Analysis of Thermal Insulation Thickness for a Container House in the Yanqing Zone of the Beijing 2022 Olympic and Paralympic Winter Games
Abstract
1. Introduction
2. Methodology
2.1. Environmental Conditions
2.2. Experimental CH and Model Validation
2.3. Numerical Simulation
2.3.1. Simulation Parameters Setting
2.3.2. Insulation Thickness under the NZEB Standard
2.4. Indicators of Economic and Environmental Analysis
3. Results and Discussions
3.1. High Insulation Performance CH
3.1.1. Usable Area and Volume of the Room
3.1.2. Heating Energy Consumption
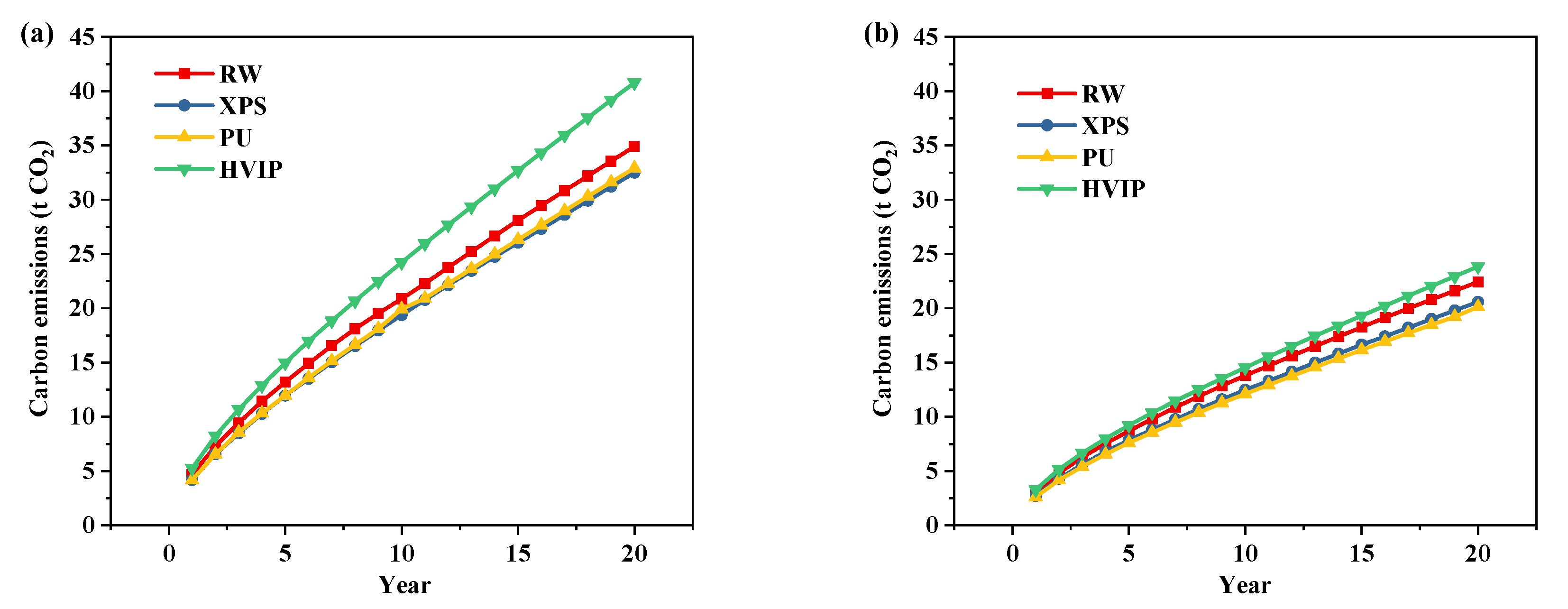
3.1.3. Economic and Environmental Assessment
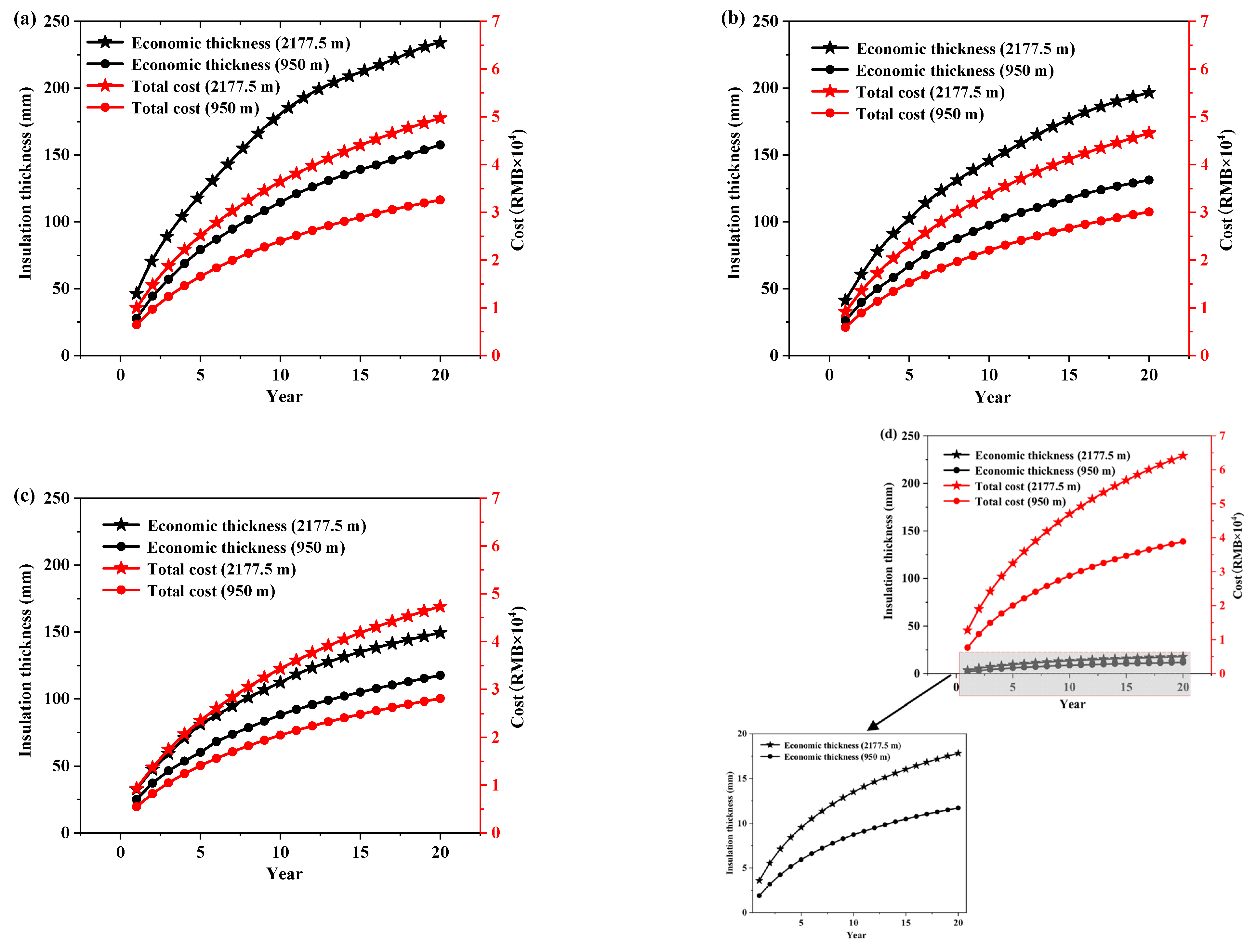
3.2. Economic Thickness
4. Conclusions
Author Contributions
Funding
Institutional Review Board Statement
Informed Consent Statement
Data Availability Statement
Acknowledgments
Conflicts of Interest
References
- Wang, Y.; Long, E.; Deng, S. Applying passive cooling measures to a temporary disaster-relief prefabricated house to improve its indoor thermal environment in summer in the subtropics. Energy Build. 2017, 139, 456–464. [Google Scholar] [CrossRef]
- Atmaca, A.; Atmaca, N. Comparative life cycle energy and cost analysis of post-disaster temporary housings. Appl. Energy 2016, 171, 429–443. [Google Scholar] [CrossRef]
- D’Orazio, M.; Maracchini, G. An experimental investigation on the indoor hygrothermal environment of a reinforced-EPS based temporary housing solution. Energy Build. 2019, 204, 109500. [Google Scholar] [CrossRef]
- Song, Y.; Mithraratne, N.; Zhang, H. Life-time performance of post-disaster temporary housing: A case study in Nanjing. Energy Build. 2016, 128, 394–404. [Google Scholar] [CrossRef]
- Elrayies, G.M. Thermal Performance Assessment of Shipping Container Architecture in Hot and Humid Climates. Int. J. Adv. Sci. Eng. Inf. Technol. 2017, 7, 1114. [Google Scholar] [CrossRef]
- Islam, H.; Zhang, G.; Setunge, S.; Bhuiyan, M.A. Life cycle assessment of shipping container home: A sustainable construction. Energy Build. 2016, 128, 673–685. [Google Scholar] [CrossRef]
- Liu, C.; Chen, R.; Sera, F.; Vicedo-Cabrera, A.M.; Guo, Y.; Tong, S.; Coelho, M.S.Z.S.; Saldiva, P.H.N.; Lavigne, E.; Matus, P.; et al. Ambient Particulate Air Pollution and Daily Mortality in 652 Cities. N. Engl. J. Med. 2019, 381, 705–715. [Google Scholar] [CrossRef]
- Ren, J.; Tang, M.; Novoselac, A. Experimental study to quantify airborne particle deposition onto and resuspension from clothing using a fluorescent-tracking method. Build. Environ. 2022, 209, 108580. [Google Scholar] [CrossRef]
- Ren, J.; He, J.; Kong, X.; Xu, W.; Kang, Y.; Yu, Z.; Li, H. A field study of CO2 and particulate matter characteristics during the transition season in the subway system in Tianjin, China. Energy Build. 2022, 254, 111620. [Google Scholar] [CrossRef]
- Albadra, D. Measurement and analysis of air quality in temporary shelters on three continents. Build. Environ. 2020, 185, 107259. [Google Scholar] [CrossRef]
- Chen, P.-T.; Yao, G.C.; Yu, C.; Liu, L.-F.; Wen, J.-H.; Huang, C.-H. A comparison of residents’ satisfaction with temporary housing: A case study of two temporary housing types in southern Taiwan. J. Chin. Inst. Eng. 2014, 37, 635–642. [Google Scholar] [CrossRef]
- Li, R.; Wang, M.; Zhu, J. Indoor Thermal Environment Monitoring and Evaluation of Double-Deck Prefabricated House in Central China—Taking Zhengzhou Area as an Example. Energy Procedia 2019, 158, 2812–2819. [Google Scholar] [CrossRef]
- Huang, L.; Long, E.; Ouyang, J. Measurement of the Thermal Environment in Temporary Settlements with High Building Density after 2008 Wenchuan Earthquake in China. Procedia Eng. 2015, 121, 95–100. [Google Scholar] [CrossRef]
- Wang, Y.; Wang, L.; Long, E.; Deng, S. An experimental study on the indoor thermal environment in prefabricated houses in the subtropics. Energy Build. 2016, 127, 529–539. [Google Scholar] [CrossRef]
- Yoo, H.-Y.; Park, Y.-J.; Yoon, J.-Y. A Study on the Improving Direction of Container Housing through Field Survey—Based on the Analysis of 12 cases in the Urban Area. J. Korean Hous. Assoc. 2012, 23, 21–30. [Google Scholar] [CrossRef]
- Thapa, R.; Rijal, H.B.; Shukuya, M. Field study on acceptable indoor temperature in temporary shelters built in Nepal after massive earthquake 2015. Build. Environ. 2018, 135, 330–343. [Google Scholar] [CrossRef]
- Thapa, R.; Rijal, H.B.; Shukuya, M.; Imagawa, H. Study on the wintry thermal improvement of makeshift shelters built after Nepal earthquake 2015. Energy Build. 2019, 199, 62–71. [Google Scholar] [CrossRef]
- Honma, Y. Case study on ventilation for improving the hygrothermal behaviour of emergency temporary housing under japanese conditions. Int. J. Vent. 2015, 14, 209–218. [Google Scholar] [CrossRef]
- Soga, N.; Fujiga, M. Research on the preparedness activities for provision of the emergency temporary housing. Aij J. Technol. Des. 2022, 28, 1442–1446. [Google Scholar] [CrossRef]
- Avlar, E.; LϊMoncu, S.; Tizman, D. Post-earthquake temporary housing unit: CLT E-BOX. J. Fac. Eng. Archit. Gazi Univ. 2022, 38, 471–482. [Google Scholar] [CrossRef]
- Nocera, F.; Castagneto, F.; Gagliano, A. Passive House as Temporary Housing after Disasters. In Proceedings of the 18 th International Conference on Renewable Energies and Power Quality (ICREPQ’20), Granada, Spain, 1–2 April 2020; Volume 18, pp. 42–47. [Google Scholar] [CrossRef]
- Nocera, F.; Gagliano, A.; Detommaso, M. Energy performance of cross-laminated timber panel (X-Lam) buildings: A case study. Math. Model. Eng. Probl. 2018, 5, 175–182. [Google Scholar] [CrossRef][Green Version]
- Grębowski, K.; Kałdunek, D. Using Container Structures in Architecture and Urban Design. IOP Conf. Ser. Mater. Sci. Eng. 2017, 245, 042087. [Google Scholar] [CrossRef]
- Berbesz, A.M.; Szefer, I.M. Innovations in shaping the residential and retail buildings. Functional and pro-environmental potential of shipping containers in architecture. IOP Conf. Ser. Mater. Sci. Eng. 2018, 415, 012052. [Google Scholar] [CrossRef]
- Garzón-Juan, M.; Nieto-Morote, A.; Ruz-Vila, F. Review of NZEB Criteria: Design of Life Containers in Operations Area. Energies 2022, 15, 467. [Google Scholar] [CrossRef]
- Liu, P.; Zhang, Z. Study on indoor thermal environment of temporary building envelope in cold area. Energy Conserv. 2019, 38, 1–3. (In Chinese) [Google Scholar]
- Yang, S.; Wi, S.; Cho, H.M.; Park, J.H.; Yun, B.Y.; Kim, S. Developing energy-efficient temporary houses for sustainable urban regeneration: Manufacturing homes with loess, pearlite, and vermiculite. Sustain. Cities Soc. 2020, 61, 102287. [Google Scholar] [CrossRef]
- Cornaro, C.; Sapori, D.; Bucci, F.; Pierro, M.; Giammanco, C. Thermal performance analysis of an emergency shelter using dynamic building simulation. Energy Build. 2015, 88, 122–134. [Google Scholar] [CrossRef]
- Bowley, W.; Mukhopadhyaya, P. A sustainable design for an off-grid passive container house. Int. Rev. Appl. Sci. Eng. 2017, 8, 145–152. [Google Scholar] [CrossRef]
- Satola, D.; Kristiansen, A.B.; Houlihan-Wiberg, A.; Gustavsen, A.; Ma, T.; Wang, R.Z. Comparative life cycle assessment of various energy efficiency designs of a container-based housing unit in China: A case study. Build. Environ. 2020, 186, 107358. [Google Scholar] [CrossRef]
- Kristiansen, A.B.; Satola, D.; Lee, K.; Zhao, B.; Ma, T.; Wang, R.Z.; Gustavsen, A.; Novakovic, V. Feasibility study of an off-grid container unit for industrial construction. Sustain. Cities Soc. 2020, 61, 102335. [Google Scholar] [CrossRef]
- Tettey, U.Y.A.; Dodoo, A.; Gustavsson, L. Effects of different insulation materials on primary energy and CO2 emission of a multi-storey residential building. Energy Build. 2014, 82, 369–377. [Google Scholar] [CrossRef]
- Pargana, N.; Pinheiro, M.D.; Silvestre, J.D.; de Brito, J. Comparative environmental life cycle assessment of thermal insulation materials of buildings. Energy Build. 2014, 82, 466–481. [Google Scholar] [CrossRef]
- Llantoy, N.; Chàfer, M.; Cabeza, L.F. A comparative life cycle assessment (LCA) of different insulation materials for buildings in the continental Mediterranean climate. Energy Build. 2020, 225, 110323. [Google Scholar] [CrossRef]
- Annibaldi, V.; Cucchiella, F.; Rotilio, M. Economic and environmental assessment of thermal insulation. A case study in the Italian context. Case Stud. Constr. Mater. 2021, 15, e00682. [Google Scholar] [CrossRef]
- Zhang, L.; Liu, Z.; Hou, C.; Hou, J.; Wei, D.; Hou, Y. Optimization analysis of thermal insulation layer attributes of building envelope exterior wall based on DeST and life cycle economic evaluation. Case Stud. Therm. Eng. 2019, 14, 100410. [Google Scholar] [CrossRef]
- Gounni, A.; Mabrouk, M.T.; El Wazna, M.; Kheiri, A.; El Alami, M.; El Bouari, A.; Cherkaoui, O. Thermal and economic evaluation of new insulation materials for building envelope based on textile waste. Appl. Therm. Eng. 2019, 149, 475–483. [Google Scholar] [CrossRef]
- Dylewski, R. Optimal Thermal Insulation Thicknesses of External Walls Based on Economic and Ecological Heating Cost. Energies 2019, 12, 3415. [Google Scholar] [CrossRef]
- Özel, G.; Açıkkalp, E.; Görgün, B.; Yamık, H.; Caner, N. Optimum insulation thickness determination using the environmental and life cycle cost analyses based entransy approach. Sustain. Energy Technol. Assess. 2015, 11, 87–91. [Google Scholar] [CrossRef]
- GB 50176-2016; Code for Thermal Design of Civil Building. China Architecture and Building Press: Beijing, China, 2016. (In Chinese)
- ASHRAE Standard 90.1-2019; Energy Standard for Buildings Except Low-Rise Residential Buildings. U.S. Department of Energy Office of Scientific and Technical Information: Washington, DC, USA, 2019. Available online: https://ashrae.iwrapper.com/ASHRAE_PREVIEW_ONLY_STANDARDS/STD_90.1_2019 (accessed on 20 August 2021).
- Dong, B.; Widjaja, R.; Wu, W.; Zhou, Z. Review of onsite temperature and solar forecasting models to enable better building design and operations. Build. Simul. 2021, 14, 885–907. [Google Scholar] [CrossRef]
- GB/T 31433-2015; General specification for building curtain walls, windows and doors. Standards Press of China: Beijing, China, 2015. (In Chinese)
- GB 50736-2012; Design Code for Heating Ventilation and Air Conditioning of Civil Buildings. China Architecture and Building Press: Beijing, China, 2012. (In Chinese)
- Berardi, U. The impact of temperature dependency of the building insulation thermal conductivity in the Canadian climate. Energy Procedia 2017, 132, 237–242. [Google Scholar] [CrossRef]
- Hung Anh, L.D.; Pásztory, Z. An overview of factors influencing thermal conductivity of building insulation materials. J. Build. Eng. 2021, 44, 102604. [Google Scholar] [CrossRef]
- Khoukhi, M.; Fezzioui, N.; Draoui, B.; Salah, L. The impact of changes in thermal conductivity of polystyrene insulation material under different operating temperatures on the heat transfer through the building envelope. Appl. Therm. Eng. 2016, 105, 669–674. [Google Scholar] [CrossRef]
- DB11/891-2020; Design Standard for Energy Efficiency of Residential Buildings. Beijing Municipal Bureau of market supervision and Administration: Beijing, China, 2020. (In Chinese)
- GB/T 25975-2018; Rock Wool Products for External Thermal Insulation Composite Systems (ETICS). Standards Press of China: Beijing, China, 2018. (In Chinese)
- GB/T 10801.2-2018; Rigid Extruded Polystyrene Foam Board for Thermal Insulation (XPS). Standards Press of China: Beijing, China, 2018. (In Chinese)
- GB/T 51350-2019; Technical Standard for Nearly Zero Energy Buildings. China Architecture and Building Press: Beijing, China, 2019. (In Chinese)
- Hou, J.; Zhang, T.; Liu, Z.; Zhang, L.; Fukuda, H. Application evaluation of passive energy-saving strategies in exterior envelopes for rural traditional dwellings in northeast of Sichuan hills, China. Int. J. Low-Carbon Technol. 2022, 17, 342–355. [Google Scholar] [CrossRef]
- Zhao, J.; Li, S. Life cycle cost assessment and multi-criteria decision analysis of environment-friendly building insulation materials—A review. Energy Build. 2022, 254, 111582. [Google Scholar] [CrossRef]
- Atmaca, N. Life-cycle assessment of post-disaster temporary housing. Build. Res. Inf. 2017, 45, 524–538. [Google Scholar] [CrossRef]
- Wang, R.; Lu, S.; Feng, W.; Zhai, X.; Li, X. Sustainable framework for buildings in cold regions of China considering life cycle cost and environmental impact as well as thermal comfort. Energy Rep. 2020, 6, 3036–3050. [Google Scholar] [CrossRef]
- Corporate Greenhouse Gas Emission Accounting Methodology and Reporting Guidelines, Power Generation Facilities (Revision 2021) (Draft for Comments). Available online: https://www.mee.gov.cn/xxgk2018/xxgk/xxgk06/202112/t20211202_962776.html (accessed on 15 September 2022).
- GB/T 51366-2019; Standard for Building Carbon Emission Calculation. China Architecture and Building Press: Beijing, China, 2019. (In Chinese)
- Wang, Z. Study and Optimization of Life Cycle CO2 Emission Performance of Exterior Wall Insulation System in Cold Area. Master’s Thesis, Harbin Institute of Technology, Harbin, China, 2020. (In Chinese). [Google Scholar]
- Resalati, S.; Okoroafor, T.; Henshall, P.; Simões, N.; Gonçalves, M.; Alam, M. Comparative life cycle assessment of different vacuum insulation panel core materials using a cradle to gate approach. Build. Environ. 2021, 188, 107501. [Google Scholar] [CrossRef]
- Johansson, P.; Adl-Zarrabi, B.; Sasic Kalagasidis, A. Evaluation of 5 years’ performance of VIPs in a retrofitted building façade. Energy Build. 2016, 130, 488–494. [Google Scholar] [CrossRef]
- Batard, A.; Duforestel, T.; Flandin, L.; Yrieix, B. Prediction method of the long-term thermal performance of Vacuum Insulation Panels installed in building thermal insulation applications. Energy Build. 2018, 178, 1–10. [Google Scholar] [CrossRef]
- Mao, S.; Kan, A.; Zhu, W.; Yuan, Y. The impact of vacuum degree and barrier envelope on thermal property and service life of vacuum insulation panels. Energy Build. 2020, 209, 109699. [Google Scholar] [CrossRef]
- Berardi, U. The impact of aging and environmental conditions on the effective thermal conductivity of several foam materials. Energy 2019, 182, 777–794. [Google Scholar] [CrossRef]
- Wang, Y.; Liu, K.; Liu, Y.; Wang, D.; Liu, J. The impact of temperature and relative humidity dependent thermal conductivity of insulation materials on heat transfer through the building envelope. J. Build. Eng. 2022, 46, 103700. [Google Scholar] [CrossRef]
- Abanda, F.H.; Tah, J.H.M.; Cheung, F.K.T. Mathematical modelling of embodied energy, greenhouse gases, waste, time–cost parameters of building projects: A review. Build. Environ. 2013, 59, 23–37. [Google Scholar] [CrossRef]
- Zhang, X.; Liu, K.; Zhang, Z. Life cycle carbon emissions of two residential buildings in China: Comparison and uncertainty analysis of different assessment methods. J. Clean. Prod. 2020, 266, 122037. [Google Scholar] [CrossRef]
- GB 55015-2021; General Code for Energy Efficiency and Renewable Energy Application in Buildings. China Architecture and Building Press: Beijing, China, 2021. (In Chinese)
- Hou, J.; Zhang, T.; Liu, Z.; Hou, C.; Fukuda, H. A study on influencing factors of optimum insulation thickness of exterior walls for rural traditional dwellings in northeast of Sichuan hills, China. Case Stud. Constr. Mater. 2022, 16, e01033. [Google Scholar] [CrossRef]
- Daouas, N. A study on optimum insulation thickness in walls and energy savings in Tunisian buildings based on analytical calculation of cooling and heating transmission loads. Appl. Energy 2011, 88, 156–164. [Google Scholar] [CrossRef]










| Envelope | Structures | Thickness mm | Thermal Conductivity W/(m·K) | Specific Heat J/(kg·K) | Density kg/m3 |
|---|---|---|---|---|---|
| Wall | Steel panel | 1.2 | 45 | 300 | 7800 |
| RW | 75 | 0.04 | 1220 | 160 | |
| Aluminum honeycomb panel | 9 | 0.88 | 300 | 10 | |
| Floor | Steel panel | 1.2 | 45 | 300 | 7800 |
| RW | 75 | 0.04 | 1220 | 160 | |
| Cement pressure plate | 18 | 0.039 | 900 | 350 | |
| reflective coating | 1 | 0.039 | 837 | 2710 | |
| Composite wood board | 12 | 0.24 | 1500 | 800 | |
| Roof | Steel panel | 1.2 | 45 | 300 | 7800 |
| RW | 75 | 0.04 | 1220 | 160 | |
| Aluminum honeycomb panel | 5 | 0.88 | 300 | 10 |
| Envelope | Structure | Heat Transfer Coefficient of Glass W/(m2·K) | Solar Heat Gain Coefficient (SHGC) |
|---|---|---|---|
| Window/Door | 6 mm Low-E glass | 1.8 | 0.43 |
| 12 mm air layer | |||
| 6 mm clear glass |
| Insulation Material | Thermal Conductivity (W/m·K) | Specific Heat (J/kg·K) | Density (kg/m3) | Fire Rating |
|---|---|---|---|---|
| RW | 0.04 | 1220 | 160 | A |
| XPS | 0.03 | 1380 | 35 | B1 |
| PU | 0.024 | 1380 | 35 | B1 |
| HVIP | 0.005 | 876 | 200 | A |
| Building Part | U-Value (W/m2·K) | |
|---|---|---|
| Severe Cold Region | Cold Region | |
| Wall | 0.24 | 0.298 |
| Roof | 0.194 | 0.299 |
| Floor | 0.3 | 0.395 |
| Building Part | 2177.5 m | 950 m | ||||||
|---|---|---|---|---|---|---|---|---|
| RW | XPS | PU | HVIP | RW | XPS | PU | HVIP | |
| Wall | 160 | 120 | 96 | 20 | 128 | 96 | 77 | 16 |
| Roof | 200 | 150 | 120 | 25 | 128 | 96 | 77 | 16 |
| Floor | 104 | 78 | 62.5 | 13 | 72 | 54 | 43 | 9 |
| Parameter | Value | Unit | |
|---|---|---|---|
| CP | RW | 750 | RMB/m3 |
| XPS | 800 | ||
| PU | 1100 | ||
| HVIP | 15,000 | ||
| CI | 240 | RMB/m3 | |
| ET | 1.05 | RMB/kWh | |
| N | 1~20 [30,54] | year(s) | |
| r | 5% [53,55] | - | |
| EFOPE | 0.5839 [56] | kgCO2/(kW·h) | |
| EFPRO | RW | 316.8 [57] | kgCO2/m3 |
| XPS | 296.6 [58] | ||
| PU | 363.7 [58] | ||
| HVIP | 2220 [59] | ||
| S (m2)/V (m3) | Original Envelope | 2177.5 m | 950 m | ||||||
|---|---|---|---|---|---|---|---|---|---|
| RW | XPS | PU | HVIP | RW | XPS | PU | HVIP | ||
| S | 16.7 | 15.2 | 15.9 | 16.3 | 17.6 | 15.8 | 16.3 | 16.6 | 17.7 |
| V | 45.8 | 39.5 | 42.5 | 44.3 | 50.5 | 42.6 | 44.8 | 46.3 | 50.9 |
| 2177.5 m | 950 m | |||||||||
|---|---|---|---|---|---|---|---|---|---|---|
| Original Envelope | RW | XPS | PU | HVIP | Original Envelope | RW | XPS | PU | HVIP | |
| Energy consumption (kW·h) | 4588.9 | 3065 | 3087.9 | 3088.1 | 3089.5 | 2372.7 | 1857.6 | 1866 | 1866.4 | 1867.7 |
| 2177.5 m | 950 m | |||||||
|---|---|---|---|---|---|---|---|---|
| RW | XPS | PU | HVIP | RW | XPS | PU | HVIP | |
| Payback period (year) | 3.96 | 2.5 | 2.8 | 13.6 | 6.4 | 2.9 | 3.5 | 31.4 |
Publisher’s Note: MDPI stays neutral with regard to jurisdictional claims in published maps and institutional affiliations. |
© 2022 by the authors. Licensee MDPI, Basel, Switzerland. This article is an open access article distributed under the terms and conditions of the Creative Commons Attribution (CC BY) license (https://creativecommons.org/licenses/by/4.0/).
Share and Cite
Tong, Y.; Yang, H.; Bao, L.; Guo, B.; Shi, Y.; Wang, C. Analysis of Thermal Insulation Thickness for a Container House in the Yanqing Zone of the Beijing 2022 Olympic and Paralympic Winter Games. Int. J. Environ. Res. Public Health 2022, 19, 16417. https://doi.org/10.3390/ijerph192416417
Tong Y, Yang H, Bao L, Guo B, Shi Y, Wang C. Analysis of Thermal Insulation Thickness for a Container House in the Yanqing Zone of the Beijing 2022 Olympic and Paralympic Winter Games. International Journal of Environmental Research and Public Health. 2022; 19(24):16417. https://doi.org/10.3390/ijerph192416417
Chicago/Turabian StyleTong, Yurou, Hui Yang, Li Bao, Baoxia Guo, Yanzhuo Shi, and Congcong Wang. 2022. "Analysis of Thermal Insulation Thickness for a Container House in the Yanqing Zone of the Beijing 2022 Olympic and Paralympic Winter Games" International Journal of Environmental Research and Public Health 19, no. 24: 16417. https://doi.org/10.3390/ijerph192416417
APA StyleTong, Y., Yang, H., Bao, L., Guo, B., Shi, Y., & Wang, C. (2022). Analysis of Thermal Insulation Thickness for a Container House in the Yanqing Zone of the Beijing 2022 Olympic and Paralympic Winter Games. International Journal of Environmental Research and Public Health, 19(24), 16417. https://doi.org/10.3390/ijerph192416417
