Authority Brings Responsibility: Feedback from Experts Promotes an Overweighting of Health-Related Pseudoscientific Beliefs
Abstract
1. Introduction
2. Materials and Methods
2.1. Participants
2.2. Procedure
2.2.1. Stimuli
2.2.2. Experimental Task
2.2.3. Feedback Generation
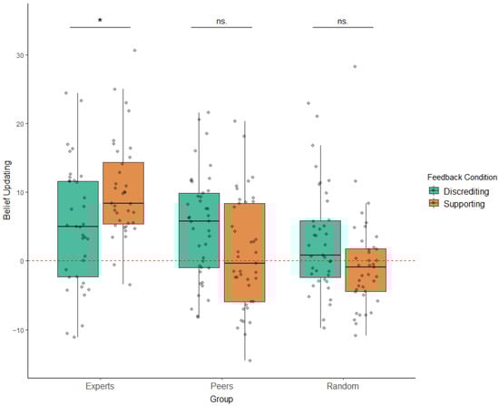
3. Results
Control Analysis
4. Discussion
5. Conclusions
Supplementary Materials
Author Contributions
Funding
Institutional Review Board Statement
Informed Consent Statement
Data Availability Statement
Conflicts of Interest
References
- Cattaneo, E.; Corbellini, G. Stem cells: Taking a stand against pseudoscience. Nature 2014, 510, 333–335. [Google Scholar] [CrossRef] [PubMed]
- Tascilar, M.; de Jong, F.A.; Verweij, J.; Mathijssen, R.H.J. Complementary and alternative medicine during cancer treatment: Beyond innocence. Oncologist 2006, 11, 732–741. [Google Scholar] [CrossRef] [PubMed]
- Hotez, P.J. Anti-science kills: From Soviet embrace of pseudoscience to accelerated attacks on US biomedicine. PLoS Biol. 2021, 19, e3001068. [Google Scholar] [CrossRef] [PubMed]
- Bensley, D.A.; Lilienfeld, S.O.; Rowan, K.A.; Masciocchi, C.M.; Grain, F. The generality of belief in unsubstantiated claims. Appl. Cogn. Psychol. 2020, 34, 16–28. [Google Scholar] [CrossRef]
- Chow, J.Y.L.; Colagiuri, B.; Rottman, B.M.; Goldwater, M.; Livesey, E.J. Pseudoscientific health beliefs and the perceived frequency of causal relationships. Int. J. Environ. Res. Public Health 2021, 18, 11196. [Google Scholar] [CrossRef]
- Torres, M.N.; Barberia, I.; Rodríguez-Ferreiro, J. Causal illusion as a cognitive basis of pseudoscientific beliefs. Br. J. Psychol. 2020, 111, 840–852. [Google Scholar] [CrossRef]
- Rodríguez-Ferreiro, J.; Barberia, I. Believers in pseudoscience present lower evidential criteria. Sci. Rep. 2021, 11, 24352. [Google Scholar] [CrossRef]
- Šrol, J. Individual differences in epistemically suspect beliefs: The role of analytic thinking and susceptibility to cognitive biases. Think Reason. 2021, 28, 1–38. [Google Scholar] [CrossRef]
- García-Arch, J.; Ballestero-Arnau, M.; Hoyas, L.P.; Giaiotti, F. Disproven but still believed: The role of information and individual differences in the prediction of topic-related pseudoscience acceptance. Appl. Cogn. Psychol. 2022, 36, 2. [Google Scholar] [CrossRef]
- Poulose, N. Fake News in Health and Medicine. In Data Science for Fake News: Surveys and Perspectives; Springer International Publishing: Cham, Switzerland, 2021; pp. 193–204. [Google Scholar] [CrossRef]
- Walker, B.F.; Armson, A.; Hodgetts, C.; Jacques, A.; Chin, F.E.; Kow, G.; Lee, H.J.; Wong, M.K.; Wright, A. Knowledge, attitude, influences and use of complementary and alternative medicine (CAM) among chiropractic and nursing students. Chiropr. Man Therap. 2017, 25, 29. [Google Scholar] [CrossRef]
- Pérez, R.P.; Cuadros, E.N.; García, L.C.; López, I.D.; Fernández, R.E.; Gil Lemus, M.; Blanco, S.M.; Marrodán, B.R.; Calvo, C. Resultados de una encuesta nacional sobre conocimiento y uso de pseudociencias por parte de los pediatras. An Pediatr. (Engl. Ed.) 2022, 96, 25–34. [Google Scholar] [CrossRef] [PubMed]
- Posadzki, P.; Watson, L.K.; Alotaibi, A.; Ernst, E. Prevalence of use of complementary and alternative medicine (CAM) by patients/consumers in the UK: Systematic review of surveys. Clin. Med. 2013, 13, 126–131. [Google Scholar] [CrossRef] [PubMed]
- Winslow, L.C.; Shapiro, H. Physicians want education about complementary and alternative medicine to enhance communication with their patients. Arch. Intern. Med. 2002, 162, 1176–1181. [Google Scholar] [CrossRef] [PubMed]
- Mccullough, L.B. Moral Authority, Power, and Trust in Clinical Ethics. 1999. Available online: http://jmp.oxfordjournals.org/ (accessed on 24 May 2022).
- Bartoš, V.; Bauer, M.; Cahlíková, J.; Chytilová, J. Communicating doctors’ consensus persistently increases COVID-19 vaccinations. Nature 2022, 606, 542–549. [Google Scholar] [CrossRef] [PubMed]
- Caulfield, T. Pseudoscience and COVID-19—We’ve Had Enough Already. Nature, 2021; Online ahead of print. Available online: https://www.nature.com/articles/d41586-020-01266-z (accessed on 5 February 2022).
- Sharevski, F.; Alsaadi, R.; Jachim, P.; Pieroni, E. Misinformation warnings: Twitter’s soft moderation effects on COVID-19 vaccine belief echoes. Comput. Secur. 2022, 114, 102577. [Google Scholar] [CrossRef]
- Bromberg-Martin, E.S.; Sharot, T. The Value of Beliefs. Neuron 2020, 106, 561–565. [Google Scholar] [CrossRef]
- Sharot, T.; Sunstein, C.R. How people decide what they want to know. Nat. Hum. Behav. 2020, 4, 14–19. [Google Scholar] [CrossRef]
- Evans, M.; Shaw, A.; Thompson, E.A.; Falk, S.; Turton, P.; Thompson, T.; Sharp, D. Decisions to use complementary and alternative medicine (CAM) by male cancer patients: Information-seeking roles and types of evidence used. BMC Complement. Altern. Med. 2007, 7, 1–13. [Google Scholar] [CrossRef]
- Truant, T.L.; Porcino, A.J.; Ross, B.C.; Wong, M.E.; Hilario, C.T. Complementary and alternative medicine (CAM) use in advanced cancer: A systematic review. J. Support. Oncol. 2013, 11, 105–113. [Google Scholar] [CrossRef]
- Vidal, M.; Carvalho, C.; Bispo, R. Use of Complementary and Alternative Medicine in a Sample of Women With Breast Cancer. SAGE Open 2013, 3, 215824401350249. [Google Scholar] [CrossRef]
- Galbraith, N.; Moss, T.; Galbraith, V.; Purewal, S. A systematic review of the traits and cognitions associated with use of and belief in complementary and alternative medicine (CAM). Psychol. Health Med. 2018, 23, 854–869. [Google Scholar] [CrossRef] [PubMed]
- Verhoef, M.J.; Balneaves, L.G.; Boon, H.S.; Vroegindewey, A. Reasons for and characteristics associated with complementary and alternative medicine use among adult cancer patients: A systematic review. Integr. Cancer Ther. 2005, 4, 274–286. [Google Scholar] [CrossRef]
- Sharot, T.; Garrett, N. Forming Beliefs: Why Valence Matters. Trends Cogn. Sci. 2016, 20, 25–33. [Google Scholar] [CrossRef] [PubMed]
- Klein, C.T.F.; Helweg-Larsen, M. Perceived Control and the Optimistic Bias: A Meta-Analytic Review. Psychol. Heal. 2010, 17, 437–446. [Google Scholar] [CrossRef]
- Moutsiana, C.; Garrett, N.; Clarke, R.C.; Lotto, R.B.; Blakemore, S.J.; Sharot, T. Human development of the ability to learn from bad news. Proc. Natl. Acad. Sci. USA 2013, 110, 16396–16401. [Google Scholar] [CrossRef]
- Sharot, T.; Kanai, R.; Marston, D.; Korn, C.W.; Rees, G.; Dolan, R.J. Selectively altering belief formation in the human brain. Proc. Natl. Acad. Sci. USA 2012, 109, 17058–17062. [Google Scholar] [CrossRef]
- Singh, H.; Maskarinec, G.; Shumay, D.M. Understanding the motivation for conventional and complementary/alternative medicine use among men with prostate cancer. Integr. Cancer Ther. 2005, 4, 187–194. [Google Scholar] [CrossRef]
- Shih, V.; Chiang, J.Y.L.; Chan, A. Complementary and alternative medicine (CAM) usage in Singaporean adult cancer patients. Ann. Oncol. 2009, 20, 752–757. [Google Scholar] [CrossRef]
- Erdfelder, E.; Aul, F.F.; Buchner, A.; Lang, A.G. Statistical power analyses using G*Power 3.1: Tests for correlation and regression analyses. Behav. Res. Methods 2009, 41, 1149–1160. [Google Scholar] [CrossRef]
- Kappes, A.; Sharot, T. The automatic nature of motivated belief updating. Behav. Public Policy 2019, 3, 87–103. [Google Scholar] [CrossRef]
- Sanz, J.; Luis, A.; Carmelo, P.; Resumen, V. CLÍNICA Y SALUD 249 ARTÍCULOS Adaptación española del Inventario para la Depresión de Beck-II (BDI-II): 2. Propiedades psicométricas en población general The spanish adaptation of Beck’s Depression Inventory-II (BDI-II): 2. Psychometric properties in the general population. Clín. Salud. 2003, 14, 249–280. [Google Scholar]
- Fasce, A.; Picó, A. Conceptual foundations and validation of the Pseudoscientific Belief Scale. Appl. Cogn. Psychol. 2019, 33, 617–628. [Google Scholar] [CrossRef]
- W, C.; Prehn, K.; Park, S.Q.; Walter, H.; Heekeren, H.R. Positively biased processing of self-relevant social feedback. J. Neurosci. 2012, 32, 16832–16844. [Google Scholar] [CrossRef]
- Eil, D.; Rao, J.M. The Good News-Bad News Effect: Asymmetric Processing of Objective Information about Yourself. Am. Econ. J. Microecon. 2010, 3, 114–138. [Google Scholar] [CrossRef]
- Kelly, C.A.; Sharot, T. Individual differences in information-seeking. Nat. Commun. 2021, 12, 1–13. [Google Scholar] [CrossRef]
- Pescosolido, B.A.; Tuch, S.A.; Martin, J.K. The profession of Medicine and the public: Examining Americans’ changing confidence in physician authority from the beginning of the ’health care crisis’ to the era of Health Care Reform. J. Health Soc. Behav. 2001, 42, 1. [Google Scholar] [CrossRef]
- Zheng, H. Losing confidence in medicine in an era of medical expansion? Soc. Sci. Res. 2015, 52, 701–715. [Google Scholar] [CrossRef]
- Wang, Y.; McKee, M.; Torbica, A.; Stuckler, D. Systematic literature review on the spread of health-related misinformation on social media. Soc. Sci. Med. 2019, 240, 112552. [Google Scholar] [CrossRef]
- Armstrong, P.W.; Naylor, C.D. Counteracting health misinformation. JAMA 2019, 321, 1863. [Google Scholar] [CrossRef]
- Koontalay, A.; Suksatan, W.; Prabsangob, K.; Sadang, J.M. Healthcare Workers’ burdens during the COVID-19 pandemic: A qualitative systematic review. J. Multidiscip. Healthc. 2021, 14, 3015–3025. [Google Scholar] [CrossRef]
- Ferigato, S.; Fernandez, M.; Amorim, M.; Ambrogi, I.; Fernandes, L.M.M.; Pacheco, R. The Brazilian Government’s mistakes in responding to the COVID-19 pandemic. Lancet 2020, 396, 1636. [Google Scholar] [CrossRef]
- Norhayati, M.N.; Che Yusof, R.; Azman, M.Y. Prevalence of Psychological Impacts on Healthcare Providers during COVID-19 Pandemic in Asia. Int. J. Environ. Res. Public Health 2021, 18, 9157. [Google Scholar] [CrossRef] [PubMed]
- Datta, R.; Yadav, A.K.; Singh, A.; Datta, K.; Bansal, A. The infodemics of covid-19 amongst healthcare professionals in India. Med. J. Armed Forces India 2020, 76, 276–283. [Google Scholar] [CrossRef] [PubMed]
- Focosi, D.; Navarro, D.; Maggi, F.; Roilides, E.; Antonelli, G. COVID-19 infodemics: The role of mainstream and social media. Clin. Microbiol. Infect. 2021, 27, 1568–1569. [Google Scholar] [CrossRef] [PubMed]
- Wilson, J.A. Reducing Pseudoscientific and Paranormal Beliefs in University Students Through a Course in Science and Critical Thinking. Sci. Educ. 2018, 27, 183–210. [Google Scholar] [CrossRef]


Publisher’s Note: MDPI stays neutral with regard to jurisdictional claims in published maps and institutional affiliations. |
© 2022 by the authors. Licensee MDPI, Basel, Switzerland. This article is an open access article distributed under the terms and conditions of the Creative Commons Attribution (CC BY) license (https://creativecommons.org/licenses/by/4.0/).
Share and Cite
Garcia-Arch, J.; Barberia, I.; Rodríguez-Ferreiro, J.; Fuentemilla, L. Authority Brings Responsibility: Feedback from Experts Promotes an Overweighting of Health-Related Pseudoscientific Beliefs. Int. J. Environ. Res. Public Health 2022, 19, 15154. https://doi.org/10.3390/ijerph192215154
Garcia-Arch J, Barberia I, Rodríguez-Ferreiro J, Fuentemilla L. Authority Brings Responsibility: Feedback from Experts Promotes an Overweighting of Health-Related Pseudoscientific Beliefs. International Journal of Environmental Research and Public Health. 2022; 19(22):15154. https://doi.org/10.3390/ijerph192215154
Chicago/Turabian StyleGarcia-Arch, Josue, Itxaso Barberia, Javier Rodríguez-Ferreiro, and Lluís Fuentemilla. 2022. "Authority Brings Responsibility: Feedback from Experts Promotes an Overweighting of Health-Related Pseudoscientific Beliefs" International Journal of Environmental Research and Public Health 19, no. 22: 15154. https://doi.org/10.3390/ijerph192215154
APA StyleGarcia-Arch, J., Barberia, I., Rodríguez-Ferreiro, J., & Fuentemilla, L. (2022). Authority Brings Responsibility: Feedback from Experts Promotes an Overweighting of Health-Related Pseudoscientific Beliefs. International Journal of Environmental Research and Public Health, 19(22), 15154. https://doi.org/10.3390/ijerph192215154

