Predictive and Diagnostic Value of Serum Adipokines in Pregnant Women with Intrahepatic Cholestasis
Abstract
:1. Introduction
2. Materials and Methods
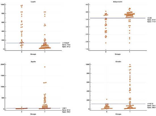
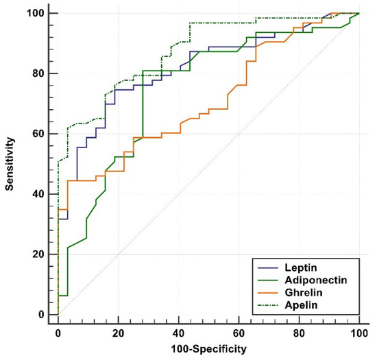
3. Results
4. Discussion
5. Conclusions
Author Contributions
Funding
Institutional Review Board Statement
Informed Consent Statement
Acknowledgments
Conflicts of Interest
References
- Bicocca, M.J.; Sperling, J.D.; Chauhan, S.P. Intrahepatic cholestasis of pregnancy: Review of six national and regional guidelines. Eur. J. Obstet. Gynecol. Reprod. Biol. 2018, 231, 180–187. [Google Scholar] [CrossRef] [PubMed]
- Milkiewicz, P.; Elias, E.; Williamson, C.; Weaver, J. Obstetric cholestasis. BMJ 2002, 324, 123–124. [Google Scholar] [CrossRef] [PubMed]
- Wikström Shemer, E.; Marschall, H.-U. Decreased 1,25-dihydroxy vitamin D levels in women with intrahepatic cholestasis of pregnancy. Acta Obstet. Gynecol. Scand. 2010, 89, 1420–1423. [Google Scholar] [CrossRef] [PubMed]
- Williamson, C.; Geenes, V. Intrahepatic cholestasis of pregnancy. Obstet. Gynecol. 2014, 124, 120–133. [Google Scholar] [CrossRef] [PubMed] [Green Version]
- Casado-Espada, N.M.; De Alarcón, R.; De La Iglesia-Larrad, J.I.; Bote-Bonaechea, B.; Montejo Ángel, L. Hormonal Contraceptives, Female Sexual Dysfunction, and Managing Strategies: A Review. J. Clin. Med. 2019, 8, 908. [Google Scholar] [CrossRef] [Green Version]
- Smith, D.D.; Rood, K.M. Intrahepatic Cholestasis of Pregnancy. Clin. Obstet. Gynecol. 2020, 63, 134–151. [Google Scholar] [CrossRef] [PubMed]
- Geenes, V.; Lövgren-Sandblom, A.; Benthin, L.; Lawrance, D.; Chambers, J.; Gurung, V.; Thornton, J.; Chappell, L.; Khan, E.; Dixon, P.; et al. The Reversed Feto-Maternal Bile Acid Gradient in Intrahepatic Cholestasis of Pregnancy Is Corrected by Ursodeoxycholic Acid. PLoS ONE 2014, 9, e83828. [Google Scholar] [CrossRef]
- Ovadia, C.; Seed, P.T.; Sklavounos, A.; Geenes, V.; Di Ilio, C.; Chambers, J.; Kohari, K.; Bacq, Y.; Bozkurt, N.; Brun-Furrer, R.; et al. Association of adverse perinatal outcomes of intrahepatic cholestasis of pregnancy with biochemical markers: Results of aggregate and individual patient data meta-analyses. Lancet 2019, 393, 899–909. [Google Scholar] [CrossRef] [Green Version]
- Shao, Y.; Chen, J.; Zheng, J.; Liu, C.-R. Effect of Histone Deacetylase HDAC3 on Cytokines IL-18, IL-12 and TNF-α in Patients with Intrahepatic Cholestasis of Pregnancy. Cell. Physiol. Biochem. 2017, 42, 1294–1302. [Google Scholar] [CrossRef] [Green Version]
- Liu, X.; Lai, H.; Zeng, X.; Xin, S.; Nie, L.; Liang, Z.; Wu, M.; Chen, Y.; Zheng, J.; Zou, Y. Whole-exome sequencing reveals ANO8 as a genetic risk factor for intrahepatic cholestasis of pregnancy. BMC Pregnancy Childbirth 2020, 20, 1–12. [Google Scholar] [CrossRef] [PubMed]
- Allen, K.; Jaeschke, H.; Copple, B.L. Bile Acids Induce Inflammatory Genes in Hepatocytes: A Novel Mechanism of Inflammation during Obstructive Cholestasis. Am. J. Pathol. 2011, 178, 175–186. [Google Scholar] [CrossRef] [PubMed]
- Kirbas, A.; Biberoglu, E.; Ersoy, A.O.; Dikmen, A.U.; Koca, C.; Ozgu-Erdinc, A.S.; Uygur, D.; Caglar, T.; Biberoglu, K. The role of interleukin-17 in intrahepatic cholestasis of pregnancy. J. Matern. Neonatal Med. 2015, 29, 977–981. [Google Scholar] [CrossRef] [PubMed]
- Park, H.-K.; Ahima, R.S. Physiology of leptin: Energy homeostasis, neuroendocrine function and metabolism. Metabolism 2015, 64, 24–34. [Google Scholar] [CrossRef] [PubMed] [Green Version]
- La Cava, A.; Matarese, G. The weight of leptin in immunity. Nat. Rev. Immunol. 2004, 4, 371–379. [Google Scholar] [CrossRef] [PubMed]
- Shen, J.; Sakaida, I.; Uchida, K.; Terai, S.; Okita, K. Leptin enhances TNF-α production via p38 and JNK MAPK in LPS-stimulated Kupffer cells. Life Sci. 2005, 77, 1502–1515. [Google Scholar] [CrossRef] [PubMed]
- Masaki, T.; Chiba, S.; Tatsukawa, H.; Yasuda, T.; Noguchi, H.; Seike, M.; Yoshimatsu, H. Adiponectin protects LPS-induced liver injury through modulation of TNF-? in KK-Ay obese mice. Hepatology 2004, 40, 177–184. [Google Scholar] [CrossRef] [PubMed]
- Wolf, A.M.; Wolf, D.; Rumpold, H.; Enrich, B.; Tilg, H. Adiponectin induces the anti-inflammatory cytokines IL-10 and IL-1RA in human leukocytes. Biochem. Biophys. Res. Commun. 2004, 323, 630–635. [Google Scholar] [CrossRef] [PubMed]
- Boucher, J.; Masri, B.; Daviaud, D.; Gesta, S.; Guigné, C.; Mazzucotelli, A.; Castan-Laurell, I.; Tack, I.; Knibiehler, B.; Carpéné, C.; et al. Apelin, a Newly Identified Adipokine Up-Regulated by Insulin and Obesity. Endocrinology 2005, 146, 1764–1771. [Google Scholar] [CrossRef] [PubMed]
- Hosoya, M.; Kawamata, Y.; Fukusumi, S.; Fujii, R.; Habata, Y.; Hinuma, S.; Kitada, C.; Honda, S.; Kurokawa, T.; Onda, H.; et al. Molecular and functional characteristics of APJ. Tissue distribution of mRNA and interaction with the endogenous ligand apelin. J. Biol. Chem. 2000, 275, 21061–21067. [Google Scholar] [CrossRef] [PubMed] [Green Version]
- Hashimoto, T.; Kihara, M.; Imai, N.; Yoshida, S.-I.; Shimoyamada, H.; Yasuzaki, H.; Ishida, J.; Toya, Y.; Kiuchi, Y.; Hirawa, N.; et al. Requirement of Apelin-Apelin Receptor System for Oxidative Stress-Linked Atherosclerosis. Am. J. Pathol. 2007, 171, 1705–1712. [Google Scholar] [CrossRef] [Green Version]
- Kleinz, M.J.; Davenport, A.P. Immunocytochemical localization of the endogenous vasoactive peptide apelin to human vascular and endocardial endothelial cells. Regul. Pept. 2004, 118, 119–125. [Google Scholar] [CrossRef] [PubMed]
- Cayabyab, M.; Hinuma, S.; Farzan, M.; Choe, H.; Fukusumi, S.; Kitada, C.; Nishizawa, N.; Hosoya, M.; Nishimura, O.; Messele, T.; et al. Apelin, the Natural Ligand of the Orphan Seven-Transmembrane Receptor APJ, Inhibits Human Immunodeficiency Virus Type 1 Entry. J. Virol. 2000, 74, 11972–11976. [Google Scholar] [CrossRef] [PubMed] [Green Version]
- Lv, X.; Kong, J.; Chen, W.-D.; Wang, Y.-D. The Role of the Apelin/APJ System in the Regulation of Liver Disease. Front. Pharmacol. 2017, 8, 221. [Google Scholar] [CrossRef] [Green Version]
- Melgar-Lesmes, P.; Pauta, M.; Reichenbach, V.; Casals, G.; Ros, J.; Bataller, R.; Morales-Ruiz, M.; Jiménez, W. Hypoxia and proinflammatory factors upregulate apelin receptor expression in human stellate cells and hepatocytes. Gut 2011, 60, 1404–1411. [Google Scholar] [CrossRef] [PubMed]
- Date, Y.; Kojima, M.; Hosoda, H.; Sawaguchi, A.; Mondal, M.S.; Suganuma, T.; Matsukura, S.; Kangawa, K.; Nakazato, M. Ghrelin, a Novel Growth Hormone-Releasing Acylated Peptide, Is Synthesized in a Distinct Endocrine Cell Type in the Gastrointestinal Tracts of Rats and Humans. Endocrinology 2000, 141, 4255–4261. [Google Scholar] [CrossRef]
- Ibrahim Abdalla, M.M. Ghrelin—Physiological Functions and Regulation. Eur. Endocrinol. 2015, 11, 90–95. [Google Scholar] [CrossRef] [Green Version]
- Kojima, M.; Hosoda, H.; Date, Y.; Nakazato, M.; Matsuo, H.; Kangawa, K. Ghrelin is a growth-hormone-releasing acylated peptide from stomach. Nature 1999, 402, 656–660. [Google Scholar] [CrossRef] [PubMed]
- Delporte, C. Structure and Physiological Actions of Ghrelin. Scientifica 2013, 2013, 518909. [Google Scholar] [CrossRef] [Green Version]
- Al Massadi, O.; López, M.; Tschöp, M.; Diéguez, C.; Nogueiras, R. Current Understanding of the Hypothalamic Ghrelin Pathways Inducing Appetite and Adiposity. Trends Neurosci. 2017, 40, 167–180. [Google Scholar] [PubMed]
- Cornejo, M.P.; Castrogiovanni, D.; Schiöth, H.B.; Reynaldo, M.; Marie, J.; Fehrentz, J.; Perello, M. Growth hormone secretagogue receptor signalling affects high-fat intake independently of plasma levels of ghrelin and LEAP 2, in a 4-day binge eating model. J. Neuroendocr. 2019, 31, e12785. [Google Scholar] [CrossRef] [PubMed]
- Quiñones, M.; Fernø, J.; Al-Massadi, O. Ghrelin and liver disease. Rev. Endocr. Metab. Disord. 2019, 21, 45–56. [Google Scholar] [CrossRef]
- Moreno, M.; Chaves, J.F.; Sancho-Bru, P.; Ramalho, F.; Ramalho, L.N.; Mansego, M.L.; Ivorra, C.; Dominguez, M.; Conde, L.; Millán, C.; et al. Ghrelin attenuates hepatocellular injury and liver fibrogenesis in rodents and influences fibrosis progression in humans. Hepatology 2010, 51, 974–985. [Google Scholar] [CrossRef] [PubMed] [Green Version]
- Barazzoni, R.; Semolic, A.; Cattin, M.R.; Zanetti, M.; Guarnieri, G. Acylated ghrelin limits fat accumulation and improves redox state and inflammation markers in the liver of high-fat-fed rats. Obesity 2014, 22, 170–177. [Google Scholar] [CrossRef]
- Guszczynska-Losy, M.; Wirstlein, P.K.; Wender-Ozegowska, E.; Kedzia, M. Evaluation of predictive value of biochemical markers for adverse obstetrics outcomes in pregnancies complicated by cholestasis. Ginekol. Polska 2020, 91, 269–276. [Google Scholar] [CrossRef]
- Jelski, W.; Piechota, J.; Orywal, K.; Mroczko, B. The Alterations in Alcohol Dehydrogenase Activity in the Sera of Women with Intrahepatic Cholestasis of Pregnancy. Anticancer Res. 2020, 40, 1997–2001. [Google Scholar] [CrossRef]
- Khosrowbeygi, A.; Ahmadvand, H. Leptin to adiponectin ratio in preeclampsia. Bangladesh Med. Res. Counc. Bull. 2013, 39, 18–21. [Google Scholar] [CrossRef] [PubMed]
- Mallardo, M.; Ferraro, S.; Daniele, A.; Nigro, E. GDM-complicated pregnancies: Focus on adipokines. Mol. Biol. Rep. 2021, 48, 8171–8180. [Google Scholar] [CrossRef]
- Wikström Shemer, E.; Marschall, H.U.; Ludvigsson, J.F.; Stephansson, O. Intrahepatic cholestasis of pregnancy and associated adverse pregnancy and fetal outcomes: A 12-year population-based cohort study. BJOG 2013, 120, 717–723. [Google Scholar] [CrossRef] [PubMed]
- Arafa, A.; Dong, J. Association between intrahepatic cholestasis of pregnancy and risk of gestational diabetes and preeclampsia: A systematic review and meta-analysis. Hypertens. Pregnancy 2020, 39, 354–360. [Google Scholar] [CrossRef]
- Yayi, H.; Danqing, W.; Shuyun, L.; Jicheng, L. OPINION: Immunologic Abnormality of Intrahepatic Cholestasis of Pregnancy. Am. J. Reprod. Immunol. 2010, 63, 267–273. [Google Scholar] [CrossRef]
- Kosters, A.; Karpen, S.J. The Role of Inflammation in Cholestasis: Clinical and Basic Aspects. Semin. Liver Dis. 2010, 30, 186–194. [Google Scholar] [CrossRef] [PubMed] [Green Version]
- Achari, A.E.; Jain, S.K. Adiponectin, a Therapeutic Target for Obesity, Diabetes, and Endothelial Dysfunction. Int. J. Mol. Sci. 2017, 18, 1321. [Google Scholar] [CrossRef] [PubMed] [Green Version]
- Wang, Y.; Zhou, M.; Lam, K.S.L.; Xu, A. Protective roles of adiponectin in obesity-related fatty liver diseases: Mechanisms and therapeutic implications. Arq. Bras. Endocrinol. Metabol. 2009, 53, 201–212. [Google Scholar] [CrossRef] [PubMed] [Green Version]
- Ouchi, N.; Kihara, S.; Arita, Y.; Nishida, M.; Matsuyama, A.; Okamoto, Y.; Ishigami, M.; Kuriyama, H.; Kishida, K.; Nishizawa, H.; et al. Adipocyte-Derived Plasma Protein, Adiponectin, Suppresses Lipid Accumulation and Class A Scavenger Receptor Expression in Human Monocyte-Derived Macrophages. Circulation 2001, 103, 1057–1063. [Google Scholar] [CrossRef]
- Balmer, M.L.; Joneli, J.; Schoepfer, A.; Stickel, F.; Thormann, W.; Dufour, J.-F. Significance of serum adiponectin levels in patients with chronic liver disease. Clin. Sci. 2010, 119, 431–436. [Google Scholar] [CrossRef] [PubMed] [Green Version]
- Tacke, F.; Wüstefeld, T.; Horn, R.; Luedde, T.; Rao, A.S.; Manns, M.P.; Trautwein, C.; Brabant, G. High adiponectin in chronic liver disease and cholestasis suggests biliary route of adiponectin excretion in vivo. J. Hepatol. 2005, 42, 666–673. [Google Scholar] [CrossRef]
- Boutari, C.; Perakakis, N.; Mantzoros, C.S. Association of Adipokines with Development and Progression of Nonalcoholic Fatty Liver Disease. Endocrinol. Metab. 2018, 33, 33–43. [Google Scholar] [CrossRef]
- Salman, T.A.; Allam, N.; Azab, G.I.; Shaarawy, A.A.; Hassouna, M.M.; El-Haddad, O.M. Study of adiponectin in chronic liver disease and cholestasis. Hepatol Int. 2010, 4, 767–774. [Google Scholar] [CrossRef] [Green Version]
- Kukla, M.; Kierach, R.; Skonieczna, M.; Hudy, D.; Dąbrowski, K.; Menżyk, T.; Derra, A.; Boroń, D.; Grabarek, B. Influence of ursodeoxycholic acid therapy on levels of fibroblast growth factor 21, adiponectin and biochemical parameters in intrahepatic cholestasis of pregnancy. Clin. Exp. Hepatol. 2021, 7, 13–24. [Google Scholar] [CrossRef] [PubMed]
- Stern, J.H.; Rutkowski, J.M.; Scherer, P.E. Adiponectin, Leptin, and Fatty Acids in the Maintenance of Metabolic Homeostasis through Adipose Tissue Crosstalk. Cell Metab. 2016, 23, 770–784. [Google Scholar] [CrossRef] [Green Version]
- Scotece, M.; Conde, J.; Lopez, V.; Lago, F.; Pino, J.; Gómez-Reino, J.J.; Gualillo, O. Adiponectin and Leptin: New Targets in Inflammation. Basic Clin. Pharmacol. Toxicol. 2013, 114, 97–102. [Google Scholar] [CrossRef] [PubMed] [Green Version]
- Landman, R.E.; Puder, J.; Xiao, E.; Freda, P.U.; Ferin, M.; Wardlaw, S.L. Endotoxin Stimulates Leptin in the Human and Nonhuman Primate. J. Clin. Endocrinol. Metab. 2003, 88, 1285–1291. [Google Scholar] [CrossRef] [Green Version]
- Ben-Ari, Z.; Schafer, Z.; Sulkes, J.; Manhaim, V.; Tur-Kaspa, R.; Fainaru, M. Alterations in serum leptin in chronic liver disease. Am. J. Dig. Dis. 2002, 47, 183–189. [Google Scholar] [CrossRef]
- García-Suárez, C.; Crespo, J.; Fernández-Gil, P.L.; Amado, A.J.; García-Unzueta, M.T.; Romero, F.P. Plasma leptin levels in patients with primary biliary cirrhosis and their relationship with degree of fibrosis. Gastroenterología y Hepatología 2004, 27, 47–50. [Google Scholar] [CrossRef]
- Rieger, R.; Oertelt, S.; Selmi, C.; Invernizzi, P.; Podda, M.; Gershwin, M.; Oertelt-Prigione, S. Decreased Serum Leptin Levels in Primary Biliary Cirrhosis: A Link between Metabolism and Autoimmunity? Ann. N. Y. Acad. Sci. 2005, 1051, 211–217. [Google Scholar] [CrossRef] [PubMed]
- Pizarro, M.; Balasubramaniyan, N.; Solís, N.; Solar, A.; Duarte, I.; Miquel, J.F.; Suchy, F.J.; Trauner, M.; Accatino, L.; Ananthanarayanan, M.; et al. Bile secretory function in the obese Zucker rat: Evidence of cholestasis and altered canalicular transport function. Gut 2004, 53, 1837–1843. [Google Scholar] [CrossRef] [PubMed] [Green Version]
- Principe, A.; Melgar-Lesmes, P.; Fernández-Varo, G.; del Arbol, L.R.; Ros, J.; Morales-Ruiz, M.; Bernardi, M.; Arroyo, V.; Jiménez, W. The hepatic apelin system: A new therapeutic target for liver disease. Hepatology 2008, 48, 1193–1201. [Google Scholar] [CrossRef] [PubMed]
- Yasuzaki, H.; Yoshida, S.-I.; Hashimoto, T.; Shibata, W.; Inamori, M.; Toya, Y.; Tamura, K.; Maeda, S.; Umemura, S. Involvement of the apelin receptor APJ in Fas-induced liver injury. Liver Int. 2013, 33, 118–126. [Google Scholar] [CrossRef]
- Chen, L.; Zhou, T.; White, T.; O’Brien, A.; Chakraborty, S.; Liangpunsakul, S.; Yang, Z.; Kennedy, L.; Saxena, R.; Wu, C.; et al. The Apelin–Apelin Receptor Axis Triggers Cholangiocyte Proliferation and Liver Fibrosis During Mouse Models of Cholestasis. Hepatology 2021, 73, 2411–2428. [Google Scholar] [CrossRef]
- Tacke, F.; Brabant, G.; Kruck, E.; Horn, R.; Schöffski, P.; Hecker, H.; Manns, M.; Trautwein, C. Ghrelin in chronic liver disease. J. Hepatol. 2003, 38, 447–454. [Google Scholar] [CrossRef] [Green Version]
- Breidert, M.; Zimmermann, T.F.; Schneider, R.; Ehninger, G.; Brabant, G. Ghrelin/Leptin-Imbalance in Patients with Primary Biliary Cirrhosis. Exp. Clin. Endocrinol. Diabetes 2004, 112, 123–126. [Google Scholar] [CrossRef] [PubMed]
- Petrescu, A.D.; Grant, S.; Williams, E.; Frampton, G.; Reinhart, E.H.; Nguyen, A.; An, S.; McMillin, M.; DeMorrow, S. Ghrelin reverses ductular reaction and hepatic fibrosis in a rodent model of cholestasis. Sci. Rep. 2020, 10, 16024. [Google Scholar] [CrossRef] [PubMed]



| Controls (n = 32) | ICP Mild (n = 48) | ICP Severe (n = 15) | p | |
|---|---|---|---|---|
| Age (year) | 26.5 (24–32) a | 26 (23–30) a | 29 (24–34) a | >0.05 |
| Gravida | 2 (2–3) a | 2 (1–3) a | 2 (2–3) a | >0.05 |
| Parity | 1 (1–2) a | 1 (1–2) a | 1 (1–2) a | >0.05 |
| BMI | 24 (23–27) a | 23 (23–26) a | 27 (23–29) a | >0.05 |
| Gestational age at birth | 40 (39–40) a | 37 (36–37) b | 36 (33–36) b | <0.05 |
| Birth weight (g) | 3500 (3300–3750) a | 3000 (2800–3200) b | 2900 (2700–3000) b | <0.05 |
| Apgar score at 5 min | 9 (8–9) a | 9 (8–9) a | 8 (7–9) b | <0.05 |
| Meconium staining of amnion, n (%) | <0.05 | |||
| Absent | 30 (93.7%) | 44 (91.7%) | 6 (40%) | |
| Present | 2 (6.3%) a | 4 (8.3%) a | 9 (60%) b | |
| Admission to NICU n (%) | <0.05 | |||
| Absent | 30 (93.7%) | 45 (93.8%) | 10 (66.7%) | |
| Present | 2 (6.3%) a | 3 (6.3%) a | 5 (33.3%) b |
| Controls (n = 32) | ICP Mild (n = 48) | ICP Severe (n = 15) | p | |
|---|---|---|---|---|
| Total bile acid (µmol/L) | 4 (3–4.7) a | 21.9 (12.8–30.5) b | 133 (127.4–139) c | <0.05 |
| ALT (U/L) | 18 (12–22) a | 54 (48–63) b | 123 (78–168) c | <0.05 |
| AST (U/L) | 17 (13–22) a | 51.5 (42.2–55.7) b | 105 (62–122) c | <0.05 |
| Total bilirubin (mg/dL) | 0.33 (0.2–0.5) a | 2.1 (1.8–2.3) b | 3.7 (3.2–4.3) c | <0.05 |
| Leptin (pg/mL) | 343 (140–628) a | 92 (42–196) b | 18 (17–26) c | <0.05 |
| Adiponectin (ng/mL) | 3 (2.6–4.7) a | 3.8 (3.6–3.9) b | 3.8 (3–3.8) ab | <0.05 |
| Apelin (pg/mL) | 19.3 (16.6–27.5) a | 46 (24.6–145) b | 547 (399–1174) c | <0.05 |
| Ghrelin (pg/mL) | 39.2 (14.8–73.4) a | 66.3 (19–168) a | 742 (554–883.5) b | <0.05 |
Publisher’s Note: MDPI stays neutral with regard to jurisdictional claims in published maps and institutional affiliations. |
© 2022 by the authors. Licensee MDPI, Basel, Switzerland. This article is an open access article distributed under the terms and conditions of the Creative Commons Attribution (CC BY) license (https://creativecommons.org/licenses/by/4.0/).
Share and Cite
Yurtcu, N.; Caliskan, C.S.; Guvey, H.; Celik, S.; Hatirnaz, S.; Tinelli, A. Predictive and Diagnostic Value of Serum Adipokines in Pregnant Women with Intrahepatic Cholestasis. Int. J. Environ. Res. Public Health 2022, 19, 2254. https://doi.org/10.3390/ijerph19042254
Yurtcu N, Caliskan CS, Guvey H, Celik S, Hatirnaz S, Tinelli A. Predictive and Diagnostic Value of Serum Adipokines in Pregnant Women with Intrahepatic Cholestasis. International Journal of Environmental Research and Public Health. 2022; 19(4):2254. https://doi.org/10.3390/ijerph19042254
Chicago/Turabian StyleYurtcu, Nazan, Canan Soyer Caliskan, Huri Guvey, Samettin Celik, Safak Hatirnaz, and Andrea Tinelli. 2022. "Predictive and Diagnostic Value of Serum Adipokines in Pregnant Women with Intrahepatic Cholestasis" International Journal of Environmental Research and Public Health 19, no. 4: 2254. https://doi.org/10.3390/ijerph19042254
APA StyleYurtcu, N., Caliskan, C. S., Guvey, H., Celik, S., Hatirnaz, S., & Tinelli, A. (2022). Predictive and Diagnostic Value of Serum Adipokines in Pregnant Women with Intrahepatic Cholestasis. International Journal of Environmental Research and Public Health, 19(4), 2254. https://doi.org/10.3390/ijerph19042254

