Abstract
Precision public health supported on online tools is increasingly emerging as a potential strategy to achieve health promotion and disease prevention. Our aim was to assess the relationships of sociodemographic variables, anthropometric data, dietary habits and lifestyle factors with health-related quality of life (HRQoL), cardiometabolic health status and ethnicity in an online recruited adult population (NutrIMDEA Study). NutrIMDEA Study is a web-based cross-sectional survey that included 17,333 adults. Self-reported sociodemographic characteristics, anthropometric data, clinical and family history of cardiometabolic illnesses, dietary habits, lifestyle factors and HRQoL features were collected. Diseased individuals showed significative poorer MedDiet and worse HRQoL than those in the healthy cardiometabolic status group (p < 0.05). In comparison, European/Caucasian individuals reported a significantly better HRQoL, higher MedDiet and HRQoL values compared with those of other ethnicities (p < 0.05). We obtained a total of 16.8% who reported poor/fair, 56.5% good and 26.6% very good/excellent HRQoL. Respondents with very good/excellent HRQoL showed lower BMI, greater adherence to a Mediterranean diet (MedDiet) and higher physical activity. The results suggest the presence of interactions between the mental and physical components of HRQoL with obesity, sedentarism and dietary intake, which were dependent on disease status and ethnicity. Online HRQoL assessment could contribute to wider implementation of precision public health strategies to promote health targeted interventions with policy implications to community health promotion.
1. Introduction
Public Health Nutrition (PHN) involves the study of the environment, sociodemographic characteristics, diet, lifestyle and health, which affects the design, implementation and evaluation of nutritional interventions at the community level in order to improve the health status of specific groups [1,2]. In the new era of availability of information and big data, the Precision Public Health (PPH) concept is emerging, based on applying “the right intervention at the right time, every time to the right population”. In this way, considering health-related factors as possible, better target interventions and policies for populations can be accounted for, which includes considerations of social and environmental determinants of health [3]. In this context, accompanying cardiometabolic complications (obesity, diabetes, hypertension and dyslipidemia) are closely related to eating and metabolic status and are a focus of multiethnic and intersectoral actions in public health nutrition, which needs to be analyzed and actions implemented based on personalized information [4], where online data sourcing will be the way for future investigations [5].
In this context, health indicators are defined as summary measures that capture relevant information on different attributes and dimensions of the state of health and performance [6]. These estimators help to screen and monitor the health of a particular population [7]. The traits include the characterization of quality of life, where the dimensions of health include physical, emotional, spiritual, environmental, mental and social well-being [8]. Some of these meters and indicators are metabolic status assessment, health-related quality of life (HRQoL), prevalence of noncommunicable diseases (NCD) and determinants of health and lifestyle (dietary patterns, physical activity or smoking status) factors, which may be retrieved by online surveys [9].
Furthermore, health-related quality of life (HRQoL) is a measure of the impact of health/disease on daily functions and is greatly influenced by an individual’s conditions, concerns and aspirations as well as self-perceived health and well-being [10]. Determinants of health quality and alleged well-being include sociodemographic, environmental and nutritional features such as diet and lifestyle factors [11]. There is a wide range of instruments for measuring HRQoL such as Short-Form 36 (SF-36), Short-Form 12 (SF-12), European Quality of Life-5 Dimensions (EQ-5D), World Health Organization Quality-of-Life Scale (WHOQoL) and Nottingham questionnaire [12] among others [13]. Today, the SF-36 questionnaire is one of the most worldwide-administered tools to evaluate the multidimensional HRQoL The SF-12 Spanish validated version is made up of a subset of twelve items of the SF-36 including one or two questions of each of the eight scales of the SF-36 [14]. The information from these twelve items is used to construct the physical and mental summary measures of the SF-12 (PCS12 and MCS12, respectively), both of them representing specific global health dimensions [15].
The epidemiological rates concerning cardiometabolic-related morbidities (obesity, diabetes, hypertension and dyslipidemia) have increased in recent years, with a growing recognition by the population that PH policies and modifiable factors affect health and disease outcomes [16] through the life course [17]. In contrast, a number of studies have separately investigated disease and HRQoL relationships [18] and trends of NCD depending on race/ethnicity [19], but there are fewer studies that associate genetic/social factors with HRQoL, instead suggesting the existence of risk populations [20]. Newer studies today should be devoted to determining the prevalence of major diseases and risk factors concerning migrants and racial groups to guide health policies concerning wellbeing in vulnerable ethnicities with precision [19,20].
In this framework, a precision medicine and nutrition approach involving PPH perspectives is important to improve quality of life, diet-related habits and healthy lifestyles to reduce the risk of future cardiometabolic diseases considering health and ethnic aspects. To this end, the aim of the current study is the assessment of relationships among sociodemographic variables, cardiometabolic diseases/morbidities (obesity, diabetes, hypertension and dyslipidemia), dietary habits and lifestyle factors as well as putative interaction with health-related quality of life, where the role of ethnicity on some analyzed outcomes was examined in an online recruited population.
2. Materials and Methods
2.1. Study Design and Sample
Survey data were collected from the web-based NutrIMDEA Study. A total of 17,333 participants (62.7% females and 37.3% males) were included between May 2020 and November 2020 in this observational cross-sectional study. Inclusion criteria considered to enroll participants with age over 18 years with internet access, with the only requirement that they understood Spanish to complete the survey and not necessarily being from a Spanish-speaking country. The questionnaire was freely online accessible at https://nutrimdea2020.questionpro.com/ (accessed on 8 July 2020). Sources of information were an open survey and a rewarded survey. The first one was advertised in different communication/media channels as Spanish national newspapers or radio programs, and in the second one, audiences were purchased by omnibus companies in Spanish-speaking countries. Responders that completed the open survey obtained a personalized report based on their habits and health. Self-reported answers from multiethnic participants from Spanish-speaking countries were analyzed, where the Spanish National Health Survey 2017 (SNHS 2017) was used as reference for comparisons [21]. All those individuals who showed interest to be part of the study were properly informed about all the procedures before they entered the study. The questionnaire was delivered after asking conditions to IMDEA-CEI and the external companies that performed the surveys, which confirmed that filling the questionnaires is a proof of acceptance to participate and contribute to the NutrIMDEA study with own anonymized data. In our case, a disclaimer was incorporated to the survey to inform about these matters.
2.2. Questionnaire and Measurements
The survey was based on the questionnaire of de Cuevillas et al. [22], where quality of life phenotypical and lifestyle factors (diet/physical activity) were recorded to categorize individuals with a nutritional quantitative score or nutrimeter according to their nutritional well-being in order to discriminate nutritypes.
The baseline questionnaire included sociodemographic data (age, sex and educational level/occupation), self-reported anthropometric data (weight and height), cardiometabolic diseases prevalence (obesity, diabetes, hypertension, dyslipidemia), family history of cardiometabolic diseases (obesity, diabetes, hypertension, dyslipidemia), dietary habits (Mediterranean Adherence Score, number of meals per day, snacking habit, servings of vegetables per day, servings of legumes per day, servings of fish per day), lifestyle (nap habit, physical activity, smoking status) and quality of life features (SF12 Health Survey Item 1) or calculated physical and mental component scores of SF12 Health Survey (PCS12/MCS12). All of these variables were self-reported by the participants or calculated from the responses.
Among sociodemographic data, the age was analyzed within three categories (18–40 years, 40–70 years and >70 years). Sex consisted of two categories (male and female), while the category “other” was avoided in the current analyses. Educational level was classified into two categories: high school or less (primary education or less, low or intermediate secondary education, higher secondary education) and more than high school (intermediate vocational education, higher vocational education or university). Occupation was defined in three main groups: unemployed/retired, worker and student.
Concerning anthropometric data, BMI was calculated using data on self-declared weight and height, and individuals were stratified according to their Body Mass Index (BMI). Cut-off points were established according to the World Health Organization (WHO) as normal weight (BMI < 25.0 kg/m2), overweight (BMI 25.0–29.9 kg/m2) or obesity BMI ≥ 30.0 kg/m2) [23].
Cardiometabolic disease prevalence was self-reported by participants with the following question: “Have you been diagnosed or are you currently undergoing treatment for any of the following conditions?” The options were diabetes, high blood pressure, dyslipidemia and obesity, and possible answers were yes/no.
As nutritional quality estimation, the Mediterranean Adherence Diet Score was assessed by using the PREDIMED questionnaire, known as MEDAS-14 [24]. In addition, dietary habits such as number of meals a day, snacking habit and servings of vegetables, legumes and fish per week were recorded. In relation to lifestyle, nap habit, which is defined as a short period of sleep typically taken during daytime hours as an adjunct to the usual nocturnal sleep period, was categorized as yes/no. Physical activity was assessed using the International Physical Activity Questionnaire (IPAQ) using the Spanish version [25]. Activities were categorized as light, moderate or intense based on the metabolic equivalent value (MET), which was converted to hours/week units. Smoking status was categorized as current or former smoker.
Quality of Life Features were assessed with Item 1 of SF12 Health Survey (In general, would you say your health is?), and physical and mental component scores of SF12 Health Survey (PCS12/MCS12), were computed, which ranged from 0 to 100. High scores indicated a better quality of life [26]. Participants were categorized into three groups (poor/fair health, good health and very good/excellent health) according to self-reported answer SF12 Health Survey Item 1 “In general, would you say your health is?” This item was transformed: poor and fair were pooled into the group of “poor/fair” HRQoL, good into the group “good” HRQoL and very good and excellent made up the “very good/excellent” group, a third category. Moreover, participants were stratified by cardiometabolic health status into two groups (healthy cardiometabolic status and diseased cardiometabolic status). A diseased group was assigned if a participant had one of these cardiometabolic diseases (obesity, diabetes, hypertension or dyslipidemia). The last stratification was performed by ethnicity into two groups (European/Caucasians and other ethnicities). Other ethnicities included Africans, Asians, Hispanic/Latinos, mestizos and other ethnicities.
2.3. Statistical Analysis
For the Spanish population, the survey showed a margin of error considered as the degree of error in results received from random sampling surveys [27,28] of 0.9% with a confidence level of 95% (46,940,000 population and 11,883 sample). For the Hispanic sample, we took into account the countries of those with +20 observations. We calculated the same 0.9% margin of error with a 95% confidence level (1,055,910,000 population and 11,883 sample).
Characteristics of the study sample were presented using descriptive statistics such as mean and standard deviation for continuous variables or proportions for categorical variables. Differences in sociodemographic data, dietary patterns and lifestyle features according to HRQoL, cardiometabolic health status and ethnicity were assessed using either chi-squared tests (χ2 test), two-sided student’s t-tests or one-way analysis of variance (ANOVA). Significance threshold for the obtained p-values was set to p < 0.05. All descriptive and statistical analyses were performed using the R programming software (version 3.6.0; R Foundation (RStudio, PBC, Boston, MA, USA)).
3. Results
Sample Characteristics
Participants (n = 17,333) of the NutrIMDEA 2020 Study (Table 1) were mainly females (62.7%) and had a higher educational level than the ones included in the Spanish National Health Survey 2017 (SNHS 2017). Our study population had better cardiometabolic health with less prevalence of obesity, HBP, diabetes and dyslipidemia, fewer current smokers, better self-perception of their health, lower BMI, greater consumption of vegetables per day and no significant differences in light physical activity. The SNHS 2017 population was older, with 22% of participants over 70 years of age compared to 5% of this age range in the NutrIMDEA Study. Regarding occupation, the large percentage of retirees in the SNHS 2017 is also noteworthy, and in terms of education level, NutrIMDEA mostly reaches university studies.
Table 1.
Sociodemographic Data, Health Characteristics, Dietary Habits, Lifestyle and Quality of Life Features Categorized by Spanish National Health Survey 2017 and NUTRIMDEA Study 2020.
Results after categorizing the sample by cardiometabolic health status are reported (Table 2). The diseased cardiometabolic group had at least one of the following cardiometabolic diseases: obesity, diabetes, hypertension or dyslipidemia. There were significant differences in all variables except for snaking habit, servings of legumes per day and moderate/intense and total physical activity. The analyzed sample had mostly healthy cardiometabolic status (71%), and the majority age group in diseased participants was 40–70 years and included more diseased women than men. Most of the sample was university collective and had a higher percentage of workers among the healthy participants (75.4% vs. 68.8%). The diseased group (29%) showed more family history of cardiometabolic diseases, included more current smokers and presented a worse HRQoL than the healthy group (Table 2). PCS12 in the healthy group was higher (54.5 (95% CI, 54.4–54.6) points vs. 51.0 (95% CI, 50.7–51.23) points with p < 0.05). Surprisingly, MCS12 was higher in the diseased group (44.7 (95% CI, 44.3–45.0) points vs. 43.5 (95% CI, 43.3–43.7) points with p < 0.05).
Table 2.
Sociodemographic Data, Health Characteristics, Dietary Habits, Lifestyle and Quality of Life Features of the participants Categorized by Cardiometabolic Health Status (healthy/diseased).
The main characteristics of the participants according to their ethnicity (European/Caucasian and other ethnicities) are also displayed (Table 3). There were no significant differences in diabetes prevalence, family history of HBP, light physical activity and MCS12. European/Caucasian individuals included in the study were younger compared to other ethnicities, less obese (9.9% vs. 12.3% with p < 0.05), were less likely to be current smokers and had less family history of obesity and family history of dyslipidemia compared to other groups. Europeans/Caucasian reported eating more meals a day and having less snacking habit than other ethnicities. BMI mean and Total PA was higher in other ethnicities and showed significant differences with Europeans/Caucasians (Figure 1), while high rates of MEDAS-14 were achieved in such group. A higher PCS12 for the European group (53.7 (95% CI, 53.6–53.9) points vs. 53.0 (95% CI, 52.8–53.2) points, p < 0.05) was found, while no significant differences in MCS12 (43.9 (95% CI, 53.6–44.1) points in both groups, p = 0.817) where noted (Figure 2).
Table 3.
Sociodemographic Data, Health Characteristics, Dietary Habits, Lifestyle and Quality of Life Features of the participants Categorized by Ethnicity (European/Caucasian and other ethnicities).
Figure 1.
Descriptive Health Characteristics and Lifestyle Categorized by HRQoL, Cardiometabolic Health Status and Ethnicity of the participants of the study. (a) BMI mean Categorized by HRQoL, Cardiometabolic Health Status and Ethnicity; (b) Mediterranean Adherence Score (MEDAS)–PREDIMED Categorized by HRQoL, Cardiometabolic Health Status and Ethnicity; (c) Total Physical Activity Categorized by HRQoL, Cardiometabolic Health Status and Ethnicity.
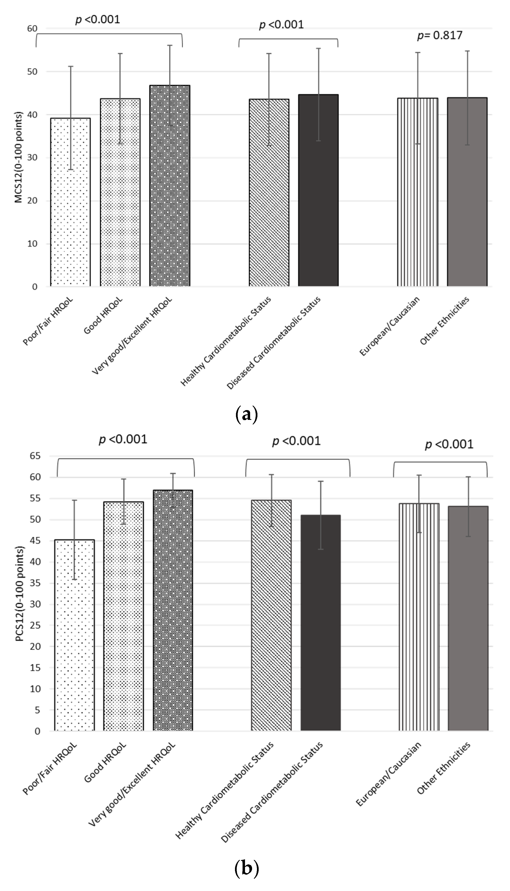
Figure 2.
Mental (a) and Physical (b) Component Summary Score of SF-12 Health Survey Categorized by Cardiometabolic Health Status and Ethnicity.
Regarding HRQoL, 16.8% of the sample of NutrIMDEA Study reported a poor/fair HRQoL, 56.5% of the surveyed subjects reported good self-perception of health and 26.6% reported a very good/excellent HRQoL (Table 4). There were significant differences in all variables when they were categorized by Item 1 of SF12 Health Survey. The participants who reported a very good/excellent HRQoL were mostly 40–70 years old, had a higher educational level, were workers and had a lower prevalence of cardiometabolic diseases and less family history of cardiometabolic diseases. A higher percentage of responders reported very good/excellent HRQoL, never smoked and showed higher scores in MCS12 (46.8 (95% CI, 46.5–47.1) points vs. 39.2 (95% CI, 38.7–39.7) points p < 0.05) and PCS12 (56.9 (95% CI, 56.8–57.1) points vs. 45.2 (95% CI, 44.8–46.5) points in poor/fair HRQoL, p < 0.05). Moreover, they reported lower weight, less obesity, more consumption of vegetables per day, more servings of legumes per day and more total physical activity than poor/fair HRQoL responders.
Table 4.
Sociodemographic Data, Health Characteristics, Dietary Habits, Lifestyle and Quality of Life Features of the participants Categorized by Item 1 of the SF-12 Health Survey (“In general, would you say your health is?”).
Global trends of main inputs and outcomes are illustrated (Figure 1). Thus, in HRQoL, there is a negative association with BMI and a positive association with MEDAS14 and total physical activity. Regarding diseased cardiometabolic status, it was established a direct association with BMI and a negative association with MEDAS14 and total physical activity, but in this last variable with statistically marginal differences (12.0 (95% CI, 11.4–12.1) hours/week vs. 11.7 (95% CI, 11.8–12.2) hours/week, p = 0.075). Regarding ethnic issues, other ethnicities showed a positive association with BMI, a negative association with MEDAS-14 and higher total physical activity than European/Caucasian respondents.
As a measure of global health, MCS12 and PCS12 were assessed (Figure 2). MCS12 showed significative differences between the three categories HRQoL (poor/fair, good and very good/excellent) (39.2 ± 12.0 (95% CI, 38.7–39.7) points, 43.7 ± 10.5 (95% CI, 43.5–44.0) points and 46.8 ± 9.3 (95% CI, 46.5–47.1) points, respectively, with p < 0.001). Furthermore, there was a remarkable difference in MCS12 between either healthy or diseased cardiometabolic status (43.5 ± 10.7 (95% CI, 43.3–43.7) points and 44.7 ± 10.7 (95% CI 44.3–45.0) points, respectively, p < 0.001). However, there were no statistical differences in HRQoL according to ethnicity (p = 0.817). Noteworthily, PCS12 showed differences among all stratifications in the applied statistical tests.
4. Discussion
Public health strategies have considered nation-wide surveys as NHANES (National Health and Nutrition Examination Survey) to assess the health and nutritional status of adults and children in the United States [29] or EHIS (European Health Interview Survey) that aims at measuring on a harmonized basis and comparability among Member States the health status, health determinants and access to health of the EU citizens [30]. In Spain, the Spanish National Health Survey (SNHS) is carried out by the Spanish Ministry of Health, Consumption and Social Welfare with the collaboration of the Spanish National Institute of Statistics (INE) and collects health information related to the resident population in Spain [21]. This approach is a five-year study that allows researchers to know health aspects from citizens at national and regional levels by collecting data to plan, implement and evaluate actions in health matters, which was used to analyze our web-based population as the closest customary standard.
In this sense, we compared the latest SNHS 2017 reference population survey with the NutrIMDEA Study sample, aiming to find potential similarities/differences on several health indicators and health determinants in order to contextualize the health situation of the study population based on two different models. A wider proportion from the SNHS 2017 participants were older than 70 years, with a higher percentage of retirees compared to the NutrIMDEA Study, which was not unexpected given the data origin: traditional collection method vs. online, respectively. Accordingly, as a consequence of age distribution, most variables evidenced better health outcomes in the NutrIMDEA Study. This fact may be also be because the NutrIMDEA Study, as an online directed health survey, may imply that the participants are more aware and interested in health-related issues, as seen in previous web-based studies such as Food4Me [31]. In any case, the online health data collection method has been validated [31], where important variables such as reported and collected BMI are correlated [32]. In this direction, we can confirm that SNHS 2017 and NutrIMDEA Study involve noncomparable populations due to the data collection method, different periods of data inclusion (prior to 2017 and in 2020, respectively) and assumably different internet knowledge in an older Spanish population, which may explain the outcome heterogeneity and some input diversity.
Sociodemographic features, dietary habits and lifestyle factors are related to health and quality of life [33]. Our population showed expected trends concerning the categories sex, education, occupation, anthropometric data and lifestyle (nap habits, physical activity and smoking status), as previously published in comparable populations [11,34] Participants who reported a high self-referred HRQoL value showed better health outcomes, as found in previous studies in Spain [35,36]. Thus, dietary habits were more balanced as HRQoL increases and higher consumption of vegetables and fish were associated with superior HRQoL as found in a previous study by Sayón-Orea et al. [37]. Moreover, obesity was significantly related to a lower HRQoL [38]. There is an increasing trend of PCS12 and MC12 values as the HRQoL category rises. This direction also remains in the MCS12 value on both healthy/diseased groups. However, this tendency is reversed in the PCS12 score, which could be explained by a reduced physical activity. There were no significant differences in MCS12 between European/Caucasians and other ethnicities. An independent effect of BMI on HRQoL among racial and ethnic groups was previously identified in an investigation involving Blacks, Whites and Hispanics [39].
Cardiometabolic health status depends on sociodemographic characteristics, dietary habits and lifestyle [11,40]. In this sense, metabolic syndrome has been associated with poor overall health and poor physical mental health status in American adults [41], which is consistent with our results. Furthermore, a higher education level among the healthy group was detected, and twice, unemployed/retired were found in the diseased group, which may be due to older aged subjects in this category. Data collection has some influence since hypertension rates in the current cohort were lower than data provided by other studies [42,43]. Indeed, in an online population, it may be found that only those with antihypertension treatment may respond as suffering cardiometabolic manifestation, which also applies for the diabetes, obesity and dyslipidemia questions/answers. The higher percentage of family history of cardiometabolic diseases in the diseased group can be explained by genetic factors and worse inherited and shared domestic habits [44].
According to previous studies, normal weight participants had a lower probability to report poor HRQoL than overweight/obese participants with any chronic disease [37]. It was unexpected to not find significant differences in moderate, intense and total physical activity despite previous references in the literature [37]. Perhaps this finding may be partly due to the data collection period during the COVID-19 pandemic, which may have led changes in lifestyle.
In Europe, previous ethnicity research has reported inconsistent findings regarding health status and HRQoL [45]. Our study adds to the current evidence some multifactorial findings since more HBP prevalence in other ethnicities was found and higher normal weight prevalence in European group. On the other hand, the “Healthy migrant effect” is a situation where migrants often have a better health status than the remaining population in the native country, but not concerning BMI data, as contrasted in another study [46]. This same study showed other ethnicities had the highest odds of HRQoL, with worse health than White British adults [46]. In contrast, a higher PCS12 score in Europeans/Caucasians than in other ethnicities was found, while MCS12 was similar in both groups.
A negative correlation among very good/excellent HRQoL and high BMI was featured, which is consistent with previous research [11,47]. Moreover, a positive association among very good/excellent HRQoL with MEDAS14 was identified, which is in agreement with data from the PREDIMED-PLUS trial, where MEDAS14 has been associated with better self-reported quality of life and attributed to the fact that Mediterranean diet reduces the risk of chronic diseases and is protective against cardiovascular diseases [48,49]. In addition, total physical activity levels are associated with better HRQoL and dietary patterns, as reported in a previous studies [50,51]. These observations confirm the suitability of a web-based collection and provide support for actions focused on improving lifestyle and control obesity in the population based on online captured information. Previous studies have noted the protective effect of a high-quality diet on self-perceived health [11,47,48] as well as similar results observed in another European cohort that showed that higher adherence to a Mediterranean diet was associated with higher HRQoL, as assessed by other means [52]. In other studies, lower HRQoL scores were reported by people who were older, with elementary education or less and with fair or poor subjective health status, factors which are affected by ethnicity [53].
An overview of systematic reviews evidenced that sedentary behaviors are related with adverse health outcomes, which can benefit from computer and internet use [54]. Furthermore, an online approach may facilitate counseling in adults without known cardiovascular disease [55]. The comparison of data from subjects with different cardiometabolic status in our cohort demonstrated the reliability of the online instrument concerning the collection of anthropometrics, dietary habits, lifestyle and quality of life data. However, despite the plausibleness of the outcomes, this cross-sectional research was not able to address the issue if such relationships are causal for disease or are a consequence of a poor cardiometabolic health.
Concomitantly, the analyses of the survey responses concerning ethnic backgrounds revealed differences in personal and phenotypical features, as previously reported in Canadian immigrants and native-born individuals [56], which may be of help to implement future culturally based interventions for chronic disease management, as also reviewed in Chinese–Americans [57]. As other research has evidenced, a sense of belonging contributes positively to subjective well-being, particularly in countries with high ethnic heterogeneity [58]. Similarly, some studies have tried to prove that Europeans have a particularly negative relationship between the sense of pride and belonging concerning the component of identification, which may play a role in more homogeneous cultures, reducing the well-being status [59].
These findings are important for research and clinical applications in adult populations, because it may help to identify at-risk populations for nutritional screening by self-reported quality of life, self-reported cardiometabolic status and by ethnicity. Moreover, findings from this study can support targeted efforts to guide precision public health and to make aware healthcare professionals. From this approach, a prediction model for risk stratification is to identify potential risk groups to screening cardiometabolic health status and analyze the information on health and nutritional status to personalize individualized nutritional advice.
Strengths and Limitations
Some methodological considerations concerning this research are required since the self-reported online data collection comprise a free open survey and rewarded survey, which should be taken into account when interpreting the data. In any case, both web-based surveys have been proven to be useful, easy and sustainable compared with traditional presential surveys. Indeed, given the design of this study, it cannot establish causal inferences from the associations found but can generate hypothesis that could be assessed in future prospective trials. Therefore, the current results need to be interpreted with caution. The descriptive analyses included comparisons concerning age, sex and BMI to understand the role of these potential confounders in relation to quality of life, cardiometabolic status and ethnicity. Furthermore, current data were collected during the COVID-19 pandemic, so there might be several influences on habits and lifestyle and the inherent limits of prediction for individuals. The online collection and the need that participants have some web knowledge as internet users need to be also accounted for. Thus, some surveys such as the Nurses´ Health study [60] and the Health Professionals Follow-up [61] have reached useful conclusions, based on face-to-face interviews, while online collection has been validated in other surveys such as the SUN cohort [62] and Food4Me [9], supporting the validity or our findings involving an online recruited population.
A major strength of this study is the relatively large sample size, which backs web-based population representativity as well as an easy and reliable web-based data collection, where dietary behavior records can be as effective as a conventional approach [32]. Another important strength is the wide number and diversity of variables collected in the survey with validated tools that allowed a precision personalized analysis, while the important number of participants and origin diversity contribute to the representativity of the screened sample population.
5. Conclusions
In conclusion, in the NutrIMDEA web-based population, we found that age, high education, high PCS12 and MCS12, high MEDAS-14 and a healthy lifestyle were positively associated with very good/excellent HRQoL. The relationships between life quality and several lifestyle modifiable factors were found to be different in healthy and diseased groups. Interestingly, analyses by ethnicity concerning online self-reported health information is a pioneer manner to study sociodemographic and quality of life interactions, which revealed inequalities and inadequacies in wellbeing depending on ethnic backgrounds.
Author Contributions
Conceptualization, R.S.-C. and J.A.M.; Methodology, R.S.-C., R.M.-H. and J.A.M.; Investigation, R.R.-R., A.H.-G., R.S.-C., R.M.-H., V.M., I.E.-S., A.R.d.M. and J.A.M.; Data Curation, R.R.-R., A.H.-G., R.S.-C., and R.M.-H.; Writing—Original Draft Preparation, R.R.-R. and R.S.-C.; Visualization, R.R.-R., A.H.-G., R.S.-C., R.M.-H., V.M., I.E.-S., A.R.d.M. and J.A.M. All authors have read and agreed to the published version of the manuscript.
Funding
R.S.-C. acknowledges financial support from the Juan de la Cierva Programme Training Grants of the Spanish State Research Agency of the Spanish Ministerio de Ciencia e Innovación y Ministerio de Universidades (FJC2018-038168- I). A.R.d.M. acknowledges financial support from Gobierno regional de la Comunidad de Madrid (P2013/ABI-2728, ALIBIRD-CM), EU Structural Funds. The support from CIBERobn is also credited.
Institutional Review Board Statement
The NUTRiMDEA survey included a disclaimer informing the participants about this information and acquiescent that submitting the questionnaire constitutes acceptance of the use of their anonymity data for scientific purposes. This statement was positively accepted by the IMDEA CEI and the companies in charge of the rewarded surveys.
Informed Consent Statement
Not required.
Data Availability Statement
Not required.
Acknowledgments
We especially thank all participants in the NutrIMDEA Study. We thank other members of the IMDEA Food Institute.
Conflicts of Interest
The authors declare no conflict of interest.
References
- Marks, L.; Hunter, D.J. Strengthening Public Health Capacity and Services in Europe; A Concept Paper; World Health Organization: Geneva, Switzerland, 2011; p. 60. [Google Scholar]
- Bhui, K.; Dinos, S. Health Beliefs and Culture: Essential Considerations for Outcome Measurement. Dis. Manag. Health Outcomes 2008, 16, 411–419. [Google Scholar] [CrossRef]
- Khoury, M.J.; Engelgau, M.; Chambers, D.A.; Mensah, G.A. Beyond Public Health Genomics: Can Big Data and Predictive Analytics Deliver Precision Public Health? Public Health Genom. 2018, 21, 244–250. [Google Scholar] [CrossRef] [PubMed]
- Johnson, M. Diet and Nutrition: Implications to Cardiometabolic Health. J. Cardiol. Cardiovasc. Sci. 2019, 3, 2. Available online: https://www.cardiologyresearchjournal.com/articles/diet-and-nutrition-implications-to-cardiometabolic-health.html (accessed on 26 March 2021). [CrossRef]
- Vadiveloo, M.K.; Juul, F.; Sotos-Prieto, M.; Parekh, N. Perspective: Novel Approaches to Evaluate Dietary Quality: Combining Methods to Enhance Measurement for Dietary Surveillance and Interventions. Adv. Nutr. Int. Rev. J. 2022, nmac007. [Google Scholar] [CrossRef]
- Bankauskaite, V.; Dargent, G. Health systems performance indicators: Methodological issues. Presup. Gasto Público 2007, 125–137, 14. [Google Scholar]
- World Health Organization. Global Reference List of 100 Core Health Indicators (Plus Health-Related SDGs); World Health Organization: Geneva, Switzerland, 2018; Available online: http://www.who.int/healthinfo/indicators/2018/en/ (accessed on 26 March 2021).
- Martinez, J.A. Nutrición de precisión planetaria, poblacional y personalizada. III Congreso de Alimentación, Nutrición y Dietética. Rev. Esp. Nutr. Hum. Diet. 2020, 24, 2–3. [Google Scholar]
- San-Cristobal, R.; Navas-Carretero, S.; Celis-Morales, C.; Brennan, L.; Walsh, M.; Lovegrove, J.A.; Daniel, H.; Saris, W.H.M.; Traczyk, I.; Manios, Y.; et al. Analysis of Dietary Pattern Impact on Weight Status for Personalised Nutrition through On-Line Advice: The Food4Me Spanish Cohort. Nutrients 2015, 7, 9523–9537. [Google Scholar] [CrossRef] [Green Version]
- Haraldstad, K.; Wahl, A.; Andenæs, R.; Andersen, J.R.; Andersen, M.H.; Beisland, E.; Borge, C.R.; Engebretsen, E.; Eisemann, M.; Halvorsrud, L.; et al. A systematic review of quality of life research in medicine and health sciences. Qual Life Res. 2019, 28, 2641–2650. [Google Scholar] [CrossRef] [Green Version]
- Pano, O.; Sayón-Orea, C.; Gea, A.; Bes-Rastrollo, M.; Martínez-González, M.Á.; Martínez, J.A. Nutritional Determinants of Quality of Life in a Mediterranean Cohort: The SUN Study. Int. J. Environ. Res. Public Health 2020, 17, 3897. [Google Scholar] [CrossRef]
- Wiklund, I. The Nottingham Health Profile—A measure of health-related quality of life. Scand. J. Prim. Health Care Suppl. 1990, 1, 15–18. [Google Scholar]
- World Health Organization. WHOQOL—Measuring Quality of Life. 2012. Available online: https://www.who.int/tools/whoqol (accessed on 25 March 2021).
- Vilagut, G.; Valderas, J.M.; Ferrer, M.; Garin, O.; López-García, E.; Alonso, J. Interpretation of SF-36 and SF-12 questionnaires in Spain: Physical and mental components. Med. Clin. 2008, 130, 726–735. [Google Scholar] [CrossRef] [PubMed] [Green Version]
- Westergren, A.; Hagell, P. Measurement Properties of the 12-Item Short-Form Health Survey in Stroke. J. Neurosci. Nurs. 2014, 46, 34–45. [Google Scholar] [CrossRef] [PubMed]
- Wang, Y.; Wang, J. Modelling and prediction of global non-communicable diseases. BMC Public Health 2020, 20, 1–13. [Google Scholar] [CrossRef]
- Jacob, C.M.; Baird, J.; Barker, M.; Cooper, C.; Hanson, M. The Importance of a Life Course Approach to Health: Chronic Disease Risk from Preconception through Adolescence and Adulthood; World Health Organization: Geneva, Switzerland, 2017; p. 41. Available online: https://www.who.int/life-course/publications/importance-of-life-course-approach-to-health/en/ (accessed on 27 March 2021).
- Saboya, P.P.; Bodanese, L.C.; Zimmermann, P.R.; da Silva Gustavo, A.; Assumpção, C.M.; Londero, F. Metabolic syndrome and quality of life: A systematic review. Rev. Lat. Am. Enferm. 2016, 24, e2848. [Google Scholar] [CrossRef] [PubMed] [Green Version]
- Teh, J.K.L.; Tey, N.P.; Ng, S.T. Ethnic and Gender Differentials in Non-Communicable Diseases and Self-Rated Health in Malaysia. PLoS ONE 2014, 9, e91328. [Google Scholar] [CrossRef] [PubMed]
- Zhang, L.; Ferguson, T.F.; Simonsen, N.; Chen, L.; Tseng, T.-S. Racial/Ethnic Disparities in Health-Related Quality of Life among Participants with Self-Reported Diabetes from NHANES 2001–2010. Diabetes Educ. 2014, 40, 496–506. [Google Scholar] [CrossRef] [PubMed] [Green Version]
- Ministerio de Sanidad Consumo y Bienestar Social. Encuesta Nacional de Salud de España 2017. Available online: https://www.mscbs.gob.es/estadEstudios/estadisticas/encuestaNacional/encuesta2017.htm (accessed on 24 February 2020).
- Hernández, J.A.M.; García, B.D.C.; Alvarez-Alvarez, I.; Zapatel, M.C.; Montero, A.F.; Carretero, S.N. Definition of nutritionally qualitative categorizing (proto)nutritypes and a pilot quantitative nutrimeter for mirroring nutritional well-being based on a quality of life health related questionnaire. Nutr. Hosp. 2019, 36, 862–874. [Google Scholar] [CrossRef] [Green Version]
- World Health Organization. Physical Status: The Use and Interpretation of Anthropometry: Report of a WHO Expert Committee; WHO Technical Report Series; World Health Organization: Geneva, Switzerland, 1995; p. 854. Available online: http://apps.who.int/iris/bitstream/handle/10665/37003/WHO_TRS_854.pdf;jsessionid=7A60461DD8BC9853A8A2680F2F0EC4E3?sequence=1 (accessed on 22 April 2021).
- García-Conesa, M.-T.; Philippou, E.; Pafilas, C.; Massaro, M.; Quarta, S.; Andrade, V.; Jorge, R.; Chervenkov, M.; Ivanova, T.; Dimitrova, D.; et al. Exploring the Validity of the 14-Item Mediterranean Diet Adherence Screener (MEDAS): A Cross-National Study in Seven European Countries around the Mediterranean Region. Nutrients 2020, 12, 2960. [Google Scholar] [CrossRef]
- Bassett, D.R. International physical activity questionnaire: 12-country reliability and validity. Med. Sci. Sports Exerc. 2003, 35, 1396. [Google Scholar] [CrossRef]
- Hagell, P.; Westergren, A.; Årestedt, K. Beware of the origin of numbers: Standard scoring of the SF-12 and SF-36 summary measures distorts measurement and score interpretations. Res. Nurs. Health 2017, 40, 378–386. [Google Scholar] [CrossRef]
- James, D.E.; Schraw, G.; Kuch, F. Using the sampling margin of error to assess the interpretative validity of student evaluations of teaching. Assess. Eval. High. Educ. 2014, 40, 1123–1141. [Google Scholar] [CrossRef]
- Napierala, J.; Denton, N. Measuring Residential Segregation with the ACS: How the Margin of Error Affects the Dissimilarity Index. Demography 2017, 54, 285–309. [Google Scholar] [CrossRef] [PubMed] [Green Version]
- Curtin, L.R.; Mohadjer, L.K.; Dohrmann, S.M.; Montaquila, J.M.; Kruszan-Moran, D.; Mirel, L.B.; Carroll, M.D.; Hirsch, R.; Schober, S.; Johnson, C.L. The National Health and Nutrition Examination Survey: Sample Design, 1999–2006. Vital Health Stat. Ser. 2 Data Eval. Methods Res. 2012, 2, 1–39. [Google Scholar]
- Publications Office of the European Union. European Health Interview Survey (EHIS Wave 3): Methodological Manual, 2018 ed.; European Union, Publications Office of the European Union: Luxembourg, Luxembourg, 2018; Available online: http://op.europa.eu/en/publication-detail/-/publication/332ec182-30a1-11e8-b5fe-01aa75ed71a1/language-en (accessed on 12 April 2021).
- Livingstone, K.M.; Celis-Morales, C.; Navas-Carretero, S.; San-Cristobal, R.; Forster, H.; Woolhead, C.; O’Donovan, C.B.; Moschonis, G.; Manios, Y.; Traczyk, I.; et al. Characteristics of participants who benefit most from personalised nutrition: Findings from the pan-European Food4Me randomised controlled trial. Br. J. Nutr. 2020, 123, 1396–1405. [Google Scholar] [CrossRef] [PubMed] [Green Version]
- Celis-Morales, C.A.; Livingstone, K.M.; Marsaux, C.F.M.; Macready, A.L.; Fallaize, R.; O’Donovan, C.B.; Woolhead, C.; Forster, H.; Walsh, M.C.; Navas-Carretero, S.; et al. Effect of personalized nutrition on health-related behaviour change: Evidence from the Food4me European randomized controlled trial. Int. J. Epidemiol. 2017, 46, 578–588. [Google Scholar] [CrossRef] [Green Version]
- Laxy, M.; Teuner, C.; Holle, R.; Kurz, C. The association between BMI and health-related quality of life in the US population: Sex, age and ethnicity matters. Int. J. Obes. 2018, 42, 318–326. [Google Scholar] [CrossRef] [PubMed] [Green Version]
- Arrospide, A.; Machón, M.; Ramos-Goñi, J.M.; Ibarrondo, O.; Mar, J. Inequalities in health-related quality of life according to age, gender, educational level, social class, body mass index and chronic diseases using the Spanish value set for Euroquol 5D-5L questionnaire. Health Qual Life Outcomes 2019, 17, 69. [Google Scholar] [CrossRef]
- Busutil, R.; Espallardo, O.; Torres, A.; Martínez-Galdeano, L.; Zozaya, N.; Hidalgo-Vega, Á. The impact of obesity on health-related quality of life in Spain. Health Qual. Life Outcomes 2017, 15, 1–11. [Google Scholar] [CrossRef]
- Girón, P. Is Age Associated with Self-rated Health among Older People in Spain? Cent. Eur. J. Public Health 2012, 20, 185–190. [Google Scholar] [CrossRef] [Green Version]
- Sayón-Orea, C.; Santiago, S.; Bes-Rastrollo, M.; Martínez-González, M.A.; Pastor, M.R.; Moreno-Aliaga, M.J.; Tur, J.A.; Garcia, A.; Martínez, J.A. Determinants of Self-Rated Health Perception in a Sample of a Physically Active Population: PLENUFAR VI Study. Int. J. Environ. Res. Public Health 2018, 15, 2104. [Google Scholar] [CrossRef] [Green Version]
- Truthmann, J.; Mensink, G.B.M.; Bosy-Westphal, A.; Hapke, U.; Scheidt-Nave, C.; Schienkiewitz, A. Physical health-related quality of life in relation to metabolic health and obesity among men and women in Germany. Health Qual. Life Outcomes 2017, 15, 122. [Google Scholar] [CrossRef] [PubMed] [Green Version]
- Huisingh-Scheetz, M.J.; Bilir, S.P.; Rush, P.; Burnet, D.; Dale, W. The independent effect of body mass index on health-related quality of life among racial and ethnic subgroups. Qual. Life Res. 2012, 22, 1565–1575. [Google Scholar] [CrossRef] [PubMed]
- Trichopoulou, A.; Martínez-González, M.A.; Tong, T.Y.; Forouhi, N.G.; Khandelwal, S.; Prabhakaran, D.; Mozaffarian, D.; de Lorgeril, M. Definitions and potential health benefits of the Mediterranean diet: Views from experts around the world. BMC Med. 2014, 12, 1–16. [Google Scholar] [CrossRef] [PubMed] [Green Version]
- Okosun, I.S.; Annor, F.; Esuneh, F.; Okoegwale, E.E. Metabolic syndrome and impaired health-related quality of life and in non-Hispanic White, non-Hispanic Blacks and Mexican-American Adults. Diabetes Metab. Syndr. Clin. Res. Rev. 2013, 7, 154–160. [Google Scholar] [CrossRef] [PubMed]
- Corbatón-Anchuelo, A.; Martínez-Larrad, M.T.; del Prado-González, N.; Fernández-Pérez, C.; Gabriel, R.; Serrano-Ríos, M. Prevalence, Treatment, and Associated Factors of Hypertension in Spain: A Comparative Study between Populations. Int. J. Hypertens. 2018, 2018, 1–11. [Google Scholar] [CrossRef] [Green Version]
- Menéndez, E.; Delgado, E.; Fernández-Vega, F.; Prieto, M.; Bordiú, E.; Calle, A.; Carmena, R.; Castaño, L.; Catalá, M.; Franch, J.; et al. Prevalence, Diagnosis, Treatment, and Control of Hypertension in Spain. Results of the Di@bet.es Study. Rev. Esp. Cardiol. (Engl. Ed.) 2016, 69, 572–578. [Google Scholar] [CrossRef]
- El–Wahab, E.W.A.; Shatat, H.Z.; Charl, F. Adapting a Prediction Rule for Metabolic Syndrome Risk Assessment Suitable for Developing Countries. J. Prim. Care Community Health 2019, 10, 2150132719882760. [Google Scholar] [CrossRef]
- Salinero-Fort, M.A.; Gómez-Campelo, P.; Bragado-Álvarez, C.; Abánades-Herranz, J.C.; Garcia, R.J.; De Burgos-Lunar, C. Health-Related Quality of Life of Latin-American Immigrants and Spanish-Born Attended in Spanish Primary Health Care: Socio-Demographic and Psychosocial Factors. PLoS ONE 2015, 10, e0122318. [Google Scholar] [CrossRef]
- Mindell, J.S.; Knott, C.S.; Fat, L.N.; Roth, M.A.; Manor, O.; Soskolne, V.; Daoud, N. Explanatory factors for health inequalities across different ethnic and gender groups: Data from a national survey in England. J. Epidemiol. Community Health 2014, 68, 1133–1144. [Google Scholar] [CrossRef]
- Apple, R.; Samuels, L.R.; Fonnesbeck, C.; Schlundt, D.; Mulvaney, S.; Hargreaves, M.; Crenshaw, D.; Wallston, K.A.; Heerman, W.J. Body mass index and health-related quality of life. Obes. Sci. Pract. 2018, 4, 417–426. [Google Scholar] [CrossRef]
- Galilea-Zabalza, I.; Buil-Cosiales, P.; Salas-Salvadó, J.; Toledo, E.; Ortega-Azorín, C.; Díez-Espino, J.; Vázquez-Ruiz, Z.; Zomeño, M.D.; Vioque, J.; Martínez, J.A.; et al. Mediterranean diet and quality of life: Baseline cross-sectional analysis of the PREDIMED-PLUS trial. PLoS ONE 2018, 13, e0198974. [Google Scholar] [CrossRef] [PubMed] [Green Version]
- Podadera-Herreros, A.; Alcala-Diaz, J.F.; Gutierrez-Mariscal, F.M.; Jimenez-Torres, J.; de la Cruz-Ares, S.; Larriva, A.P.A.-D.; Cardelo, M.P.; Torres-Peña, J.D.; Luque, R.M.; Ordovas, J.M.; et al. Long-term consumption of a mediterranean diet or a low-fat diet on kidney function in coronary heart disease patients: The CORDIOPREV randomized controlled trial. Clin. Nutr. 2022, 41, 552–559. [Google Scholar] [CrossRef] [PubMed]
- Daimiel, L.; Martínez-González, M.A.; Corella, D.; Salas-Salvadó, J.; Schröder, H.; Vioque, J.; Romaguera, D.; Martínez, J.A.; Wärnberg, J.; Lopez-Miranda, J.; et al. Physical fitness and physical activity association with cognitive function and quality of life: Baseline cross-sectional analysis of the PREDIMED-Plus trial. Sci. Rep. 2020, 10, 1–12. [Google Scholar] [CrossRef] [PubMed] [Green Version]
- Arias-Fernández, L.; Struijk, E.A.; Caballero, F.F.; Ortolá, R.; García-Esquinas, E.; Rodríguez-Artalejo, F.; Lopez-Garcia, E.; Lana, A. Prospective association between dietary magnesium intake and physical performance in older women and men. Eur. J. Nutr. 2022, 1–9, Epub ahead of print. [Google Scholar] [CrossRef]
- Godos, J.; Castellano, S.; Marranzano, M. Adherence to a Mediterranean Dietary Pattern Is Associated with Higher Quality of Life in a Cohort of Italian Adults. Nutrients 2019, 11, 981. [Google Scholar] [CrossRef] [Green Version]
- Jeong, M. Predictors of Health-Related Quality of Life in Korean Adults with Diabetes Mellitus. Int. J. Environ. Res. Public Health 2020, 17, 9058. [Google Scholar] [CrossRef]
- Saunders, T.J.; McIsaac, T.; Douillette, K.; Gaulton, N.; Hunter, S.; Rhodes, R.E.; Prince, S.A.; Carson, V.; Chaput, J.-P.; Chastin, S.; et al. Sedentary behaviour and health in adults: An overview of systematic reviews. Appl. Physiol. Nutr. Metab. 2020, 45, S197–S217. [Google Scholar] [CrossRef]
- Patnode, C.D.; Evans, C.V.; Senger, C.A.; Redmond, N.; Lin, J.S. Behavioral Counseling to Promote a Healthful Diet and Physical Activity for Cardiovascular Disease Prevention in Adults Without Known Cardiovascular Disease Risk Factors: Updated Evidence Report and Systematic Review for the US Preventive Services Task Force. JAMA 2017, 318, 175–193. [Google Scholar] [CrossRef]
- Vang, Z.M.; Sigouin, J.; Flenon, A.; Gagnon, A. Are immigrants healthier than native-born Canadians? A systematic review of the healthy immigrant effect in Canada. Ethn. Health 2017, 22, 209–241. [Google Scholar] [CrossRef]
- Huang, Y.-C.; Garcia, A. Culturally-tailored interventions for chronic disease self-management among Chinese Americans: A systematic review. Ethn. Health 2018, 25, 465–484. [Google Scholar] [CrossRef]
- Akay, A.; Constant, A.; Giulietti, C.; Guzi, M. Ethnic diversity and well-being. J. Popul. Econ. 2017, 30, 265–306. [Google Scholar] [CrossRef] [Green Version]
- Ramos De Oliveira, D.; Pankalla, A.; Cabecinhas, R. Ethnic Identity as predictor for the well-being: An exploratory transcultural study in Brazil and Europe. Summa Psicológica UST (En Línea) 2012, 9, 33–42. [Google Scholar] [CrossRef]
- Korat, A.V.A.; Willett, W.C.; Hu, F.B. Diet, Lifestyle, and Genetic Risk Factors for Type 2 Diabetes: A Review from the Nurses’ Health Study, Nurses’ Health Study 2, and Health Professionals’ Follow-Up Study. Curr. Nutr. Rep. 2014, 3, 345–354. [Google Scholar] [CrossRef] [PubMed] [Green Version]
- Hu, F.B.; Willett, W.C. Diet and coronary heart disease: Findings from the Nurses’ Health Study and Health Professionals’ Follow-up Study. J. Nutr. Health Aging 2001, 5, 132–138. [Google Scholar] [PubMed]
- Martínez-González, M.; Sánchez-Villegas, A.; De Irala, J.; Marti, A.; Martínez, J. Mediterranean Diet and Stroke: Objectives and Design of the SUN Project. Nutr. Neurosci. 2002, 5, 65–73. [Google Scholar] [CrossRef]
Publisher’s Note: MDPI stays neutral with regard to jurisdictional claims in published maps and institutional affiliations. |
© 2022 by the authors. Licensee MDPI, Basel, Switzerland. This article is an open access article distributed under the terms and conditions of the Creative Commons Attribution (CC BY) license (https://creativecommons.org/licenses/by/4.0/).

