cluster Analysis
In this study, the HYSPLIT [32] model (http://ready.arl.noaa.gov/HYSPLIT.php)( accessed on 15 December 2021) was used to calculate the 72-h backward trajectory at a height of 500 m in Taiyuan city from 2015 to 2019. The time interval was 1 h, and 8760 or 8784 trajectories can be obtained every year. Using the Euclidean distance clustering algorithm in TrajStat software [33], the air mass trajectories arriving in Taiyuan were clustered.
2.3.2. Potential Source Contribution Function (PSCF)
Based on the HYSPLIT [32] model provided by the National Oceanic and Atmospheric Administration (NOAA) Air Resources Laboratory and the Australian Bureau of Meteorology, the grid analysis was carried out on the area where the study area was located, and the grid spacing was 0.25° × 0.25°. By combining the trajectory of the air mass and the value of a certain element [34], PSCF gives possible emission source locations, and can preliminarily determine the impact of long-distance migration of pollutants on the study area. PSCF is defined as Equation (1).
Since PSCF [35,36] is developed based on conditional probability functions, the error of PSCF increases as the distance between the grid and the sampling point increases. For some grids with fewer trajectories, the calculated PSCF values have large uncertainties. In order to reduce the uncertainty of PSCF, the weight function Wij [37] needs to be introduced. The Wij settings determined this time are as follows:
3. Results and Discussion
3.1. Spatial–Temporal Distribution Characteristics of Particulate Matter Concentration
Figure 2 shows the annual change of the mass concentration of particulate matter in the study area from 2015 to 2019. On the whole, the annual average concentration of PM2.5 and PM10 increased first and then decreased, showing an inverted U-shaped distribution, reaching the peak in 2017. It can be seen from Figure S1 that EEDS, YL, DT and XZ show a trend of first decreasing, then increasing and then decreasing. The rest of the cities showed a trend of first increasing and then decreasing, with the maximum value appearing in 2016 or 2017. Among the 12 cities, the maximum annual PM2.5 concentration was 81.93 μg/m3 occurring in LF in 2017. In the past five years, the average annual PM2.5 concentration of LF city increased slightly, and of other cities decreased to varying degrees. Among them, XZ had the most decrease, from 58.67 μg/m3 in 2015 to 42.46 μg/m3 in 2019, dropping 27.6%; however, the annual average PM2.5 concentration in EEDS and YL had little change, the concentration curve was relatively gentle and the PM2.5 pollution was relatively light.
Figure 2.
Temporal variation of PM concentrations in the study area from 2015 to 2019: (a) Annual variation of PM2.5; (b) annual variation of PM10; (c) five-year time series of PM2.5 and PM10.
As can be seen from Figure 2b, the variation trend of PM10 is similar to PM2.5 [38,39], with the highest concentration in 2017. As shown in Figure S1, except YQ and CZ, PM10 concentrations in other cities all reached their highest values in 2017 or 2018. The maximum PM10 concentration was 132.04 μg/m3 occurring in TY in 2018. Different from the pattern of PM2.5 above, there were five cities in the region where PM10 concentration increased in 2019 compared with 2015, with the highest increase of 14.7% in SZ. PM10 concentration in other cities had decreased, and YQ had the most obvious decrease, from 113.72 μg/m3 in 2015 to 88.30 μg/m3 in 2019, with a decrease of 22.4%. In terms of the whole study area, the annual average concentration of PM2.5 and PM10 in 2019 decreased significantly compared with 2015, with 44.98 μg/m3 and 91.76μg/m3, respectively, but both exceeded the secondary standard limit of Ambient Air Quality Standard (GB3095-2012).
The five-year time series of PM2.5 and PM10 in the study area are shown in Figure 2c. On the whole, PM2.5 presented a distribution characteristic of low concentration in summer and high concentration in winter. The monthly variation of PM2.5 shows a significant U-shaped change pattern, reaching the highest in January and the lowest in August. Conditions such as low temperature, relatively stable atmosphere structure and a large number of pollutants emitted by coal-fired heating [39] lead to the high concentration of particulate matter in winter. Precipitation can significantly reduce ambient PM2.5 concentrations in summer. However, the concentration of PM10 showed many peaks from March to May in 2017, 2018 and 2019, which was due to the occurrence of several serious typical strong sandstorm events in this period, and the contribution of coarse particles to PM10 in this region increased significantly [40]. Among them, the concentration of PM10 on 4 May 2017, reached the highest, which was 599.95 μg/m3.
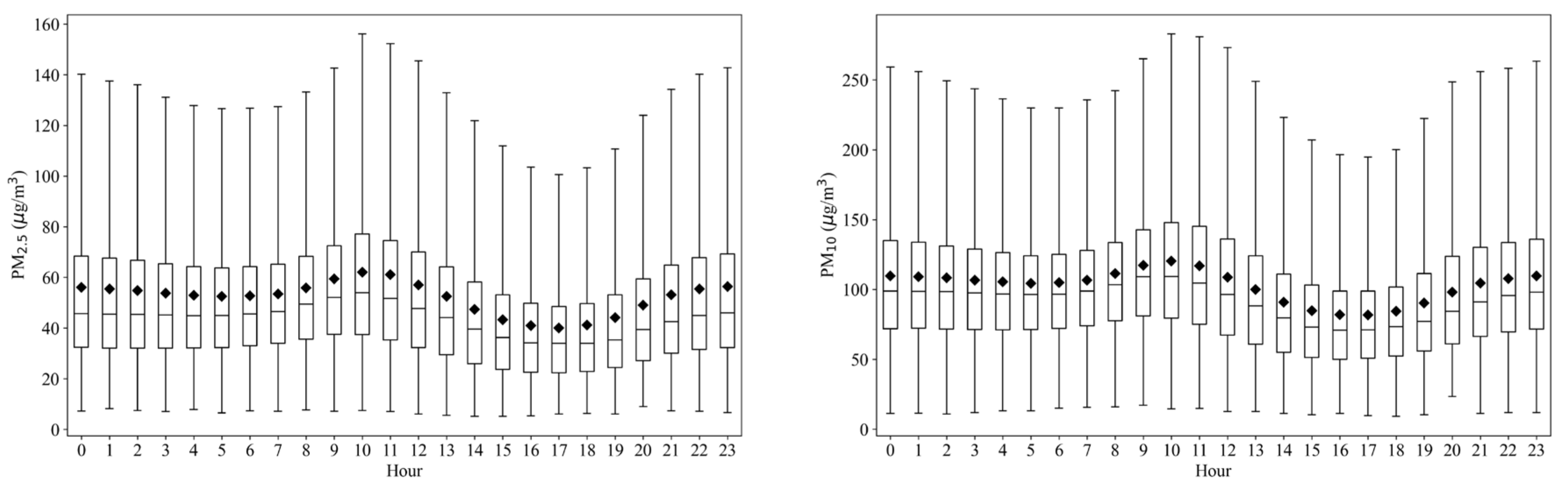
Figure 3 shows the diurnal variation of PM2.5 and PM10 concentrations during 2015–2019 in the study area. The variation trend of PM2.5 and PM10 concentrations in the study area is basically the same, showing an obvious double peak and double valley distribution. The first peak appeared at 10:00–11:00, and the second at 22:00–23:00, which is smaller than the first peak. The reason for traffic rush pollution in the morning is the enhancement of human activities [41], and a large amount of tail gas is emitted by vehicles. After the photochemical reaction, secondary aerosols are generated, which makes PM2.5 concentration reach the first peak. With the diffusion of pollutants, the concentration gradually decreases and reaches a valley at 17:00 [42]. With the arrival of the evening traffic peak [43] and the decrease in night temperature, it is easy to form a temperature inversion, and the atmosphere is relatively stable, which is not conducive to the diffusion of pollutants, causing the PM2.5 concentration to increase again at night and reach its peak again.
Figure 3.
Diurnal variation of PM2.5 and PM10 concentrations in the study area during 2015–2019.
To further understand the characteristics of particulate matter in coal cities, we made statistics of the annual average concentrations of PM2.5 and PM10 in each city from 2015 to 2019, as shown in Figure 4. It can be found that the average annual concentration of PM2.5 and PM10 in the study area increased first and then decreased.
Figure 4.
Spatial distribution of PM2.5 and PM10 in the study area from 2015 to 2019.
The severe PM2.5 pollution in 2015 occurred in CZ located in the southeast of the study area, with a concentration of 64.18 μg/m3. In 2016 and 2017, the annual average PM2.5 concentration in XZ, TY and LL increased significantly. The pollution scope was further expanded, and the pollution level in the eastern part of the study area was significantly aggravated. From 2018 to 2019, PM2.5 pollution in the study area as a whole was effectively alleviated, and the annual average PM2.5 concentration in each city decreased, indicating that good results have been achieved in the prevention and control of air pollution in the past two years.
Similar to the pattern of PM2.5, the severe pollution area of PM10 is still concentrated in the eastern part of the study area. PM10 pollution levels were the most serious in 2017, and YQ, TY, JC and LF have the highest PM10 concentration. In 2019, the annual average concentration of PM10 decreased significantly. Some cities located in the southeast and central parts of the study area had relatively high concentrations of PM2.5 and PM10. During the five years, EEDS and YL, which are located in the western part of the study area, had low concentrations of PM2.5 and PM10, and the overall pollution level was low.
3.2. Influence of Social-Economic Factors on Particulate Matter
The study area is located in the central region of China, with slow social-economic development. Compared with the developed eastern region, there is a different correlation between social-economic factors and particulate matter pollution. In order to further explore the influence of social-economic factors on particulate matter in the study area, we conducted statistics on social-economic factors from 2015 to 2019, as shown in Figure S2. Compared with other cities, SI and GDP of EEDS, YL and TY are higher. TY has a higher PD; EEDS and YL have higher GC; EEDS, SZ and YL have higher CO. There is a great difference in the distribution of social-economic factors in different cities. From 2015 to 2019, the regional differences of socioeconomic factors in each year did not change much.
Figures S3–S5 show the fitting curve of particulate matter concentration and social-economic factors from 2015 to 2019. The parameters of the curve are shown in Table 1. PM2.5 was significantly correlated with SI, PD, GC and CO, while PM10 was only significantly correlated with GC and CO, which had a poor correlation with other socioeconomic factors. This may be because the sources of the two particles are different. Fine particles are greatly affected by human factors, while coarse particles are greatly affected by surrounding dust [44]; however, coal mining will have a negative impact on land cover and make a certain contribution to local particulate matter levels [45].
Table 1.
Results of curve fitting.
It is worth noting that PM2.5 presents an “inverted U-shaped” quadratic polynomial relationship with SI and PD, while presenting a U-shaped relationship with GC and CO. However, the correlation between particulate matter concentration and traditional social-economic factor GDP is not significant, because TY’s GDP is higher, but particulate matter pollution is heavier, showing a deviation from the overall relationship. Some studies [27] reported a positive correlation between SI and PM2.5, which was different from our results. This may be due to the large difference in economic development between cities in the study area, and those cities with higher industrial output value also invest more in environmental governance. Likewise, the reason why the cities with high CO express a negative relationship is that those have a complete system of coal mining and transformation in situ [46,47], while coal enterprises in the cities with low CO often use the basic pattern to mining due to the limits of its small-scale, which easily causes environmental degradation. Thereby, there is a negative relationship between PM2.5 and GC, CO.
This spatial correlation expresses the influence of local economic development and industrial pattern on local particulate matter level, which can provide a reference for the balance between regional economic development and environmental quality. There are still many shortcomings in this study, and the effects of various industries on particulate pollution can be refined in the follow-up work. In addition to human factors, particulate levels are also affected by natural factors such as meteorology and atmosphere transport.
3.3. Influence of Natural Factors on Particulate Matter
Through the calculation of the pollution centroid [48], we determine TY as the particle pollution centroid city in the study area. At the same time, in order to explain the unique particulates pollution characteristics of TY, we took it as an example to discuss the influence of natural factors on the concentration of the local particulate.
We calculated Pearson correlation coefficients between six conventional pollutants and three meteorological factors (Temperature (T), Pressure (P) and Wind Speed (WS)) in TY in 2019 to discuss their influence on the particulate concentration, and the results are shown in Table 2. PM2.5 and PM10 are significantly positively correlated with NO2, SO2, CO and air pressure, and significantly negatively correlated with O3 and Temperature. This is because NO2 and SO2 in the atmosphere can be converted into secondary inorganic aerosols, thus promoting the formation of particulate matter to a certain extent; the atmospheric stability is higher under high pressure and low temperature, which is not conducive to the diffusion of particulate matter. It is worth noting that wind speed has a significant negative correlation with PM2.5 and a significant positive correlation with PM10. Higher wind speed is conducive to the diffusion of fine particles [49,50], but it is easy to produce dust weather, which increases the concentration of PM10 in the atmosphere, indicating that there are certain differences between the sources of PM2.5 and PM10. In addition, the significant correlation between particulate matter and CO, which is commonly used to indicate fossil fuel combustion, suggests that particulate pollution is influenced by local source emissions.
Table 2.
Results of Pearson correlation coefficient.
Figure 5 is the pollutant rose diagram of wind direction and PM concentration. It can be seen that the PM10 and PM2.5 concentration from the E-SE direction are relatively high, followed by the NW and NE directions. TY is adjacent to the Beijing–Tianjin–Hebei urban agglomeration in the east, and it is among the “2 + 26” cities, which regional pollution of particulate matter is relatively serious. The high concentration of particulate matter in the Beijing–Tianjin–Hebei region will have an impact on local PM10 and PM2.5 concentrations after long-distance transmission, which is consistent with the result of the trajectory cluster analysis in the next section.
Figure 5.
Pollutant rose diagram of wind direction and PM concentration.
In this study, the number of clusters is determined to be 6, and the clustering results are shown in Figure 6. In 2015, trajectory C2 was from the southwest direction, which accounted for the highest proportion 24.78%, and it could be seen from Figure S2 that its PM2.5 concentration was the highest. Trajectory C2 was from LF and Yanan city in the southwest direction and had a short moving path, indicating that it was mainly influenced by local source emissions in surrounding cities. Meanwhile, the PM2.5/PM10 value of C2 also was the highest, indicating that air mass from this direction contributed significantly to local fine particles. Trajectory C3 from the northwest direction and the C4 from the northeast direction both originated from Mongolia, and the PM10 and PM2.5 concentration were the lowest, which expressed the clean air mass from this district was conducive to the diffusion of particles matter, thus reducing the PM concentration in TY.
Figure 6.
Backward trajectory clustering of Taiyuan city from 2015 to 2019.
Similar to 2015, the trajectory C3 from the southwest direction still accounted for the highest proportion with 28.52% in 2016, and its PM2.5/PM10 ratio reached the highest among all trajectories. The PM10 and PM2.5 concentration of trajectory C6 from the western direction was the highest, which originated from Xinjiang.
In 2017, trajectory C2 from the northwest accounted for the highest proportion of 22.17%. The PM concentration of trajectory C1 from the northwest was significantly higher than that of other trajectories, and it originated from central Xinjiang, northern Gansu and western Inner Mongolia, which was the main source of sandstorms in China and transported dust to TY. Multiple sandstorms in 2017 significantly increased the concentration of PM10 in the region.
In 2018, the trajectory C5 from the eastern direction had the highest proportion of 25.80% and its PM2.5/PM10 ratio was the highest. Although the trajectory C3 from the northwest direction accounted for proportion with 12.53%, it had the highest PM10 concentration. This trajectory passed through northern Xinjiang and western Inner Mongolia, and its contribution to local PM10 concentration increased due to frequent dust weather.
In 2019, the trajectory C3 from Mongolia accounted for the highest proportion with 27.69%, followed by trajectory C4 with 26.94%. However, the PM2.5/PM10 ratio of trajectory C4 was the highest. It is worth noting that the proportion of air mass from the eastern direction has been increasing gradually, indicating that regional transport from the Beijing–Tianjin–Hebei region has a continuously increasing influence on local PM10 and PM2.5 concentration.
In general, during 2015–2019, the air mass trajectory of TY is mainly from the northwest direction, followed by the southwest direction and the east direction. In the northwest, there are many long tracks of long-distance transmission each year.
The clustering analysis of the trajectories has determined the transport direction and proportion of the trajectories in Taiyuan. In order to further reveal the spatial distribution characteristics of potential pollution sources in the study area, the contribution factor analysis of the potential source area was carried out for the backward trajectories of PM2.5 concentration exceeding the standard in Taiyuan from 2015 to 2019. The threshold concentration is set as the secondary standard limit of Ambient Air Quality Standard (GB3905-2012).
Figure 7 shows the PSCF distribution of PM2.5 in TY from 2015 to 2019. In 2015, the PM2.5 level in TY was mainly affected by the southwest, northwest and south directions, with a large range of potential pollution sources. The high WPSCF value was mainly distributed in Henan, northern Anhui, Shaanxi, Ningxia and eastern Gansu, and it exceeded 0.8 in western Henan and southern Shaanxi. In 2016, the value of WPSCF in Henan decreased significantly, and the transport of fine particulate pollution from the region weakened significantly. The high WPSCF values were concentrated in the southwest of Shaanxi province and the east of Gansu Province, which were >0.7. In 2017, the high WPSCF values were still concentrated in southwest Shaanxi province and eastern Gansu Province, but the range decreased. Meanwhile, compared with the previous two years, fine particulate matter transport from central Xinjiang in the northwest direction increased significantly, reaching the highest value in several years (WPSCF value > 0.4). In 2018, the value of WPSCF in Henan increased and its contribution increased significantly. The WPSCF value in 2019 was significantly lower than that in the past few years, and the range was significantly reduced. It is worth noting that, from the central and northern parts of Xinjiang through northern Gansu, western Inner Mongolia, northern Shaanxi and other regions to TY, there is a potential contribution source belt covering a wide range of northwest to southeast every year, which has a great contribution to the mass concentration of PM2.5.
Figure 7.
PSCF distribution of PM2.5 in Taiyuan from 2015 to 2019.
In general, the southwest area of TY is a high potential source area of fine particulate matter pollution. This area is the core area of the Fenwei Plain, including Baoji City, Xianyang City, Tongchuan City, Xi’an City and other regions in Shaanxi Province, as well as Lvliang City, Linfen City and Yuncheng City in Shanxi Province. The results show that the Fenwei Plain is the main source of PM2.5 in Taiyuan City, which is consistent with the findings of Yan [51] et al. Further, the long-distance transport of PM2.5 in the dust source area from the northwest also contributes to local fine particulate matter pollution to a certain extent; therefore, implementing policies such as windbreak and sand fixation, afforestation and mitigation of land desertification, and vigorously carrying out regional joint prevention and control can effectively alleviate the long-distance transmission of PM2.5 in Northwest China.
In addition, when the distribution of potential source areas is clarified, the contribution of potential source areas to local air pollution can be preliminarily understood, and the understanding of PM2.5 transport routes and potential sources in Taiyuan City can be improved. This can provide a scientific basis for air pollution prevention and control, provide a reference for effectively controlling air pollution in Taiyuan City and carry out regional joint prevention and control, and at the same time help reduce inter-regional human health risks.
4. Conclusions
In this study, 12 cities located in Shanxi Province, Inner Mongolia Autonomous Region and Shaanxi Province were selected as the study area to explore the spatial and temporal distribution characteristics of particulate matter in this region, and analyze the effect of social-economic and natural factors on local particulate matter level. The conclusions are as follows:
- (1)
- During 2015 to 2019, the average annual concentration of PM2.5 and PM10 increased first and then decreased, reaching the peak in 2017. Temporally, PM2.5 and PM10 presented a “U” shaped change pattern for monthly variation, and a double-peak and double-valley pattern for diurnal variation. Spatially, PM2.5 and PM10 concentration of TY and YQ in the central region and LF and JC in the southern region is higher, and EEDS and YL in the western region are relatively light.
- (2)
- In terms of social-economic factors, PM2.5 has a significant correlation with SI, PD, GC and CO. Differently, PM10 has a significant correlation with GC and CO, and a poor correlation with other social-economic factors. Specifically, PM2.5 has an “inverted U-shaped” quadratic polynomial relationship with SI and PD, and a U-shaped relationship with GC and CO.
- (3)
- In terms of natural factors, PM2.5 and PM10 are significantly positively correlated with NO2, SO2, CO and Pressure, and significantly negatively correlated with O3 and Temperature. Notably, wind speed has a significant negative correlation with PM2.5 and a significant positive correlation with PM10. Moreover, backward trajectory cluster analysis shows that the air mass trajectory in TY is mainly from the northwest direction, followed by the southwest direction and the east direction. In the northwest, there are many trajectories of long-distance transmission each year. PSCF analysis results show that the southwest region of TY is a high potential source of fine particulate matter pollution, and the long-distance transport of PM2.5 from Xinjiang in the northwest also contributes to fine particulate matter pollution to a certain extent. This paper discusses the influence of natural factors and social and economic factors on the concentration of particulate matter in coal production cities. In the follow-up work, the influence of various industries on particulate matter pollution can also be detailed, which will help decision-makers to consider these related air pollution conditions when formulating future urban development policies.
Supplementary Materials
The following supporting information can be downloaded at: https://www.mdpi.com/article/10.3390/ijerph19063228/s1, Figure S1: 2015–2019 Annual average concentration of particulate matter in cities (a) PM2.5 (b) PM10; Figure S2: 2015–2019 city socioeconomic indicators SI, GDP, PD, GC left axis, CO right axis; Figure S3: Curve fitting diagram of particulate matter concentration and socioeconomic factors in 2015 and 2016; Figure S4: Curve fitting diagram of particulate matter concentration and socioeconomic factors in 2017 and 2018; Figure S5: Curve fitting diagram of particulate matter concentration and socioeconomic factors in 2019; Figure S6: Statistical chart of 6 types of trajectories PM2.5, PM10, PM2.5/PM10 from 2015 to 2019 (one row for one year); Table S1: Socioeconomic Factor Indicators.
Author Contributions
Conceptualization, T.L.; data curation, C.F.; formal analysis, Z.L.; methodology, C.F.; supervision, J.W.; writing—original draft, T.L.; writing—review and editing, T.L. All authors have read and agreed to the published version of the manuscript.
Funding
This research was funded by the Ecology and Environment Department of Jilin Province. The project numbers are 2018-19 and 2019-08.
Institutional Review Board Statement
Not applicable.
Informed Consent Statement
Informed consent was obtained from all subjects involved in the study.
Data Availability Statement
Publicly available datasets were analyzed in this study. The data sources are https://www.aqistudy.cn/historydata/(accessed on 21 September 2021) and http://data.cma.cn (accessed on 25 September 2021).
Acknowledgments
I would like to thank all the staff of Project Group 537 and 142 of Jilin University for your support.
Conflicts of Interest
The authors declare no conflict of interest.
References
- Du, Y.; Sun, T.; Peng, J.; Fang, K.; Liu, Y.; Yang, Y.; Wang, Y. Direct and Spillover Effects of Urbanization on PM2.5 Concentrations in China’s Top Three Urban Agglomerations. J. Clean Prod. 2018, 190, 72–83. [Google Scholar] [CrossRef]
- Chen, Z.; Barros, C.P.; Gil-Alana, L.A. The Persistence of Air Pollution in Four Mega-Cities of China. Habitat Int. 2016, 56, 103–108. [Google Scholar] [CrossRef] [Green Version]
- Zhe, S.; Dongsheng, Z.; Fengjun, J. Spatio-Temporal Characteristics and Geographical Determinants of Air Quality in Cities at the Prefecture Level and Above in China. Chin. Geogr. Sci. 2019, 29, 316–324. [Google Scholar] [CrossRef]
- Wu, J.; Cheng, W.; Lu, H.; Shi, Y.; He, Y. The Effect of Particulate Matter on Visibility in Hangzhou, China. J. Environ. Sci. Manage. 2018, 21, 100–109. [Google Scholar] [CrossRef]
- Kim, K.-H.; Jahan, S.A.; Kabir, E. A Review on Human Health Perspective of Air Pollution with Respect to Allergies and Asthma. Environ. Int. 2013, 59, 41–52. [Google Scholar] [CrossRef]
- Li, R.; Wang, Z.; Cui, L.; Fu, H.; Zhang, L.; Kong, L.; Chen, W.; Chen, J. Air Pollution Characteristics in China during 2015-2016: Spatiotemporal Variations and Key Meteorological Factors. Sci. Total Environ. 2019, 648, 902–915. [Google Scholar] [CrossRef]
- Xu, G.; Ren, X.; Xiong, K.; Li, L.; Bi, X.; Wu, Q. Analysis of the Driving Factors of PM2.5 Concentration in the Air: A Case Study of the Yangtze River Delta, China. Ecol. Indic. 2020, 110, 105889. [Google Scholar] [CrossRef]
- Li, R.; Wang, J.; Xue, K.; Fang, C. Spatial and Temporal Distribution Characteristics and Influencing Factors Analysis of Particulate Matter Pollution in Jinan City. Air Qual. Atmos. Health 2021, 14, 1267–1278. [Google Scholar] [CrossRef]
- Fan, M.; He, G.; Zhou, M. The Winter Choke: Coal-Fired Heating, Air Pollution, and Mortality in China. J. Health Econ. 2020, 71, 102316. [Google Scholar] [CrossRef] [Green Version]
- Zhang, W.; Liu, B.; Zhang, Y.; Li, Y.; Sun, X.; Gu, Y.; Dai, C.; Li, N.; Song, C.; Dai, Q.; et al. A Refined Source Apportionment Study of Atmospheric PM2.5 during Winter Heating Period in Shijiazhuang, China, Using a Receptor Model Coupled with a Source-Oriented Model. Atmos. Environ. 2020, 222, 117157. [Google Scholar] [CrossRef]
- He, Z.; Liu, P.; Zhao, X.; He, X.; Liu, J.; Mu, Y. Responses of Surface O-3 and PM2.5 Trends to Changes of Anthropogenic Emissions in Summer over Beijing during 2014–2019: A Study Based on Multiple Linear Regression and WRF-Chem. Sci. Total Environ. 2022, 807, 150792. [Google Scholar] [CrossRef]
- Gao, J.; Wang, K.; Wang, Y.; Liu, S.; Zhu, C.; Hao, J.; Liu, H.; Hua, S.; Tian, H. Temporal-Spatial Characteristics and Source Apportionment of PM2.5 as Well as Its Associated Chemical Species in the Beijing-Tianjin-Hebei Region of China. Environ. Pollut. 2018, 233, 714–724. [Google Scholar] [CrossRef]
- Li, K.; Jacob, D.J.; Liao, H.; Zhu, J.; Shah, V.; Shen, L.; Bates, K.H.; Zhang, Q.; Zhai, S. A Two-Pollutant Strategy for Improving Ozone and Particulate Air Quality in China. Nat. Geosci. 2019, 12, 906–910. [Google Scholar] [CrossRef]
- Wu, J.; Wang, Y.; Liang, J.; Yao, F. Exploring Common Factors Influencing PM2.5 and O-3 Concentrations in the Pearl River Delta: Tradeoffs and Synergies. Environ. Pollut. 2021, 285, 117138. [Google Scholar] [CrossRef]
- Espitia-Perez, L.; Quintana Sosa, M.; Salcedo-Arteaga, S.; Leon-Mejia, G.; Stella Hoyos-Giraldo, L.; Brango, H.; Kvitko, K.; da Silva, J.; Henriques, J.A.P. Polymorphisms in Metabolism and Repair Genes Affects DNA Damage Caused by Open-Cast Coal Mining Exposure. Mutat. Res. Genet. Toxicol. Environ. Mutagen. 2016, 808, 38–51. [Google Scholar] [CrossRef]
- Graber, J.M.; Stayner, L.T.; Cohen, R.A.; Conroy, L.M.; Attfield, M.D. Respiratory Disease Mortality among US Coal Miners; Results after 37 Years of Follow-Up. Occup. Environ. Med. 2014, 71, 30–39. [Google Scholar] [CrossRef]
- Zullig, K.J.; Hendryx, M. A Comparative Analysis of Health-Related Quality of Life for Residents of US Counties with and without Coal Mining. Public Health Rep. 2010, 125, 548–555. [Google Scholar] [CrossRef]
- Maca, V.; Melichar, J. The Health Costs of Revised Coal Mining Limits in Northern Bohemia. Energies 2016, 9, 81. [Google Scholar] [CrossRef] [Green Version]
- Yapici, G.; Can, G.; Kiziler, A.R.; Aydemir, B.; Timur, I.H.; Kaypmaz, A. Lead and Cadmium Exposure in Children Living around a Coal-Mining Area in Yatagan, Turkey. Toxicol. Ind. Health 2006, 22, 357–362. [Google Scholar] [CrossRef]
- Cortes-Ramirez, J.; Naish, S.; Sly, P.D.; Jagals, P. Mortality and Morbidity in Populations in the Vicinity of Coal Mining: A Systematic Review. BMC Public Health 2018, 18, 721. [Google Scholar] [CrossRef] [Green Version]
- Zerizghi, T.; Guo, Q.; Tian, L.; Wei, R.; Zhao, C. An Integrated Approach to Quantify Ecological and Human Health Risks of Soil Heavy Metal Contamination around Coal Mining Area. Sci. Total. Environ. 2022, 814, 152653. [Google Scholar] [CrossRef]
- Liu, Y.; Wang, R.; Zhao, T.; Zhang, Y.; Wang, J.; Wu, H.; Hu, P. Source Apportionment and Health Risk Due to PM10 and TSP at the Surface Workings of an Underground Coal Mine in the Arid Desert Region of Northwestern China. Sci. Total. Environ. 2022, 803, 149901. [Google Scholar] [CrossRef]
- Yadav, A.K. Human Health Risk Assessment in Opencast Coal Mines and Coal-Fired Thermal Power Plants Surrounding Area Due to Inhalation. Environ. Chall. 2021, 3, 100074. [Google Scholar] [CrossRef]
- Hendryx, M.; Zullig, K.J.; Luo, J. Impacts of Coal Use on Health. In Annual Review of Public Health; Fielding, J.E., Ed.; Annual Reviews: Palo Alto, CA, USA, 2020; Volume 41, pp. 397–415. [Google Scholar] [CrossRef] [Green Version]
- Finkelman, R.B.; Wolfe, A.; Hendryx, M.S. The Future Environmental and Health Impacts of Coal. Energy Geosci. 2021, 2, 99–112. [Google Scholar] [CrossRef]
- Dai, S.; Yan, X.; Ward, C.R.; Hower, J.C.; Zhao, L.; Wang, X.; Zhao, L.; Ren, D.; Finkelman, R.B. Valuable Elements in Chinese Coals: A Review. Int. Geol. Rev. 2018, 60, 590–620. [Google Scholar] [CrossRef]
- Wang, Y.; Yao, L.; Xu, Y.; Sun, S.; Li, T. Potential Heterogeneity in the Relationship between Urbanization and Air Pollution, from the Perspective of Urban Agglomeration. J. Clean Prod. 2021, 298, 126822. [Google Scholar] [CrossRef]
- Liu, X.-J.; Xia, S.-Y.; Yang, Y.; Wu, J.; Zhou, Y.-N.; Ren, Y.-W. Spatiotemporal Dynamics and Impacts of Socioeconomic and Natural Conditions on PM2.5 in the Yangtze River Economic Belt. Environ. Pollut. 2020, 263, 114569. [Google Scholar] [CrossRef]
- Zhang, X.; Gu, X.; Cheng, C.; Yang, D. Spatiotemporal Heterogeneity of PM2.5 and Its Relationship with Urbanization in North China from 2000 to 2017. Sci. Total. Environ. 2020, 744, 140925. [Google Scholar] [CrossRef]
- Liu, X.; Zou, B.; Feng, H.; Liu, N.; Zhang, H. Anthropogenic Factors of PM2.5 Distributions in China’s Major Urban Agglomerations: A Spatial-Temporal Analysis. J. Clean. Prod. 2020, 264, 121709. [Google Scholar] [CrossRef]
- Zhao, X.; Zhou, W.; Han, L.; Locke, D. Spatiotemporal Variation in PM2.5 Concentrations and Their Relationship with Socioeconomic Factors in China’s Major Cities. Environ. Int. 2019, 133, 105145. [Google Scholar] [CrossRef]
- Stein, A.F.; Draxler, R.R.; Rolph, G.D.; Stunder, B.J.B.; Cohen, M.D.; Ngan, F. Noaa’s Hysplit Atmospheric Transport and Dispersion Modeling System. Bull. Amer. Meteorol. Soc. 2015, 96, 2059–2077. [Google Scholar] [CrossRef]
- Wang, Y.Q.; Zhang, X.Y.; Draxler, R.R. TrajStat: GIS-Based Software That Uses Various Trajectory Statistical Analysis Methods to Identify Potential Sources from Long-Term Air Pollution Measurement Data. Environ. Modell. Softw. 2009, 24, 938–939. [Google Scholar] [CrossRef]
- Zhang, R.; Jing, J.; Tao, J.; Hsu, S.-C.; Wang, G.; Cao, J.; Lee, C.S.L.; Zhu, L.; Chen, Z.; Zhao, Y.; et al. Chemical Characterization and Source Apportionment of PM2.5 in Beijing: Seasonal Perspective. Atmos. Chem. Phys. 2013, 13, 7053–7074. [Google Scholar] [CrossRef] [Green Version]
- Wang, L.; Li, W.; Sun, Y.; Tao, M.; Xin, J.; Song, T.; Li, X.; Zhang, N.; Ying, K.; Wang, Y. PM2.5 Characteristics and Regional Transport Contribution in Five Cities in Southern North China Plain, During 2013–2015. Atmosphere 2018, 9, 157. [Google Scholar] [CrossRef] [Green Version]
- Wang, Y.; Wang, H.; Chang, S.; Liu, M. Higher-Order Network Analysis of Fine Particulate Matter (PM2.5) Transport in China at City Level. Sci. Rep. 2017, 7, 13236. [Google Scholar] [CrossRef] [Green Version]
- Li, D.; Liu, J.; Zhang, J.; Gui, H.; Du, P.; Yu, T.; Wang, J.; Lu, Y.; Liu, W.; Cheng, Y. Identification of Long-Range Transport Pathways and Potential Sources of PM2.5 and PM10 in Beijing from 2014 to 2015. J. Environ. Sci. 2017, 56, 214–229. [Google Scholar] [CrossRef]
- Yu, H.; Feng, J.; Su, X.; Li, Y.; Sun, J. A Seriously Air Pollution Area Affected by Anthropogenic in the Central China: Temporal-Spatial Distribution and Potential Sources. Environ. Geochem. Health 2020, 42, 3199–3211. [Google Scholar] [CrossRef]
- Li, Y.; Chen, Q.; Zhao, H.; Wang, L.; Tao, R. Variations in PM10, PM2.5 and PM1.0 in an Urban Area of the Sichuan Basin and Their Relation to Meteorological Factors. Atmosphere 2015, 6, 150–163. [Google Scholar] [CrossRef] [Green Version]
- Qu, W.J.; Arimoto, R.; Zhang, X.Y.; Zhao, C.H.; Wang, Y.Q.; Sheng, L.F.; Fu, G. Spatial Distribution and Interannual Variation of Surface PM10 Concentrations over Eighty-Six Chinese Cities. Atmos. Chem. Phys. 2010, 10, 5641–5662. [Google Scholar] [CrossRef] [Green Version]
- Tang, G.; Zhang, J.; Zhu, X.; Song, T.; Muenkel, C.; Hu, B.; Schaefer, K.; Liu, Z.; Zhang, J.; Wang, L.; et al. Mixing Layer Height and Its Implications for Air Pollution over Beijing, China. Atmos. Chem. Phys. 2016, 16, 2459–2475. [Google Scholar] [CrossRef] [Green Version]
- Zhao, S.; Yu, Y.; Yin, D.; He, J.; Liu, N.; Qu, J.; Xiao, J. Annual and Diurnal Variations of Gaseous and Particulate Pollutants in 31 Provincial Capital Cities Based on in Situ Air Quality Monitoring Data from China National Environmental Monitoring Center. Environ. Int. 2016, 86, 92–106. [Google Scholar] [CrossRef]
- Wang, J.; Xie, X.; Fang, C. Temporal and Spatial Distribution Characteristics of Atmospheric Particulate Matter (PM10 and PM2.5) in Changchun and Analysis of Its Influencing Factors. Atmosphere 2019, 10, 651. [Google Scholar] [CrossRef] [Green Version]
- Deng, Y.; Zhao, Y.; Zhang, Y.; Shi, C.; Yue, L.; Chen, T.; Wu, H.; Hu, P. Atmospheric dust characteristics and source analysis based on SEM-EDS——Taking the coal mining base in the desert steppe area as an example. Chin. Environ. Sci. 2021, 41, 5512–5521. [Google Scholar]
- Zhou, S.; Duan, Y.; Zhang, Y.; Guo, J. Vegetation Dynamics of Coal Mining City in an Arid Desert Region of Northwest China from 2000 to 2019. J. Arid Land 2021, 13, 534–547. [Google Scholar] [CrossRef]
- Yu, S.; Wei, Y. Prediction of China’s Coal Production-Environmental Pollution Based on a Hybrid Genetic Algorithm-System Dynamics Model. Energy Policy 2012, 42, 521–529. [Google Scholar] [CrossRef]
- You, C.F.; Xu, X.C. Coal Combustion and Its Pollution Control in China. Energy 2010, 35, 4467–4472. [Google Scholar] [CrossRef]
- Jiang, L.; He, S.; Zhou, H. Spatio-Temporal Characteristics and Convergence Trends of PM2.5 Pollution: A Case Study of Cities of Air Pollution Transmission Channel in Beijing-Tianjin-Hebei Region, China. J. Clean Prod. 2020, 256, 120631. [Google Scholar] [CrossRef]
- Chen, Z.; Chen, D.; Zhao, C.; Kwan, M.; Cai, J.; Zhuang, Y.; Zhao, B.; Wang, X.; Chen, B.; Yang, J.; et al. Influence of Meteorological Conditions on PM2.5 Concentrations across China: A Review of Methodology and Mechanism. Environ. Int. 2020, 139, 105558. [Google Scholar] [CrossRef]
- Han, J.; Wang, J.; Zhao, Y.; Wang, Q.; Zhang, B.; Li, H.; Zhai, J. Spatio-Temporal Variation of Potential Evapotranspiration and Climatic Drivers in the Jing-Jin-Ji Region, North China. Agric. For. Meteorol. 2018, 256–257, 75–83. [Google Scholar] [CrossRef]
- Yan, S.; Wang, Y.; Guo, W.; Li, Y.; Zhang, F. Analysis of air pollution characteristics, transport paths and potential source areas in autumn and winter in Taiyuan City. Environ. Sci. 2019, 40, 4801–4809. [Google Scholar] [CrossRef]
Publisher’s Note: MDPI stays neutral with regard to jurisdictional claims in published maps and institutional affiliations. |
© 2022 by the authors. Licensee MDPI, Basel, Switzerland. This article is an open access article distributed under the terms and conditions of the Creative Commons Attribution (CC BY) license (https://creativecommons.org/licenses/by/4.0/).






