Nitrate Quantification in Fresh Vegetables in Shanghai: Its Dietary Risks and Preventive Measures
Abstract
1. Introduction
2. Materials and Methods
2.1. Collection of Vegetable Samples
2.2. Field Experiment
2.3. Laboratory Tests of the Impact of Processing and Storage Conditions
2.4. Chemical Analysis of Nitrate and Nitrite in Vegetables
2.5. Standards for Nitrate and Nitrite Contents in Vegetables
2.6. Statistical Analysis
3. Results and Discussion
3.1. Contents of Nitrate and Nitrite in the Fresh Vegetables in Shanghai
3.2. Daily Exposure to Nitrate from Fresh Vegetables
3.3. Effects of the Different Fertilizations on the Contents of Nitrate and Nitrite in the Vegetables
3.4. Difference in Nitrate Content in the Different Tissues of Vegetables
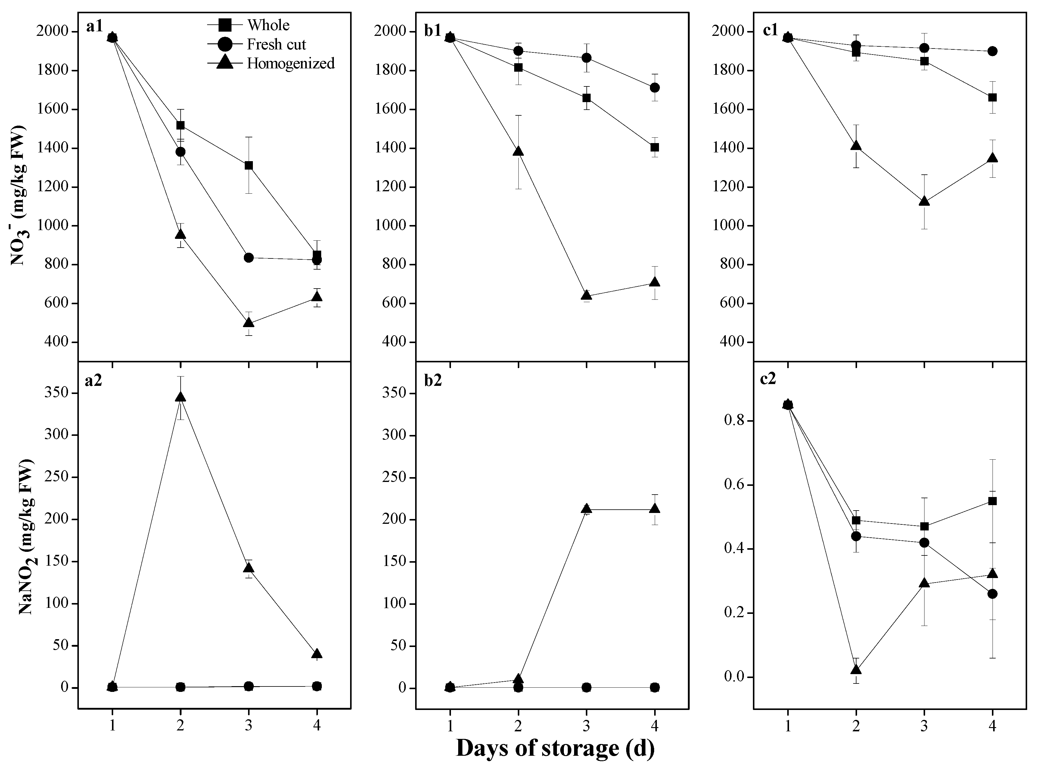
3.5. Variation of Nitrate and Nitrite Contents in Fresh Vegetables during Storage
3.6. Prevention of Nitrate Exposure Risk through Vegetable Intake
4. Conclusions
Author Contributions
Funding
Institutional Review Board Statement
Informed Consent Statement
Data Availability Statement
Conflicts of Interest
References
- Wang, D.Y.; Guo, L.P.; Zheng, L.; Yang, R.; Li, M.; Ma, F. Effects of nitrogen fertilizer and water management practices on nitrogen leaching from a typical open field used for vegetable planting in northern China. Agric. Water Manag. 2019, 213, 913–921. [Google Scholar] [CrossRef]
- Morra, L.; Bilotto, M.; Baldantoni, D.; Alfani, A.; Baiano, S. A seven-year experiment in a vegetable crops sequence: Effects of replacing mineral fertilizers with Biowaste compost on crop productivity, soil organic carbon and nitrates concentrations. Sci. Hortic. 2021, 290, 110534. [Google Scholar] [CrossRef]
- Bahadoran, Z.; Mirmiran, P.; Jeddi, S.; Azizi, F.; Ghasemi, A.; Hadaegh, F. Nitrate and nitrite content of vegetables, fruits, grains, legumes, dairy products, meats and processed meats. J. Food Compos. Anal. 2016, 51, 93–105. [Google Scholar] [CrossRef]
- Meane, L. Momentum must be maintained. AIChE J. 2012, 59, 604–612. [Google Scholar]
- Yang, X.L.; Tong, Y.A.; Lu, Y.L.; Ma, H.Y. Research advances in the calculating method of nitrogen use efficiency (NUE) in cultivated lands. Chin. J. Appl. Ecol. 2015, 26, 2203–2212. [Google Scholar]
- Zhang, J.J.; He, P.; Ding, W.C.; Ullah, S.; Abbas, T.; Li, M.Y. Identifying the critical nitrogen fertilizer rate for optimum yield and minimum nitrate leaching in a typical field radish cropping system in China. Environ. Pollut. 2021, 268, 115004. [Google Scholar] [CrossRef] [PubMed]
- Chang, A.C.; Yang, T.Y.; Riskowski, G.L. Changes in nitrate and nitrite concentrations over 24 h for sweet basil and scallions. Food Chem. 2013, 136, 955–960. [Google Scholar] [CrossRef]
- Kyriacoua, M.C.; Soterioua, G.A.; Collab, G.; Rouphae, Y. The occurrence of nitrate and nitrite in Mediterranean fresh salad vegetables and its modulation by preharvest practices and postharvest conditions. Food Chem. 2019, 285, 468–477. [Google Scholar] [CrossRef]
- Velzen, A.G.V.; Sips, A.J.A.M.; Schothorst, R.C.; Lambers, A.C.; Meulenbelt, J. The oral bioavailability of nitrate from nitrate-rich vegetables in humans. Toxicol. Lett. 2008, 181, 177–181. [Google Scholar] [CrossRef]
- Ding, Z.S.; Johanningsmeier, S.D.; Price, R.; Reynolds, R.; Truong, V.D.; Payton, S.C. Evaluation of nitrate and nitrite contents in pickled fruit and vegetable products. Food Control 2018, 90, 304–311. [Google Scholar] [CrossRef]
- Mensinga, T.T.; Speijers, G.J.; Meulenbelt, J. Health implications of exposure to environmental nitrogenous compounds. Toxicol. Rev. 2003, 22, 41–51. [Google Scholar] [CrossRef] [PubMed]
- Vlachou, C.; Hofstädter, D.; Rauscher-Gabernig, E.; Griesbacher, A.; Knig, J. Risk assessment of nitrites for the Austrian adult population with probabilistic modelling of the dietary exposure. Food Chem. Toxicol. 2020, 143, 111480. [Google Scholar] [CrossRef] [PubMed]
- Kina-Tanada, M.; Sakanashi, M.; Tanimoto, A.; Kaname, T.; Matsuzaki, T.; Noguchi, K. Long-term dietary nitrite and nitrate deficiency causes the metabolic syndrome, endothelial dysfunction and cardiovascular death in mice. Diabetologia 2017, 60, 1138–1151. [Google Scholar] [CrossRef]
- Gorenjak, A.H.; Cencic, A. Nitrate in vegetables and their impact on human health: A review. Acta Aliment. 2013, 42, 158–172. [Google Scholar] [CrossRef]
- Walton, G. Survey of literature relating to infant methemoglobinemia due to nitrate-contaminated water. Am. J. Public Health 1951, 41, 986–996. [Google Scholar] [CrossRef] [PubMed]
- Vlachou, C.; Hofstädter, D.; Rauscher-Gabernig, E.; Griesbacher, A.; Knig, J. Probabilistic risk assessment of nitrates for Austrian adults and estimation of the magnitude of their conversion into nitrites. Food Chem. Toxicol. 2020, 145, 111719. [Google Scholar] [CrossRef]
- Hou, F.L. Plant Physiology Experiment Guidance; Science Press: Beijing, China, 2010; pp. 57–58. (In Chinese) [Google Scholar]
- GB/T5009.33-2016; National Food Safety Standard Determination of Nitrite and Nitrate in Foods. Ministry of Health of the China: Beijing, China, 2016. (In Chinese)
- GB 18406.1-2001; Safety Qualification for Agricultural Product-Safty Requirements for Non-Environmental Pollution Vegetable. State Administration of Quality Supervision, Inspection and Quarantine: Beijing, China, 2001. (In Chinese)
- GB 2762-2005; Limitation for Contaminants in Food. Ministry of Health of the China: Beijing, China, 2005. (In Chinese)
- Shen, M.Z.; Zhai, B.J.; Dong, H.R.; Li, J.R. Studies on nitrate accumulation in vegetable crops. I. Evaluation of nitrate and nitrite in different vegetables. Acta Hortic. Sin. 1982, 9, 41–48. (In Chinese) [Google Scholar]
- Zhong, L.; Blekkenhorst, L.C.; Bondonno, N.P.; Sim, M.; Woodman, R.J.; Croft, K.D.; Lewis, J.R.; Hodgson, J.M.; Bondonno, C.P. A food composition database for assessing nitrate intake from plant-based foods. Food Chem. 2022, 394, 133411. [Google Scholar] [CrossRef]
- Hord, N.G.; Tang, Y.P.; Bryan, N.S. Food sources of nitrates and nitrites: The physiologic context for potential health benefits. Am. J. Clin. Nutr. 2009, 90, 1–10. [Google Scholar] [CrossRef]
- Rouphael, Y.; Kyriacou, M.C.; Vitaglione, P.; Giordano, P.; Pascale, S.D. Genotypic variation in nutritional and antioxidant profile among iceberg lettuce cultivars. Acta Sci. Pol. Hortorum Cultus 2017, 16, 37–45. [Google Scholar] [CrossRef]
- Alexander, J.; Benford, D.; Cockburn, A. Nitrate in vegetables: Scientific opinion of the panel on contaminants in the food chain. EFSA J. 2008, 689, 1–79. [Google Scholar]
- Zou, S.R.; Shi, A.Z.; Gao, W.W.; Mi, M.; Cheng, M.N.; Jiang, P.Z. The changing trend of the dietary patterns in Shanghai residents. Shanghai J. Prev. Med. 2006, 7, 311–318. [Google Scholar]
- WHO/FAO. Diet, Nutrition and the Prevention of Chronic Diseases. Report of the Joint WHO/FAO Expert Consultation; Technical Report Series 916; World Health Organization: Geneva, Switzerland, 2003. [Google Scholar]
- EFSA. Opinion of the scientific panel on contaminants in food chain on a request from the European Commission to perform a scientific risk assessment on nitrate in vegetables. EFSA J. 2008, 689, 1–79. [Google Scholar]
- Feng, J.; Shi, Z.X.; Wu, Y.N.; Zhao, Y.F. Assessment of nitrate exposure in Beijing residents via consumption of vegetables. Chin. J. Food Hyg. 2006, 18, 514–516. [Google Scholar]
- Zhong, W.; Hu, C.; Wang, M. Nitrate and nitrite in vegetables from north China: Content and intake. Food Addit. Contam. 2002, 19, 1125–1129. [Google Scholar] [CrossRef] [PubMed]
- Ysart, G.; Miller, P.; Barrett, G.; Farrington, D.; Lawrance, P.; Harrison, N. Dietary exposures to nitrate in the UK. Food Addit. Contam. 1999, 16, 521–532. [Google Scholar] [CrossRef]
- Thomson, B. Nitrates and Nitrites Dietary Exposure and Risk Assessment: Prepared as Part of a New Zealand Food Safety Authority Contract for Scientific Services; Christchurch Science Centre: Institute of Environmental Science & Research Limited: Porirua, New Zealand, 2004. Available online: http://www.nzfsa.govt.nz/consumers/food-safetytopics/chemicals-in-food/residues-infood/consumerresearch/nitrite-nitrate-report.pdf (accessed on 1 July 2022).
- Menard, C.; Volatier, H.J.L.; Leblanc, J.C. Assessment of dietary exposure of nitrate and nitrite in France. Food Addit. Contam. 2008, 25, 971–988. [Google Scholar] [CrossRef]
- Chung, S.Y.; Kim, J.S.; Kim, M.; Hong, M.K.; Lee, J.O.; Kim, C.M.; Song, I.S. Survey of nitrate and nitrite contents of vegetables grown in Korea. Food Addit. Contam. 2003, 20, 621–628. [Google Scholar] [CrossRef]
- Farouk, M.G.; El-Sawah, N.A.; Belal, H.E.E.; Majrashi, A.; El-Tahan, A.M.; El-Saadony, M.T.; Elrys, A.S.; El-Saadony, F.M.A. Nitrogen-molybdenum-manganese co-fertilization reduces nitrate accumulation and enhances spinach (Spinacia oleracea L.) yield and its quality. Saudi J. Biol. Sci. 2022, 29, 2238–2246. [Google Scholar]
- Kiani, A.; Sharafi, K.; Omer, A.K.; Matin, B.K.; Davoodi, R.; Mansouri, B.; Sharafi, H.; Soleimani, H.; Massahi, T.; Ahmadi, E. Accumulation and human health risk assessment of nitrate in vegetables irrigated with different irrigation water sources- transfer evaluation of nitrate from soil to vegetables. Environ. Res. 2022, 205, 112527. [Google Scholar] [CrossRef]
- Herencia, J.F.; García-Galavís, P.A.; Dorado, J.A.R.; Maqueda, C. Comparison of nutritional quality of the crops grown in an organic and conventional fertilized soil. Sci. Hortic. 2011, 129, 882–888. [Google Scholar] [CrossRef]
- Dangour, A.D.; Dodhia, S.K.; Hayter, A.; Allen, E. Nutritional quality of organic foods: A systematic review. Am. J. Clin. Nutr. 2009, 90, 680–685. [Google Scholar] [CrossRef] [PubMed]
- Ezeagu, I.E. Nitrate and nitrite contents in Spanish and the changes occurring during storage. Food Chem. 1996, 56, 77–79. [Google Scholar] [CrossRef]
- Koukounaras, A.; Siomos, A.S.; Sfakiotakis, E. Postharvest CO2 and ethylene production and quality of rocket leaves as affected by leaf age and storage temperature. Postharvest Biol. Technol. 2007, 46, 167–173. [Google Scholar] [CrossRef]
- Santamaria, P.; Elia, A.; Serio, F.; Todaro, E. A survey of nitrate and oxalate content in fresh vegetables. J. Sci. Food Agric. 1999, 79, 1882–1888. [Google Scholar] [CrossRef]
- Mu, Y.; Feng, Y.; We, L.; Li, C.; Zhu, T. Combined effects of ultrasound and aqueous chlorine dioxide treatments on nitrate content during storage and postharvest storage quality of spinach (Spinacia oleracea L.). Food Chem. 2020, 333, 127500. [Google Scholar] [CrossRef] [PubMed]
- Breimer, T. Environmental factors and cultural measures affecting the nitrate content in spinach. Fertil. Res. 1982, 3, 191–292. [Google Scholar] [CrossRef]
- Chung, J.C.; Chou, S.S.; Hwang, D.F. Changes in nitrate and nitrite content of four vegetables during storage at refrigerated and ambient temperatures. Food Addit. Contam. 2004, 21, 317–322. [Google Scholar] [CrossRef]
- Kim, S.J.; Ishii, G. Effect of storage temperature and duration on glucosinolate, total vitamin C and nitrate contents in rocket salad (Eruca sativa Mill.). J. Sci. Food Agric. 2007, 87, 966–973. [Google Scholar] [CrossRef]
- Tamme, T.; Reinik, M.; Roasto, M.; Meremae, K. Nitrate in leafy vegetables, culinary herbs, and cucumber grown under cover in Estonia: Content and intake. Food Addit. Contam. 2010, 3, 108–113. [Google Scholar] [CrossRef] [PubMed]
- Erkekoglu, P.; Sipahi, H.; Baydar, T. Evaluation of nitrite in ready-made soups. Food Anal. Methods 2009, 2, 61–65. [Google Scholar] [CrossRef]
- Zhou, Z.Y.; Wang, M.J.; Wang, J.S. Nitrate and nitrite contamination in vegetables in China. Food Rev. Int. 2000, 16, 61–76. [Google Scholar] [CrossRef]
- Tamme, T.; Reinik, M.; Roasto, M.; Juhkam, K.; Tenno, T.; Kiis, A. Nitrates and nitrites in vegetables and vegetable-based products and their intakes by the Estonian population. Food Addit. Contam. 2006, 23, 355–361. [Google Scholar] [CrossRef] [PubMed]
- Tamme, T.; Reinik, M.; Puessa, T. Dynamics of nitrate and nitrite content during storage of home-made and small-scale industrially produced raw vegetable juices and their dietary intake. Food Addit. Contam. 2010, 27, 487–495. [Google Scholar] [CrossRef]
- Nuñez de González, M.T.; Osburn, W.N.; Hardin, M.D.; Longnecker, M.; Garg, H.K.; Bryan, N.S.; Keeton, J.T. A survey of nitrate and nitrite concentrations in conventional and organic-labeled raw vegetables at retail. J. Food Sci. 2015, 80, C942–C949. [Google Scholar] [CrossRef]
- Jana, J.C.; Moktan, P. Nitrate concentration of leafy vegetables: A survey of nitrite concentrations in retail fresh leafy vegetables from daily markets of different locations. ISABB J. Food Agric. Sci. 2013, 3, 1–5. [Google Scholar]
- Susin, J.; Kmcel, V.; Gregorcic, A. A survey of nitrate and nitrite content of fruit and vegetables grown in Slovenia during 1996–2002. Food Addit. Contam. 2006, 23, 385–390. [Google Scholar] [CrossRef]
- Guadagnin, S.G.; Rath, S.; Reyes, F.G.R. Evaluation of the nitrate content in leaf vegetables produced through different agricultural systems. Food Addit. Contam. 2005, 22, 1203–1208. [Google Scholar] [CrossRef]
- Temme, E.H.M.; van Devijvere, S.; Vinkx, C.; Huybrechts, I.; Goeyens, L.; Oyen, H.V. Average daily nitrate and nitrite intake in the Belgian population older than 15 years. Food Addit. Contam. 2011, 28, 1193–1204. [Google Scholar] [CrossRef]



| Treatments | Amounts of Fertilizer Application Amounts | Total N | Total P | Total K |
|---|---|---|---|---|
| (kg/ha) | (kg/ha) | (kg/ha) | (kg/ha) | |
| CF1 | 900 | 135 | 58.94 | 112.02 |
| CF2 | 1800 | 270 | 117.88 | 224.04 |
| CF3 | 2700 | 405 | 176.82 | 336.06 |
| CM1 | 2250 | 135 | 45.90 | 22.95 |
| CM2 | 4500 | 270 | 91.80 | 45.90 |
| CK | 0 | 0 | 0 | 0 |
| Levels | NO3− (mg/kg FW) | Contamination Degree | Dietary Limits |
|---|---|---|---|
| I | ≤432 | Slightly contaminated | Can be eaten raw |
| II | 432–785 | Moderately contaminated | Cannot be eaten raw, but can be pickled and cooked |
| III | 785–1440 | Heavily contaminated | Cannot be eaten raw or pickled, but can be cooked |
| IV | 1440–3100 | Critically contaminated | Cannot be eaten raw, pickled, or cooked, but is not poisonous |
| Levels | NO3− (mg/kg FW) | Total Vegetables (%) | Leaf Vegetables (%) | Root-Tuber Vegetables (%) | Fruit Vegetables (%) |
|---|---|---|---|---|---|
| I | ≤432 | 48.5 | 19.0 | 56.8 | 90.0 |
| II | 432–785 | 12.9 | 13.5 | 12.5 | 10.0 |
| III | 785–1440 | 13.6 | 21.4 | 10.2 | 0 |
| IV | 1440–3100 | 14.8 | 24.6 | 9.1 | 0 |
| Vegetable Category | Name | Sample Number | Nitrate (mg/kg FW) | CV (%) | |
|---|---|---|---|---|---|
| Mean | Range | ||||
| Leaf vegetables | Lettuce (var. ramosa Hort.) | 8 | 255.9 | 105.7–497 | 51.9 |
| Chives stem (A. tuberosum Rottl. ex Spreng.) | 6 | 619.5 | 409.3–876.2 | 27.1 | |
| Chives (A. tuberosum Rottl. ex Spreng.) | 8 | 1055.3 | 620.8–1908.5 | 44.5 | |
| Chinese cabbage (Brassica pekinensis Rupr.) | 9 | 1135.3 | 275.3–2176.8 | 43.6 | |
| Chinese kale (Brassica alboglabra L. H. Bailey) | 6 | 1142.5 | 988.1–1507.3 | 16.7 | |
| Water Spinach (Ipomoea aquatica Forssk.) | 14 | 1196.1 | 139.5–3835.2 | 80.4 | |
| Green amaranth (Amaranthus tricolor L.) | 11 | 2825.5 | 1055.3–5590.6 | 51.1 | |
| Celery (Apium graveolens L.) | 26 | 1291.4 | 53.7–3769.5 | 86.5 | |
| Spinach (Spinacia oleracea L.) | 8 | 2098.5 | 374–4769.4 | 77.3 | |
| Shanghaipakchoi cabbage (Brassica chinensis L.) | 15 | 2891.5 | 428.8–5511.4 | 41.9 | |
| Red amaranth (Amaranthus tricolor L.) | 15 | 3348.7 | 280.1–5021.3 | 37.7 | |
| Root-tuber vegetables | Asparagus (Asparagus Officinalis L.) | 6 | 686.6 | 124.8–1712.2 | 78.5 |
| Cauliflower (Brassica oleracea L. var. botrytis L.) | 6 | 1594.0 | 556.1–2579.8 | 45.4 | |
| Carrot (Daucus carota var. sativus Hoffm.) | 8 | 236.2 | 101.8–516.6 | 50 | |
| Radish (Raphanus sativus) | 8 | 475.0 | 202.7–904.1 | 40 | |
| White turnip (Raphanus sativus) | 8 | 1598.1 | 999.2–2173.0 | 36.4 | |
| Potato (Solanum tuberosum) | 10 | 156.3 | 40.3–436.9 | 70 | |
| Taro (Colocasia esculenta (L.) Schott) | 6 | 161.5 | 34.5–285.7 | 60 | |
| Purple potato (Solanum tuberdsm) | 6 | 284.9 | 128.5–594 | 48.9 | |
| Chinese yam (Dioscoreae Rhizoma) | 6 | 504.1 | 230.9–1245.3 | 55.9 | |
| Lotus root (Nelumbo nucifera Gaertn) | 8 | 162.9 | 57.8–282.1 | 40 | |
| Zizanialatifolia (Zizania aquatica) | 6 | 181.8 | 149.5–227 | 10 | |
| Fruit vegetables | Cucumber (Cucumis sativus L.) | 8 | 104.7 | 15.3–190.7 | 55.6 |
| Tomato (Solanum lycopersicum) | 10 | 105.4 | 15.35–287.2 | 64.6 | |
| Chilli (Capsicum annuum L.) | 6 | 316.3 | 211.8–428.5 | 33.6 | |
| Eggplant (Solanum melongena L.) | 8 | 142.2 | 57.0–331.5 | 43.1 | |
| Bitter gourd (Momordica charantia L.) | 8 | 40.1 | 15.3–85.7 | 59.4 | |
| Watermelon (Citrullus lanatus (Thunb.) Matsum. et Nakai) | 6 | 248.5 | 157.3–401.2 | 30 | |
| Muskmelon (Cucumis melo) | 6 | 299.6 | 31.5–692.3 | 70 | |
| Wax gourd (Benincasa hispida (Thunb.) Cogn.) | 8 | 502.6 | 316.9–667.0 | 20 | |
| Type of Vegetables | Mean Consumption (g day−1) | Percentage (%) | Daily Intake of Nitrate (mg) | %ADI |
|---|---|---|---|---|
| Leaf vegetables | 151.1 | 36.15 | 267.51 | 120 |
| Root-tuber vegetables | 158.8 | 37.99 | 85.14 | 38 |
| Fruit vegetables | 108.1 | 25.86 | 51.48 | 23 |
| Total vegetables | 418 | 100 | 404.13 | 182 |
| Country/Region | Daily Intake of Nitrate per Person (mg) | %ADI |
|---|---|---|
| Beijing, China [29] | 330.0 | 149 |
| France [31] | 90.0 | 41 |
| Korea [34] | 102.0 | 46 |
| New Zealand [32] | 31.8 | 14 |
| United Kingdom [33] | 96.0 | 43 |
| North China [30] | 420.0 | 189 |
| Shanghai, China | 404.1 | 182 |
| Name | Parts | Sample Number | Nitrate (mg/kg FW) | Nitrite (mg/kg FW) |
|---|---|---|---|---|
| Shanghai pakchoi cabbage (Brassica chinensis L.) | Old leaves | 12 | 6148.8 ± 92.4 | 9.22 ± 1.6 |
| Young leaves | 12 | 1480.5 ± 54.5 | 1.43 ± 0.4 | |
| Blades of leaves | 12 | 1697.2 ± 35.1 | 6.61 ± 1.3 | |
| Petioles of leaves | 12 | 4451.6 ± 57.3 | 2.61 ± 0.3 | |
| Chinese cabbage (Brassica pekinensis Rupr.) | Old leaves | 12 | 1030.5 ± 34.5 | 3.17 ± 0.3 |
| Young leaves | 12 | 267.5 ± 17.1 | <1 | |
| Blades of leaves | 12 | 218.1 ± 11.4 | <1 | |
| Petioles of leaves | 12 | 812.4 ± 23.1 | 3.28 ± 0.3 |
| Vegetables | Nitrate (mg kg−1 FW) | References | |
|---|---|---|---|
| Min–Max | Mean | ||
| Leaf vegetables | |||
| Chinese cabbage | 429–1610 | 1300 | [48] |
| 337–3600 | 2120 | [30] | |
| 208–5490 | 2009 | [34] | |
| 232–2236 | 1243 | [49] | |
| 77–1928 | 933 | [28] | |
| 340–2236 | 1344 | [50] | |
| 137–1831 | 418 | [51] | |
| Spinach | 340–3650 | 2090 | [50] |
| 65–8000 | 2797 | [51] | |
| Red amaranth | 1180 | [30] | |
| 439–3484 | 2167 | [28] | |
| 691–2626 | 1399 | [52] | |
| Lettuce | 397–3230 | 2167 | [49] |
| 21–3986 | 1074 | [53] | |
| 677–2179 | 1303 | [54] | |
| Chives | 863–9323 | 1020 | [34] |
| Celery | 446–10,800 | 3600 | [30] |
| 256–830 | 565 | [49] | |
| 18–3319 | 1103 | [28] | |
| 256–1113 | 660 | [50] | |
| 2110 | [55] | ||
| 20–4296 | 1496 | [51] | |
| Root-tuber vegetables | |||
| Carrot | 7–1042 | 264 | [53] |
| 21–1574 | 296 | [28] | |
| 503 | [3] | ||
| Potato | 2–704 | 158 | [53] |
| 10–340 | 168 | [28] | |
| 102 | [55] | ||
| Radish | 670–1500 | 1309 | [49] |
| 766–4570 | 2108 | [34] | |
| Lotus root | 120 | [48] | |
| Fruit vegetables | |||
| Tomato | 190–347 | 238 | [48] |
| 10–259 | 78 | [30] | |
| 392 | [23] | ||
| 36 | [55] | ||
| Watermelon | 95 | [49] | |
| 33 | [48] | ||
| Wax gourd | 358–680 | 541 | [48] |
| Cucumber | 4–245 | 93 | [53] |
| 30–1236 | 160 | [49] | |
| 22–409 | 185 | [28] | |
| 89–740 | 335 | [50] | |
| Eggplant | 67–1000 | 479 | [30] |
| 29–572 | 314 | [28] | |
| 302 | [55] | ||
Publisher’s Note: MDPI stays neutral with regard to jurisdictional claims in published maps and institutional affiliations. |
© 2022 by the authors. Licensee MDPI, Basel, Switzerland. This article is an open access article distributed under the terms and conditions of the Creative Commons Attribution (CC BY) license (https://creativecommons.org/licenses/by/4.0/).
Share and Cite
Luo, F.; Yan, X.-J.; Hu, X.-F.; Yan, L.-J.; Cao, M.-Y.; Zhang, W.-J. Nitrate Quantification in Fresh Vegetables in Shanghai: Its Dietary Risks and Preventive Measures. Int. J. Environ. Res. Public Health 2022, 19, 14487. https://doi.org/10.3390/ijerph192114487
Luo F, Yan X-J, Hu X-F, Yan L-J, Cao M-Y, Zhang W-J. Nitrate Quantification in Fresh Vegetables in Shanghai: Its Dietary Risks and Preventive Measures. International Journal of Environmental Research and Public Health. 2022; 19(21):14487. https://doi.org/10.3390/ijerph192114487
Chicago/Turabian StyleLuo, Fan, Xiao-Juan Yan, Xue-Feng Hu, Li-Jun Yan, Ming-Yang Cao, and Wei-Jie Zhang. 2022. "Nitrate Quantification in Fresh Vegetables in Shanghai: Its Dietary Risks and Preventive Measures" International Journal of Environmental Research and Public Health 19, no. 21: 14487. https://doi.org/10.3390/ijerph192114487
APA StyleLuo, F., Yan, X.-J., Hu, X.-F., Yan, L.-J., Cao, M.-Y., & Zhang, W.-J. (2022). Nitrate Quantification in Fresh Vegetables in Shanghai: Its Dietary Risks and Preventive Measures. International Journal of Environmental Research and Public Health, 19(21), 14487. https://doi.org/10.3390/ijerph192114487

