Spatial Accessibility Analysis of Medical Facilities Based on Public Transportation Networks
Abstract
1. Introduction
- (1)
- Compare the distribution characteristics of medical facilities and public transportation stations;
- (2)
- Explore the spatial differences in the accessibility of medical resources at all levels in the main urban area of Chongqing, and analyze the degree of balance between the regions;
- (3)
- Propose countermeasures and suggestions that can improve the spatial layout of local medical facilities. The analysis of the accessibility of medical facilities is conducive to the rational allocation of limited medical resources, promotes the equal structure of medical infrastructure, improves the service level of public health, and provides a reference for the medical facility layout research field.
2. Materials and Methods
2.1. Study Area and Data Sources
2.2. Methods
2.2.1. Spatial Accessibility Calculation
2.2.2. Near Analysis
2.2.3. Kernel Density
2.2.4. Spatial Distribution Trends
3. Results
3.1. Characteristics of the Spatial Pattern of Medical Facilities
3.2. Spatial Accessibility Analysis of Various Types of Medical Facilities
3.2.1. Tertiary Grade A Hospitals’ Accessibility
3.2.2. General Hospitals’ Accessibility
3.2.3. Specialist Hospitals’ Accessibility
3.2.4. Community-Level Hospitals’ Accessibility
3.2.5. Clinics’ Accessibility
3.2.6. Pharmacies’ Accessibility
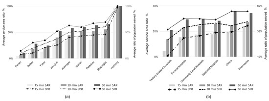
3.3. The Results of the Overall Accessibility Assessment
4. Discussion and Conclusions
- 1.
- Ensure barrier-free access to community health facilities. Understand that having accessible medical facilities or public transportation is a condition for meeting health needs. Therefore, it is necessary to optimize the spatial layout of community-level hospitals, achieve full coverage of the service area of community-level hospitals, and improve public transportation lines so that residents can get essential medical and health protection quickly. At the same time, regional socioeconomic differences should be considered. The needs of population groups in the Yubei District, Jiangbei District, and other areas with a large population base must be understood. Especially in new urban areas and rural areas, it is necessary to support the priority construction of community health centers, to scientifically plan specific locations, and to establish a reasonable service radius.
- 2.
- Optimize the layout of general hospitals. When selecting the site of medical facilities, the urban spatial structure and population coordination distribution should be considered to avoid the distribution of medical facilities being too concentrated in the central metropolitan area or the old city, which not only hinders the process of urbanization but also is not conducive to the aggregation of the population to the urban area and reduces the development vitality of the new metropolitan area. At present, the general hospitals in Chongqing are concentrated in the urban center, while the service area ratios of Yubei District, Banan District, and Beibei District are small. In subsequent planning, according to the population distribution, the general hospital should be appropriately relocated to divert patients from the central urban area. At the same time, by strengthening the construction of tertiary grade A and below hospitals, people can get rid of excessive dependence on tertiary grade A hospitals.
Author Contributions
Funding
Institutional Review Board Statement
Informed Consent Statement
Data Availability Statement
Conflicts of Interest
References
- Wang, F.; Mclafferty, S.; Escamilla, V.; Lan, L. Late-Stage Breast Cancer Diagnosis and Healthcare Access in Illinois. Prof. Geogr. 2008, 60, 54–69. [Google Scholar] [CrossRef]
- Onega, T.; Duell, E.J.; Shi, X.; Wang, D.; Demidenko, E.; Goodman, D. Geographic Access to Cancer Care in the U.S. Cancer 2008, 112, 909–918. [Google Scholar] [CrossRef] [PubMed]
- Jomehpour Chahar Aman, J.; Smith-Colin, J. Transit Deserts: Equity Analysis of Public Transit Accessibility—ScienceDirect. J. Transp. Geogr. 2020, 89, 102869. [Google Scholar] [CrossRef]
- Zheng, Z.; Shen, W.; Li, Y.; Qin, Y.; Wang, L. Spatial Equity of Park Green Space Using KD2SFCA and Web Map API: A Case Study of Zhengzhou, China. Appl. Geogr. 2020, 123, 102310. [Google Scholar] [CrossRef]
- Morrill, R.L.; Symons, J. Efficiency and Equity Aspects of Optimum Location. Geogr. Anal. 1977, 9, 215–225. [Google Scholar] [CrossRef]
- Teitz, M.B. Toward a Theory of Urban Public Facility Location. Pap. Reg. Sci. Assoc. 1968, 21, 35–51. [Google Scholar] [CrossRef]
- Hansen, W.G. How Accessibility Shapes Land Use. J. Am. Inst. Plan. 1959, 25, 73–76. [Google Scholar] [CrossRef]
- Lozano, A.; Storchi, G. Shortest Viable Path Algorithm in Multimodal Networks. Transp. Res. Part A Policy Pract. 2001, 35, 225–241. [Google Scholar] [CrossRef]
- Zhou, X.; Yu, Z.; Yuan, L.; Wang, L.; Wu, C. Measuring Accessibility of Healthcare Facilities for Populations with Multiple Transportation Modes Considering Residential Transportation Mode Choice. ISPRS Int. J. Geo-Inf. 2020, 9, 394. [Google Scholar] [CrossRef]
- Qian, T.; Chen, J.; Li, A.; Wang, J.; Shen, D. Evaluating Spatial Accessibility to General Hospitals with Navigation and Social Media Location Data: A Case Study in Nanjing. Int. J. Environ. Res. Public Health 2020, 17, 2752. [Google Scholar] [CrossRef]
- Stentzel, U.; Bahr, J.; Fredrich, D.; Piegsa, J.; Hoffmann, W.; van den Berg, N. Is There an Association between Spatial Accessibility of Outpatient Care and Utilization? Analysis of Gynecological and General Care. BMC Health Serv. Res. 2018, 18, 322. [Google Scholar] [CrossRef]
- Fu, X.; Qiang, Y.; Wang, J.; Zhao, X.; Hwang, F.-J.; Chen, C.-H. Urban Public Transport Accessibility to Medical Services From the Perspective of Residents’ Travel: A Hybrid Assessment Based on the Whole Process. IEEE Access 2021, 9, 8977–8989. [Google Scholar] [CrossRef]
- Zheng, L.; Li, J.; Hu, W.; Duan, P. Analysis of the Spatial Range of Service and Accessibility of Hospitals Designated for Coronavirus Disease 2019 in Yunnan Province, China. Geocarto Int. 2021, 37, 1–19. [Google Scholar] [CrossRef]
- Dony, C.C.; Delmelle, E.M.; Delmelle, E.C. Re-Conceptualizing Accessibility to Parks in Multimodal Cities: A Variable-Width Floating Catchment Area (VFCA) Method. Landsc. Urban Plan. 2015, 143, 90–99. [Google Scholar] [CrossRef]
- Cao, W.-R.; Shakya, P.; Karmacharya, B.; Xu, D.R.; Hao, Y.-T.; Lai, Y.-S. Equity of Geographical Access to Public Health Facilities in Nepal. BMJ Glob. Health 2021, 6, e006786. [Google Scholar] [CrossRef]
- Li, X.; Guo, J.; Gao, C.; Su, Z.; Bao, D.; Zhang, Z. Network-Based Transportation System Analysis: A Case Study in a Mountain City. Chaos Solitons Fractals 2018, 107, 256–265. [Google Scholar] [CrossRef]
- Cheng, M.; Tao, L.; Lian, Y.; Huang, W. Measuring Spatial Accessibility of Urban Medical Facilities: A Case Study in Changning District of Shanghai in China. Int. J. Environ. Res. Public Health 2021, 18, 9598. [Google Scholar] [CrossRef] [PubMed]
- Mao, L.; Nekorchuk, D. Measuring Spatial Accessibility to Healthcare for Populations with Multiple Transportation Modes. Health Place 2013, 24, 115–122. [Google Scholar] [CrossRef] [PubMed]
- Guagliardo, M.F. Spatial Accessibility of Primary Care: Concepts, Methods and Challenges. Int. J. Health Geogr. 2004, 3, 3. [Google Scholar] [CrossRef] [PubMed]
- Somenahalli, S.; Shipton, M. Examining the Distribution of the Elderly and Accessibility to Essential Services. Procedia Soc. Behav. Sci. 2013, 104, 942–951. [Google Scholar] [CrossRef]
- Carlson, T.; York, S.; Primomo, J. The Utilization of Geographic Information Systems to Create a Site Selection Strategy to Disseminate an Older Adult Fall Prevention Program. Soc. Sci. J. 2011, 48, 159–174. [Google Scholar] [CrossRef]
- Luo, J.; Tian, L.; Luo, L.; Yi, H.; Wang, F. Two-Step Optimization for Spatial Accessibility Improvement: A Case Study of Health Care Planning in Rural China. Biomed Res. Int. 2017, 2017, 2094654. [Google Scholar] [CrossRef] [PubMed]
- Albert, D.P.; Butar, F.B. Estimating the De-Designation of Single-County HPSAs in the United States by Counting Naturopathic Physicians as Medical Doctors. Appl. Geogr. 2005, 25, 271–285. [Google Scholar] [CrossRef]
- Yang, D.H.; Goerge, R.; Mullner, R. Comparing GIS-Based Methods of Measuring Spatial Accessibility to Health Services. J. Med. Syst. 2006, 30, 23–32. [Google Scholar] [CrossRef] [PubMed]
- Langford, M.; Higgs, G. Measuring Potential Access to Primary Healthcare Services: The Influence of Alternative Spatial Representations of Population. Prof. Geogr. 2006, 58, 294–306. [Google Scholar] [CrossRef]
- Tao, Z.; Yao, Z.; Kong, H.; Duan, F.; Li, G. Spatial Accessibility to Healthcare Services in Shenzhen, China: Improving the Multimodal Two-Step Floating Catchment Area Method by Estimating Travel Time via Online Map APIs. BMC Health Serv. Res. 2018, 18, 345. [Google Scholar] [CrossRef] [PubMed]
- Apparicio, P.; Abdelmajid, M.; Riva, M.; Shearmur, R. Comparing Alternative Approaches to Measuring the Geographical Accessibility of Urban Health Services: Distance Types and Aggregation-Error Issues. Int. J. Health Geogr. 2008, 7, 7. [Google Scholar] [CrossRef] [PubMed]
- Yin, C.; He, Q.; Liu, Y.; Chen, W.; Gao, Y. Inequality of Public Health and Its Role in Spatial Accessibility to Medical Facilities in China. Appl. Geogr. 2018, 92, 50–62. [Google Scholar] [CrossRef]
- Haynes, R.; Lovett, A.; Sünnenberg, G. Potential Accessibility, Travel Time, and Consumer Choice: Geographical Variations in General Medical Practice Registrations in Eastern England. Environ. Plan A 2003, 35, 1733–1750. [Google Scholar] [CrossRef]
- Luo, W.; Qi, Y. An Enhanced Two-Step Floating Catchment Area (E2SFCA) Method for Measuring Spatial Accessibility to Primary Care Physicians. Health Place 2009, 15, 1100–1107. [Google Scholar] [CrossRef]
- Connor, R.A.; Kralewski, J.E.; Hillson, S.D. Measuring Geographic Access to Health Care in Rural Areas. Med. Care Rev. 1994, 51, 337–377. [Google Scholar] [CrossRef] [PubMed]
- Pra, B.; Zz, B.; Mpkc, D.; Yq, B. Evaluation of the Spatial Equity of Medical Facilities Based on Improved Potential Model and Map Service API: A Case Study in Zhengzhou, China. Appl. Geogr. 2020, 119, 102192. [Google Scholar]
- Shin, K.; Lee, T. Improving the Measurement of the Korean Emergency Medical System’s Spatial Accessibility. Appl. Geogr. 2018, 100, 30–38. [Google Scholar] [CrossRef]
- Silva, L.L.; Carvalho Dutra, A.D.; Dutra, A.D.C.; Andrade, L.D.; Andrade, L.D.; Iora, P.H.; Iora, P.H.; Ramajo, G.L.R.; Rodrigues Ramajo, G.L. Emergency Care Gap in Brazil: Geographical Accessibility as a Proxy of Response Capacity to Tackle COVID-19. Front. Public Health 2021, 9, 1664. [Google Scholar] [CrossRef] [PubMed]
- Schuurman, N.; Bérubé, M.; Crooks, V.A. Measuring Potential Spatial Access to Primary Health Care Physicians Using a Modified Gravity Model. Can. Geogr. Le Géographe Can. 2010, 54, 29–45. [Google Scholar] [CrossRef]
- Guo, H. The Research on the Accessibility of Recreational Green Space in Yuelu District of Changsha City; Hunan University: Hunan, China, 2020. [Google Scholar]
- Dong, L.Q. Research on the Spatio-Temporal Characteristics of Traffic Accessibility Considering Travel Time Reliability; Beijing Jiaotong University: Beijing, China, 2021. [Google Scholar]
- Salonen, M.; Toivonen, T. Modelling Travel Time in Urban Networks: Comparable Measures for Private Car and Public Transport. J. Transp. Geogr. 2013, 31, 143–153. [Google Scholar] [CrossRef]
- Badland, H.; Hickey, S.; Bull, F.; Giles-Corti, B. Public Transport Access and Availability in the RESIDE Study: Is It Taking Us Where We Want to Go? J. Transp. Health 2014, 1, 45–49. [Google Scholar] [CrossRef]
- Djurhuus, S.; Sten Hansen, H.; Aadahl, M.; Glümer, C. Building a Multimodal Network and Determining Individual Accessibility by Public Transportation. Environ. Plann. B Plann. Des. 2016, 43, 210–227. [Google Scholar] [CrossRef]
- Liu, Z. Discussion on the Development of Medical Facilities and the Spatial Layout—As an Example to Hangzhou City. Sci. Technol. Inf. 2008, 35. [Google Scholar]
- Liu, S.; Qin, Y.; Xu, Y. Inequality and Influencing Factors of Spatial Accessibility of Medical Facilities in Rural Areas of China: A Case Study of Henan Province. Int. J. Environ. Res. Public Health 2019, 16, 1833. [Google Scholar] [CrossRef]
- Liu, X.; Lin, Z.; Huang, J.; Gao, H.; Shi, W. Evaluating the Inequality of Medical Service Accessibility Using Smart Card Data. Int. J. Environ. Res. Public Health 2021, 18, 2711. [Google Scholar] [CrossRef] [PubMed]
- Jin, M.; Liu, L.; Tong, D.; Gong, Y.; Liu, Y. Evaluating the Spatial Accessibility and Distribution Balance of Multi-Level Medical Service Facilities. Int. J. Environ. Res. Public Health 2019, 16, 1150. [Google Scholar] [CrossRef] [PubMed]
- André Ngamini Ngui; Apparicio, P. Optimizing the Two-Step Floating Catchment Area Method for Measuring Spatial Accessibility to Medical Clinics in Montreal. BMC Health Serv. Res. 2011, 11, 166. [Google Scholar]
- Tseng, M.-H.; Wu, H.-C. Accessibility Assessment of Community Care Resources Using Maximum-Equity Optimization of Supply Capacity Allocation. Int. J. Environ. Res. Public Health 2021, 18, 1153. [Google Scholar] [CrossRef]
- Shah, T.I.; Milosavljevic, S.; Bath, B. Determining Geographic Accessibility of Family Physician and Nurse Practitioner Services in Relation to the Distribution of Seniors within Two Canadian Prairie Provinces. Soc. Sci. Med. 2017, 194, 96–104. [Google Scholar] [CrossRef]
- Oliphant, N.P.; Ray, N.; Bensaid, K.; Ouedraogo, A.; Gali, A.Y.; Habi, O.; Maazou, I.; Panciera, R.; Muniz, M.; Sy, Z.; et al. Optimising Geographical Accessibility to Primary Health Care: A Geospatial Analysis of Community Health Posts and Community Health Workers in Niger. BMJ Glob. Health 2021, 6, e005238. [Google Scholar] [CrossRef]
- Wang, X.; Yang, H.; Duan, Z.; Pan, J. Spatial Accessibility of Primary Health Care in China: A Case Study in Sichuan Province. Soc. Sci. Med. 2018, 209, 14–24. [Google Scholar] [CrossRef]
- Fu, L. Spatial Accessibility and Influencing Factors of Medical Service in Mountainous Cities—Take the Central Urban Area of Chongqing as An Example; Southwest University: Chongqing, China, 2021. [Google Scholar]
- He, Y.; Pu, H.; Liu, N.; Zhang, Y.; Sheng, Y. An Analysis of Food Accessibility of Mountain Cities in China: A Case Study of Chongqing. Appl. Sci. 2022, 12, 3236. [Google Scholar] [CrossRef]
- Jia, L. Study on Spatial Accessibility of Prehospital Emergency Medical Services in Chongqing; Chongqing Medical University: Chongqing, China, 2022. [Google Scholar]
- Zhang, X.; Ren, A.; Chen, L.; Zheng, X. Measurement and Spatial Difference Analysis on the Accessibility of Road Networks in Major Cities of China. Sustainability 2019, 11, 4209. [Google Scholar] [CrossRef]
- Nelson, A.C.; Hibberd, R. Influence of Rail Transit on Development Patterns in the Mountain Mega-Region with a Surprise and Implications for Rail Transit and Land-Use Planning. Transp. Res. Rec. 2021, 2675, 374–390. [Google Scholar] [CrossRef]
- Chang, Z.; Chen, J.; Li, W.; Li, X. Public Transportation and the Spatial Inequality of Urban Park Accessibility: New Evidence from Hong Kong. Transp. Res. Part D Transp. Environ. 2019, 76, 111–122. [Google Scholar] [CrossRef]
- Starfield, B. The Hidden Inequity in Health Care. Int. J. Equity Health 2011, 10, 1–3. [Google Scholar] [CrossRef] [PubMed]
- Wang, L.; Fan, H.; Wang, Y. Site Selection of Retail Shops Based on Spatial Accessibility and Hybrid BP Neural Network. ISPRS Int. Geo-Inf. 2018, 7, 202. [Google Scholar] [CrossRef]







| Classify (Shorthand) | R | Spatial Structure Type | ||
|---|---|---|---|---|
| tertiary grade A hospitals (T) | 1741.02 | 7250.47 | 0.24 | aggregation |
| general hospitals (G) | 739.10 | 1795.44 | 0.41 | aggregation |
| specialist hospitals (S) | 330.15 | 1305.47 | 0.25 | aggregation |
| community-level hospitals (CO) | 1068.03 | 1772.59 | 0.60 | aggregation |
| clinics (CL) | 260.44 | 706.41 | 0.37 | aggregation |
| pharmacies (P) | 79.34 | 380.39 | 0.21 | aggregation |
| Classify | R | Spatial Structure Type | ||
|---|---|---|---|---|
| Rail stations | 1164.27 | 2860.85 | 0.41 | agglomeration |
| Bus stops | 291.69 | 606.15 | 0.48 | agglomeration |
Publisher’s Note: MDPI stays neutral with regard to jurisdictional claims in published maps and institutional affiliations. |
© 2022 by the authors. Licensee MDPI, Basel, Switzerland. This article is an open access article distributed under the terms and conditions of the Creative Commons Attribution (CC BY) license (https://creativecommons.org/licenses/by/4.0/).
Share and Cite
Liu, Y.; Gu, H.; Shi, Y. Spatial Accessibility Analysis of Medical Facilities Based on Public Transportation Networks. Int. J. Environ. Res. Public Health 2022, 19, 16224. https://doi.org/10.3390/ijerph192316224
Liu Y, Gu H, Shi Y. Spatial Accessibility Analysis of Medical Facilities Based on Public Transportation Networks. International Journal of Environmental Research and Public Health. 2022; 19(23):16224. https://doi.org/10.3390/ijerph192316224
Chicago/Turabian StyleLiu, Ying, Han Gu, and Yuyu Shi. 2022. "Spatial Accessibility Analysis of Medical Facilities Based on Public Transportation Networks" International Journal of Environmental Research and Public Health 19, no. 23: 16224. https://doi.org/10.3390/ijerph192316224
APA StyleLiu, Y., Gu, H., & Shi, Y. (2022). Spatial Accessibility Analysis of Medical Facilities Based on Public Transportation Networks. International Journal of Environmental Research and Public Health, 19(23), 16224. https://doi.org/10.3390/ijerph192316224
