The Impact of Undergraduates’ Social Isolation on Smartphone Addiction: The Roles of Academic Anxiety and Social Media Use
Abstract
1. Introduction
1.1. Undergraduates’ Social Isolation and Smartphone Addiction
1.1.1. Social Isolation
1.1.2. Smartphone Addiction
1.2. The Relationship between Undergraduates’ Social Isolation and Smartphone Addiction: The Role of Academic Anxiety and Social Media Use
1.2.1. Academic Anxiety
1.2.2. Social Media Use
2. Research Methods
2.1. Participants
2.2. Measures
2.2.1. Social Isolation
2.2.2. Smartphone Addiction
2.2.3. Social Media Use
2.2.4. Academic Anxiety
3. Results
3.1. Descriptive Statistics and Correlation Analysis
3.2. Common Method Biases Testing
3.3. Hypothesis Testing
4. Discussion
4.1. Social Isolation and Smartphone Addiction
4.2. The Mediating Role of Academic Anxiety
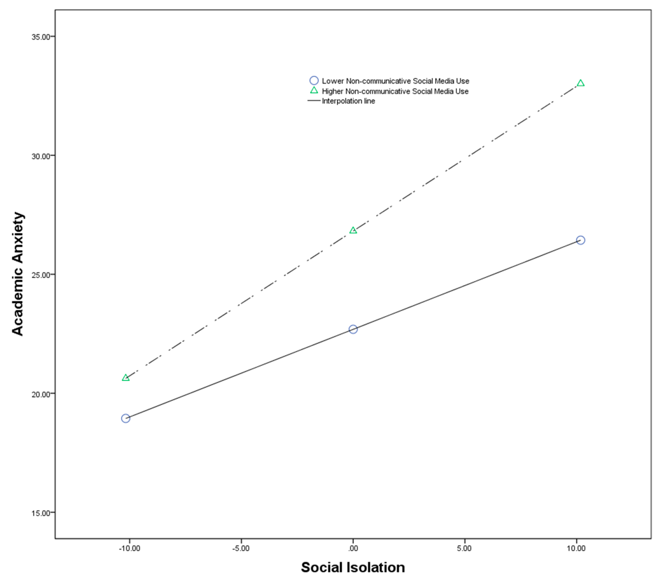
4.3. The Moderating Role of Social Media Use
5. Conclusions
Author Contributions
Funding
Institutional Review Board Statement
Informed Consent Statement
Data Availability Statement
Conflicts of Interest
References
- McLeish, A.C.; Walker, K.L.; Hart, J.L. Changes in Internalizing Symptoms and Anxiety Sensitivity among College Students during the COVID-19 Pandemic. J. Psychopathol. Behav. Assess 2022, 27, 1021–1028. [Google Scholar] [CrossRef]
- Volpe, U.; Orsolini, L.; Salvi, V.; Albert, U.; Carmassi, C.; Carrà, G.; Cirulli, F.; Dell’Osso, B.; Luciano, M.; Menculini, G.; et al. COVID-19-Related Social Isolation Predispose to Problematic Internet and Online Video Gaming Use in Italy. Int. J. Environ. Res. Public Health 2022, 19, 1539. [Google Scholar] [CrossRef]
- Al-Kandari, Y.Y.; Al-Sejari, M.M. Social isolation, social support and their relationship with smartphone addiction. Inf. Commun. Soc. 2021, 24, 1925–1943. [Google Scholar] [CrossRef]
- Hosen, I.; Al Mamun, F.; Sikder, M.T.; Abbasi, A.Z.; Zou, L.; Guo, T.; Mamun, M.A. Prevalence and associated factors of problematic smartphone use during the COVID-19 pandemic: A Bangladeshi study. Risk Manag. Healthc. Policy 2021, 14, 3797. [Google Scholar] [CrossRef]
- Hao, Z.; Jin, L.; Huang, J.; Lyu, R.; Cui, Q. Academic burnout and problematic smartphone use during the Covid-19 pandemic: The effects of anxiety and resilience. Front. Psychiatry 2021, 12, 725740. [Google Scholar] [CrossRef]
- Berkman, L.; Syme, S. Social networks, host resistance, and mortality: A nine-year follow-up study of alameda county residents. Am. J. Epidemiol. 1979, 109, 186–204. [Google Scholar] [CrossRef]
- Nicholson, N. Social isolation in older adults: An evolutionary concept analysis. J. Adv. Nurs. 2009, 65, 1342–1352. [Google Scholar] [CrossRef]
- Julie, L.L.; Christine, S.R.; David, L.R.; Patricia, S.B.; Eric, V.B.; Richard, M.A. Social isolation, support, and capital and nutritional risk in an older sample: Ethnic and gender differences. Soc. Sci. Med. 2005, 60, 747–761. [Google Scholar]
- Kim, H.H.S.; Jung, J.H. Social isolation and psychological distress during the COVID-19 pandemic: A cross-national analysis. Gerontologist 2021, 61, 103–113. [Google Scholar] [CrossRef]
- Nicholson, R. A review of social isolation: An important but under assessed condition in older adults. J. Prim. Prev. 2012, 33, 137–152. [Google Scholar] [CrossRef]
- Valtorta, N.K.; Kanaan, M.; Gilbody, S.; Hanratty, B. Loneliness, social isolation and social relationships: What are we measuring? A novel framework for classifying and comparing tools. BMJ Open 2016, 6, e010799. [Google Scholar] [CrossRef]
- Robb, C.E.; De Jager, C.A.; Ahmadi-Abhari, S.; Giannakopoulou, P.; Udeh-Momoh, C.; McKeand, J.; Price, G.; Car, J.; Majeed, A.; Ward, H.; et al. Associations of Social Isolation with Anxiety and Depression During the Early COVID-19 Pandemic: A Survey of Older Adults in London, UK. J. Front. Psychiatry 2020, 11, 591120. [Google Scholar] [CrossRef]
- Roberton, T.; Carter, E.D.; Chou, V.B.; Stegmuller, A.R.; Jackson, B.D.; Tam, Y.; Sawadogo-Lewis, T.; Walker, N. Early estimates of the indirect effects of the COVID-19 pandemic on maternal and child mortality in low-income and middle-income countries: A modelling study. Lancet Global Health 2020, 8, e901–e908. [Google Scholar] [CrossRef]
- O’ Sullivan, R.; Burns, A.; Leavey, G.; Leroi, I.; Burholt, V.; Lubben, J.; Holt-Lunstad, J.; Victor, C.; Lawlor, B.; Vilar-Compte, M.; et al. Impact of the COVID-19 pandemic on loneliness and social isolation: A multi-country study. Int. J. Environ. Res. Public Health 2021, 18, 9982. [Google Scholar] [CrossRef]
- Martínez-Garcia, M.; Sansano-Sansano, E.; Castillo-Hornero, A.; Femenia, R.; Roomp, K.; Oliver, N. Social isolation during the COVID-19 pandemic in Spain: A population study. Sci. Rep. 2022, 12, 12543. [Google Scholar] [CrossRef]
- Leal Filho, W.; Wall, T.; Rayman-Bacchus, L.; Mifsud, M.; Pritchard, D.J.; Lovren, V.O.; Farinha, C.; Petrovic, D.S.; Balogun, A.L. Impacts of COVID-19 and social isolation on academic staff and students at universities: A cross-sectional study. BMC Public Health 2021, 21, 1213. [Google Scholar] [CrossRef]
- Goodman, M.D. Addiction: Definition and implications. Br. J. Addict. 1990, 85, 1403–1408. [Google Scholar] [CrossRef]
- Griffiths, M.D. A “components” model of addiction within a biopsychosocial framework. J. Subst. Use 2005, 10, 191–197. [Google Scholar] [CrossRef]
- Panova, T.; Carbonell, X. Is smartphone addiction really an addiction? J. Behav. Addict. 2018, 7, 252–259. [Google Scholar] [CrossRef]
- Randjelovic, P.; Stojiljkovic, N.; Radulovic, N.; Stojanovic, N.; Ilic, I. Problematic smartphone use, screen time and chronotype correlations in university students. Eur. Addict. Res. 2021, 27, 67–74. [Google Scholar] [CrossRef]
- Bianchi, A.; Phillips, J.G. Psychological predictors of problem mobile phone use. Cyberpsychology Behav. 2005, 8, 39–51. [Google Scholar] [CrossRef] [PubMed]
- Chiu, S.I. The relationship between life stress and smartphone addiction on Taiwanese university student: A mediation model of learning self-efficacy and social self-efficacy. Comput. Hum. Behav. 2014, 34, 49–57. [Google Scholar] [CrossRef]
- Darcin, A.E.; Noyan, C.; Nurmedov, S.; Yilmaz, O.; Dilbaz, N. Smartphone addiction in relation with social anxiety and loneliness among university students in Turkey. Eur. Psychiatry 2015, 30, 505. [Google Scholar] [CrossRef]
- Jin Jeong, Y.; Suh, B.; Gweon, G. Is smartphone addiction different from Internet addiction? Comparison of addiction-risk factors among adolescents. Behav. Inf. Technol. 2020, 39, 578–593. [Google Scholar] [CrossRef]
- Ding, Y.; Huang, H.; Zhang, Y.; Peng, Q.; Yu, J.; Lu, G.; Wu, H.; Chen, C. Correlations between smartphone addiction and alexithymia, attachment style, and subjective well-being: A meta-analysis. Front. Psychol. 2022, 13, 971735. [Google Scholar] [CrossRef]
- Kwon, M.; Lee, J.Y.; Won, W.Y.; Park, J.W.; Min, J.A.; Hahn, C.; Gu, X.; Choi, J.H.; Kim, D.J. Development and validation of a smartphone addiction scale (SAS). PLoS ONE 2013, 8, e56936. [Google Scholar] [CrossRef]
- Kwon, M.; Kim, D.J.; Cho, H.; Yang, S. The Smartphone Addiction Scale: Development and validation of a short version for adolescents. PLoS ONE 2013, 8, e83558. [Google Scholar] [CrossRef]
- De Pasquale, C.; Sciacca, F.; Hichy, Z. Italian validation of Smartphone Addiction Scale Short Version for adolescents and young adults (SAS-SV). Psychology 2017, 8, 1513–1518. [Google Scholar] [CrossRef]
- Otsuka, Y.; Kaneita, Y.; Itani, O.; Matsumoto, Y. The Japanese Youth Version of the Smartphone Addiction Scale Among the Youth in Japan: Reliability and Validity Assessment. Int. J. Ment. Health Addict. 2022. [Google Scholar] [CrossRef]
- Luk, T.T.; Wang, M.P.; Shen, C.; Wan, A.; Chau, P.H.; Oliffe, J.; Viswanath, K.; Chan, S.S.C.; Lam, T.H. Short version of the Smartphone Addiction Scale in Chinese adults: Psychometric properties, sociodemographic, and health behavioral correlates. J. Behav. Addict. 2018, 7, 1157–1165. [Google Scholar] [CrossRef]
- Kalaitzaki, A.; Laconi, S.; Spritzer, D.T.; Hauck, S.; Gnisci, A.; Sergi, I.; Vally, Z.; Tudorel, O.; Vintila, M.; Malik, S.; et al. The Prevalence and Predictors of Problematic Mobile Phone Use: A 14-Country Empirical Survey. Int. J. Ment. Health Addict. 2022. [Google Scholar] [CrossRef]
- Albursan, I.S.; Al Qudah, M.F.; Al-Barashdi, H.S.; Bakhiet, S.F.; Darandari, E.; Al-Asqah, S.S.; Hammad, H.I.; Al-Khadher, M.M.; Qara, S.; Al-Mutairy, S.H.; et al. Smartphone Addiction among University Students in Light of the COVID-19 Pandemic: Prevalence, Relationship to Academic Procrastination, Quality of Life, Gender and Educational Stage. Int. J. Environ. Res. Public Health 2022, 19, 10439. [Google Scholar] [CrossRef]
- Ren, Z.; Tan, J.; Huang, B.; Cheng, J.; Huang, Y.; Xu, P.; Fang, X.; Li, H.; Zhang, D.; Gao, Y. Association between 24-Hour Movement Behaviors and Smartphone Addiction among Adolescents in Foshan City, Southern China: Compositional Data Analysis. Int. J. Environ. Res. Public Health 2022, 19, 9942. [Google Scholar] [CrossRef] [PubMed]
- Smetaniuk, P. A preliminary investigation into the prevalence and prediction of problematic cell phone use. J. Behav. Addict. 2014, 3, 41–53. [Google Scholar] [CrossRef] [PubMed]
- de Freitas, B.H.B.M.; Gaíva, M.A.M.; Diogo, P.M.J.; Bortolini, J. Relationship between Lifestyle and Self-Reported Smartphone Addiction in adolescents in the COVID-19 pandemic: A mixed-methods study. J. Pediatric Nurs. 2022, 65, 82–90. [Google Scholar] [CrossRef] [PubMed]
- Parent, N.; Xiao, B.; Hein-Salvi, C.; Shapka, J. Should We Be Worried about Smartphone Addiction? An Examination of Canadian Adolescents’ Feelings of Social Disconnection in the Time of COVID-19. Int. J. Environ. Res. Public Health 2022, 19, 9365. [Google Scholar] [CrossRef]
- Karaoglan Yilmaz, F.G.; Avci, U.; Yilmaz, R. The role of loneliness and aggression on smartphone addiction among university students. Curr. Psychol. 2022. [Google Scholar] [CrossRef]
- Durkheim, E. Suicide: A Study in Sociology; Free Press: New York, NY, USA, 1951. [Google Scholar]
- Alotaibi, M.S.; Fox, M.; Coman, R.; Ratan, Z.A.; Hosseinzadeh, H. Smartphone Addiction Prevalence and Its Association on Academic Performance, Physical Health, and Mental Well-Being among University Students in Umm Al-Qura University (UQU), Saudi Arabia. Int. J. Environ. Res. Public Health 2022, 19, 3710. [Google Scholar] [CrossRef]
- Goetz, T.; Preckel, F.; Zeidner, M.; Schleyer, E.J. Anxiety of big fish swimming in big ponds: A multilevel analysis of test anxiety and achievement in special gifted classes. Anxiety Stress Coping 2008, 21, 185–198. [Google Scholar] [CrossRef]
- Gogol, K.; Brunner, M.; Preckel, F.; Goetz, T.; Martin, R. Developmental Dynamics of General and School-Subject-Specific Components of Academic Self-Concept, Academic Interest, and Academic Anxiety. Front. Psychol. 2016, 7, 356. [Google Scholar] [CrossRef]
- Pekrun, R. The Control-Value Theory of Achievement Emotions: Assumptions, Corollaries, and Implications for Educational Research and Practice. Educ. Psychol. Rev. 2006, 18, 315–341. [Google Scholar] [CrossRef]
- Pekrun, R.; Elliot, A.J.; Maier, M.A. Achievement goals and discrete achievement emotions: A theoretical model and prospective test. J. Educ. Psychol. 2006, 98, 583–597. [Google Scholar] [CrossRef]
- Haikalis, M.; Doucette, H.; Meisel, M.K.; Birch, K.; Barnett, N.P. Changes in College Student Anxiety and Depression from Pre- to During-COVID-19: Perceived Stress, Academic Challenges, Loneliness, and Positive Perceptions. Emerg. Adulthood 2022, 10, 534–545. [Google Scholar] [CrossRef]
- Wilkialis, L.; Rodrigues, N.B.; Cha, D.S.; Siegel, A.; Majeed, A.; Lui, L.M.W.; Tamura, J.K.; Gill, B.; Teopiz, K.; McIntyre, R.S. Social Isolation, Loneliness and Generalized Anxiety: Implications and Associations during the COVID-19 Quarantine. Brain Sci. 2021, 11, 1620. [Google Scholar] [CrossRef] [PubMed]
- Bian, M.; Leung, L. Linking loneliness, shyness, smartphone addiction symptoms, and patterns of smartphone use to social capital. Soc. Sci. Comput. Rev. 2015, 33, 61–79. [Google Scholar] [CrossRef]
- Turgeman, L.; Hefner, I.; Bazon, M.; Yehoshua, O.; Weinstein, A. Studies on the Relationship between Social Anxiety and Excessive Smartphone Use and on the Effects of Abstinence and Sensation Seeking on Excessive Smartphone Use. Int. J. Environ. Res. Public Health 2020, 17, 1262. [Google Scholar] [CrossRef]
- Jessor, R. Problem-behavior theory, psychosocial development, and adolescent problem drinking. Br. J. Addict. 1987, 82, 331–342. [Google Scholar] [CrossRef]
- Matar Boumosleh, J.; Jaalouk, D. Depression, anxiety, and smartphone addiction in university students-A cross sectional study. PLoS ONE 2017, 12, e0182239. [Google Scholar] [CrossRef]
- Annoni, A.M.; Petrocchi, S.; Camerini, A.L.; Marciano, L. The relationship between social anxiety, smartphone use, dispositional trust, and problematic smartphone use: A moderated mediation model. Int. J. Environ. Res. Public Health 2021, 18, 2452. [Google Scholar] [CrossRef]
- Guan, J.; Wu, C. Prevalence and Factors for Anxiety during the COVID-19 Pandemic among College Students in China. Int. J. Environ. Res. Public Health 2021, 18, 4974. [Google Scholar] [CrossRef]
- Wang, C.; Wen, W.; Zhang, H.; Ni, J.; Jiang, J.; Cheng, Y.; Zhou, M.; Ye, L.; Feng, Z.H.; Ge, Z.J.; et al. Anxiety, depression, and stress prevalence among college students during the COVID-19 pandemic: A systematic review and meta-analysis. J. Am. Coll. Health 2021. [Google Scholar] [CrossRef] [PubMed]
- Yang, Z.; Asbury, K.; Griffiths, M.D. An Exploration of Problematic Smartphone Use among Chinese University Students: Associations with Academic Anxiety, Academic Procrastination, Self-Regulation and Subjective Wellbeing. Int. J. Ment. Health Addict. 2019, 17, 596–614. [Google Scholar] [CrossRef]
- Kaplan, A.M.; Haenlein, M. Users of the world, unite! The challenges and opportunities of social media. Bus. Horiz. 2010, 53, 59–68. [Google Scholar] [CrossRef]
- Chan, M. Mobile phones and the good life: Examining the relationships among mobile use, social capital and subjective well-being. New Media Soc. 2015, 17, 96–113. [Google Scholar] [CrossRef]
- Stevic, A.; Koban, K.; Binder, A.; Matthes, J. You are not alone: Smartphone use, friendship satisfaction, and anxiety during the COVID-19 crisis. Mob. Media Commun. 2022, 10, 294–315. [Google Scholar] [CrossRef] [PubMed]
- Primack, B.A.; Shensa, A.; Sidani, J.E.; Whaite, E.O.; Yi Lin, L.; Rosen, D.; Colditz, J.B.; Radovic, A.; Miller, E. Social media use and perceived social isolation among young adults in the US. Am. J. Prev. Med. 2017, 53, 1–8. [Google Scholar] [CrossRef]
- Meshi, D.; Cotten, S.R.; Bender, A.R. Problematic Social Media Use and Perceived Social Isolation in Older Adults: A Cross-Sectional Study. Gerontology. 2020, 66, 160–168. [Google Scholar] [CrossRef]
- Jiang, Y. Problematic Social Media Use and Anxiety AmongUniversity Students During the COVID-19 Pandemic:The Mediating Role of Psychological Capital and the Moderating Roleof Academic Burnout. Front. Psychol. 2021, 12, 612007. [Google Scholar] [CrossRef]
- Boursier, V.; Gioia, F.; Musetti, A.; Schimmenti, A. Facing Loneliness and Anxiety During the COVID-19 Isolation: The Role of Excessive Social Media Use in a Sample of Italian Adults. Front. Psychiatry 2020, 11, 586222. [Google Scholar] [CrossRef]
- Guo, N.; Zhao, S.Z.; Weng, X.; Wu, Y.; Luk, T.T.; Wong, J.Y.H.; Lam, T.H.; Wang, M.P. Associations of COVID-19 online information sources and information overload with psychological distress symptoms: A population-based study. Transl. Behav. Med. 2021, 11, 1330–1338. [Google Scholar] [CrossRef]
- Stainback, K.; Hearne, B.N.; Trieu, M.M. COVID-19 and the 24/7 news cycle: Does COVID-19 news exposure affect mental health? Socius 2020, 6, 2378023120969339. [Google Scholar] [CrossRef]
- Pearlin, L.I.; Bierman, A. Current issues and future directions in research into the stress process. In Handbook of the Sociology of Mental Health; Springer: Berlin/Heidelberg, Germany, 2013; pp. 325–340. [Google Scholar]
- Pearlin, L.I. The Sociological Study of Stress. J. Health Soc. Behav. 1989, 30, 241–256. [Google Scholar] [CrossRef]
- Drouin, M.; McDaniel, B.T.; Pater, J.; Toscos, T. How parents and their children used social media and technology at the beginning of the COVID-19 pandemic and associations with anxiety. Cyberpsychol. Behav. Soc. Netw. 2020, 23, 727–736. [Google Scholar] [CrossRef] [PubMed]
- Gong, R.; Zhang, Y.; Long, R.; Zhu, R.; Li, S.; Liu, X.; Wang, S.; Cai, Y. The impact of social network site addiction on depression in Chinese medical students: A serial multiple mediator model involving loneliness and unmet interpersonal needs. Int. J. Environ. Res. Public Health 2021, 18, 8614. [Google Scholar] [CrossRef]
- Wongpakaran, N.; Wongpakaran, T.; Pinyopornpanish, M.; Simcharoen, S.; Suradom, C.; Varnado, P.; Kuntawong, P. Development and validation of a 6-item Revised UCLA Loneliness Scale (RULS-6) using Rasch analysis. Br. J. Health Psychol. 2020, 25, 233–256. [Google Scholar] [CrossRef] [PubMed]
- Pekrun, R.; Goetz, T.; Titz, W.; Perry, R.P. Academic Emotions in Students’ Self-Regulated Learning and Achievement: A Program of Qualitative and Quantitative Research. Educ. Psychol. 2002, 37, 91–105. [Google Scholar] [CrossRef]
- Darcin, A.E.; Kose, S.; Noyan, C.O.; Nurmedov, S.; Yılmaz, O.T.; Dilbaz, N. Smartphone addiction and its relationship with social anxiety and loneliness. Behav. Inf. Technol. 2016, 35, 520–525. [Google Scholar] [CrossRef]
- Serra, G.; Lo Scalzo, L.; Giuffrè, M.; Ferrara, P.; Corsello, G. Smartphone use and addiction during the coronavirus disease 2019 (COVID-19) pandemic: Cohort study on 184 Italian children and adolescents. Ital. J. Pediatrics 2021, 47, 150. [Google Scholar] [CrossRef]
- Kayis, A.R.; Satici, B.; Deniz, M.E.; Satici, S.A.; Griffiths, M.D. Fear of COVID-19, loneliness, smartphone addiction, and mental wellbeing among the Turkish general population: A serial mediation model. Behav. Inf. Technol. 2021, 41, 2484–2496. [Google Scholar] [CrossRef]
- Zwilling, M. The Impact of Nomophobia, Stress, and Loneliness on Smartphone Addiction among Young Adults during and after the COVID-19 Pandemic: An Israeli Case Analysis. Sustainability 2022, 14, 3229. [Google Scholar] [CrossRef]
- Rogers, R.W.; Prentice-Dunn, S. Protection motivation theory. In Handbook of Health Behavior Research I: Personal and Social Determinants; Gochman, D.S., Ed.; Plenum Press: New York, NY, USA, 1997; pp. 113–132. [Google Scholar]
- Toda, M.; Ezoe, S.; Nishi, A.; Mukai, T.; Goto, M.; Morimoto, K. Mobile phone dependence of female students and perceived parental rearing attitudes. Soc. Behav. Personal. Int. J. 2008, 36, 765–770. [Google Scholar] [CrossRef]
- Thomée, S.; Härenstam, A.; Hagberg, M. Mobile phone use and stress, sleep disturbances, and symptoms of depression among young adults-a prospective cohort study. BMC Public Health 2011, 11, 66. [Google Scholar] [CrossRef] [PubMed]
- Hobfoll, S.E. Conservation of resources: A new attempt at conceptualizing stress. Am. Psychol. 1989, 44, 513–524. [Google Scholar] [CrossRef] [PubMed]
- Shawahna, R.; Hattab, S.; Al-Shafei, R.; Tab’ouni, M. Prevalence and factors associated with depressive and anxiety symptoms among Palestinian medical students. BMC psychiatry. 2020, 20, 244. [Google Scholar] [CrossRef] [PubMed]
- Cayo-Rojas, C.F.; Castro-Mena, M.J.; de la Caridad Agramonte-Rosell, R.; Aliaga-Mariñas, A.S.; Ladera-Castañeda, M.I.; Cervantes-Ganoza, L.A.; Cervantes-Liñán, L.C. Impact of Covid-19 mandatory social isolation on the development of anxiety in peruvian dentistry students: A logistic regression analysis. J. Int. Soc. Prev. Community Dent. 2021, 11, 222. [Google Scholar] [PubMed]
- Bradburn, N.M. The Structure of Psychological Well-Being; Aldine Publishing: Chicago, IL, USA, 1969. [Google Scholar]
- Long, J.; Liu, T.Q.; Liao, Y.H.; Qi, C.; He, H.Y.; Chen, S.B.; Billieux, J. Prevalence and correlates of problematic smartphone use in a large random sample of Chinese undergraduates. BMC Psychiatry 2016, 16, 108. [Google Scholar] [CrossRef] [PubMed]
- Elhai, J.D.; Yang, H.; Fang, J.; Bai, X.; Hall, B.J. Depression and anxiety symptoms are related to problematic smartphone use severity in Chinese young adults: Fear of missing out as a mediator. Addict. Behav. 2020, 101, 105962. [Google Scholar] [CrossRef]
- Freyhofer, S.; Ziegler, N.; De Jong, E.; Schippers, M.C. Loneliness, depression, and anxiety in times of COVID-19: How coping strategies and loneliness relate to mental health outcomes and academic performance. Front. Psychol. 2021, 12, 4745. [Google Scholar] [CrossRef]
- Cauberghe, V.; Van Wesenbeeck, I.; De Jans, S.; Hudders, L.; Ponnet, K. How adolescents use social media to cope with feelings of loneliness and anxiety during COVID-19 lockdown. Cyberpsychology Behav. Soc. Netw. 2021, 24, 250–257. [Google Scholar] [CrossRef]
- Al-Kandari, Y.Y. Religiosity, social support, and health among the elderly in Kuwait. J. Muslim Ment. Health 2011. [Google Scholar] [CrossRef]
- Ostic, D.; Qalati, S.; Barbosa, B.; Shah, S.; Galvan, V.E.; Herzallah, A.M.; Liu, F. Effects of Social Media Use on Psychological Well-Being: A Mediated Model. Front. Psychol. 2021. [Google Scholar] [CrossRef] [PubMed]
- Jeong, S.H.; Kim, H.; Yum, J.Y.; Hwang, Y. What type of content are smartphone users addicted to? SNS vs. games. Comput. Hum. Behav. 2016, 54, 10–17. [Google Scholar] [CrossRef]
- Islam, M.S.; Sujan, M.; Tasnim, R.; Mohona, R.; Ferdous, M.; Kamruzzaman, S.; Toma, T.; Sakib, M.; Pinky, K.; Islam, M.; et al. Problematic smartphone and social media use among Bangladeshi college and university students amid COVID-19: The role of psychological well-being and pandemic related factors. Front. Psychiatry 2021. [Google Scholar] [CrossRef] [PubMed]
- Tao, H.; Ying, W.; Ling, L.; Wanjie, T. The mediating role of daytime sleepiness between problematic smartphone use and post-traumatic symptoms in COVID-19 home-refined adolescents. Child. Youth Serv. Rev. 2021, 126, 106012. [Google Scholar]

| Variable | M | SD | 1 | 2 | 3 | 4 | 5 |
|---|---|---|---|---|---|---|---|
| 1. Smartphone addiction | 32.14 | 11.96 | 1 | ||||
| 2. Communicative social media use | 9.12 | 4.35 | 0.394 ** | 1 | |||
| 3. Non-communicative social media use | 9.69 | 4.18 | 0.308 ** | 0.709 ** | 1 | ||
| 4. Academic anxiety | 24.97 | 10.84 | 0.638 ** | 0.257 ** | 0.237 ** | 1 | |
| 5. Social isolation | 20.25 | 10.18 | 0.454 ** | 0.176 ** | 0.156 ** | 0.502 ** | 1 |
| Component | Extration Sums of Squared Loadings | Rotation Sums of Squared of Loadings | ||||
|---|---|---|---|---|---|---|
| Eigenvalue | % of Variance | Cumulative % | Eigenvalue | % of Variance | Cumulative % | |
| 1 | 12.18 | 36.91 | 36.91 | 5.66 | 17.16 | 17.16 |
| 2 | 3.83 | 11.60 | 48.50 | 5.03 | 15.24 | 32.40 |
| 3 | 2.87 | 8.68 | 57.19 | 4.59 | 13.90 | 46.30 |
| 4 | 2.13 | 6.45 | 63.64 | 4.08 | 12.36 | 58.66 |
| 5 | 1.52 | 4.60 | 68.24 | 2.70 | 8.19 | 66.84 |
| 6 | 1.14 | 3.46 | 71.70 | 1.60 | 4.85 | 71.70 |
| Variable | Academic Anxiety (M1) | Smartphone Addiction (M2) | ||||
|---|---|---|---|---|---|---|
| b | SE | t | b | SE | t | |
| Gender | 1.57 | 1.31 | 1.20 | 1.79 | 1.24 | 1.44 |
| Age | 0.30 | 0.47 | 0.64 | −1.43 | 0.45 | −3.18 |
| Grade | −1.09 | 0.73 | −1.48 | 2.22 | 0.70 | 3.19 |
| Major | 1.61 | 1.06 | 1.51 | −0.38 | 1.01 | −0.38 |
| Social Isolation | 0.55 ** | 0.05 | 10.80 | 0.21 ** | 0.06 | 3.80 |
| Academic Anxiety | 0.61 ** | 0.05 | 11.74 | |||
| R2 | 0.27 | 0.46 | ||||
| F | 23.94 ** | 46.94 ** | ||||
| Variable | Academic Anxiety (M3) | Smartphone Addiction (M4) | ||||
|---|---|---|---|---|---|---|
| b | SE | t | b | SE | t | |
| Gender | 0.95 | 1.28 | 0.74 | 1.00 | 1.20 | 0.83 |
| Age | 0.21 | 0.46 | 0.46 | −1.50 | 0.43 | −3.49 |
| Grade | −1.34 | 0.71 | −1.88 | 1.77 | 0.67 | 2.64 |
| Major | 1.85 | 1.03 | 1.79 | −0.04 | 0.97 | −0.04 |
| Social Isolation | 0.49 ** | 0.05 | 9.67 | 0.19 ** | 0.05 | 3.56 |
| Academic Anxiety | 0.54 ** | 0.05 | 10.57 | |||
| Non-communicative social media use | 0.47 ** | 0.12 | 4.04 | 0.64 ** | 0.11 | 5.67 |
| Social Isolation × Non-communicative social media use | 0.03 ** | 0.01 | 2.71 | 0.01 | 0.01 | 0.93 |
| R2 | 0.31 | 0.51 | ||||
| F | 21.42 ** | 42.51 ** | ||||
| Moderating Variables | Indirect Effect | BootSE | BootLLCI | BootULCI |
|---|---|---|---|---|
| Low Non-communicative social media use | 0.20 | 0.05 | 0.10 | 0.31 |
| Middle Non-communicative social media use | 0.27 | 0.04 | 0.19 | 0.35 |
| High Non-communicative social media use | 0.33 | 0.05 | 0.24 | 0.44 |
| Variable | Academic Anxiety (M5) | Smartphone Addiction (M6) | ||||
|---|---|---|---|---|---|---|
| b | SE | t | b | SE | t | |
| Gender | 1.28 | 1.29 | 0.99 | 1.62 | 1.23 | 1.32 |
| Age | 0.32 | 0.46 | 0.70 | −1.40 | 0.44 | −3.18 |
| Grade | −1.42 | 0.73 | −1.95 | 1.91 | 0.70 | 2.74 |
| Major | 1.73 | 1.05 | 1.65 | −0.19 | 1.00 | −0.19 |
| Social Isolation | 0.51 ** | 0.05 | 10.18 | 0.20 ** | 0.06 | 3.66 |
| Academic Anxiety | 0.57 ** | 0.05 | 10.98 | |||
| Communicative social media use | 0.46 ** | 0.12 | 3.72 | 0.42 ** | 0.12 | 3.50 |
| Social Isolation × Communicative social media use | 0.003 | 0.01 | 0.25 | 0.01 | 0.01 | 0.68 |
| R2 | 0.54 | 0.48 | ||||
| F | 19.69 ** | 37.92 ** | ||||
Publisher’s Note: MDPI stays neutral with regard to jurisdictional claims in published maps and institutional affiliations. |
© 2022 by the authors. Licensee MDPI, Basel, Switzerland. This article is an open access article distributed under the terms and conditions of the Creative Commons Attribution (CC BY) license (https://creativecommons.org/licenses/by/4.0/).
Share and Cite
Zeng, Y.; Zhang, J.; Wei, J.; Li, S. The Impact of Undergraduates’ Social Isolation on Smartphone Addiction: The Roles of Academic Anxiety and Social Media Use. Int. J. Environ. Res. Public Health 2022, 19, 15903. https://doi.org/10.3390/ijerph192315903
Zeng Y, Zhang J, Wei J, Li S. The Impact of Undergraduates’ Social Isolation on Smartphone Addiction: The Roles of Academic Anxiety and Social Media Use. International Journal of Environmental Research and Public Health. 2022; 19(23):15903. https://doi.org/10.3390/ijerph192315903
Chicago/Turabian StyleZeng, Youlai, Jiahui Zhang, Jiaxin Wei, and Shunyu Li. 2022. "The Impact of Undergraduates’ Social Isolation on Smartphone Addiction: The Roles of Academic Anxiety and Social Media Use" International Journal of Environmental Research and Public Health 19, no. 23: 15903. https://doi.org/10.3390/ijerph192315903
APA StyleZeng, Y., Zhang, J., Wei, J., & Li, S. (2022). The Impact of Undergraduates’ Social Isolation on Smartphone Addiction: The Roles of Academic Anxiety and Social Media Use. International Journal of Environmental Research and Public Health, 19(23), 15903. https://doi.org/10.3390/ijerph192315903

