Return to Work and Mortality in Breast Cancer Survivors: A 11-Year Longitudinal Study
Abstract
1. Introduction
2. Materials and Methods
2.1. Study Population
2.2. Covariates
2.3. Outcome Assessment
2.4. Statistical Analysis
3. Results
3.1. Characteristics of the Study Population
3.2. Univariate Analysis of Independent Factors Associated with RTW in Cox Proportional Hazards Models
3.3. Multivariate Analysis of Independent Factors Associated with RTW in Cox Proportional Hazards Models
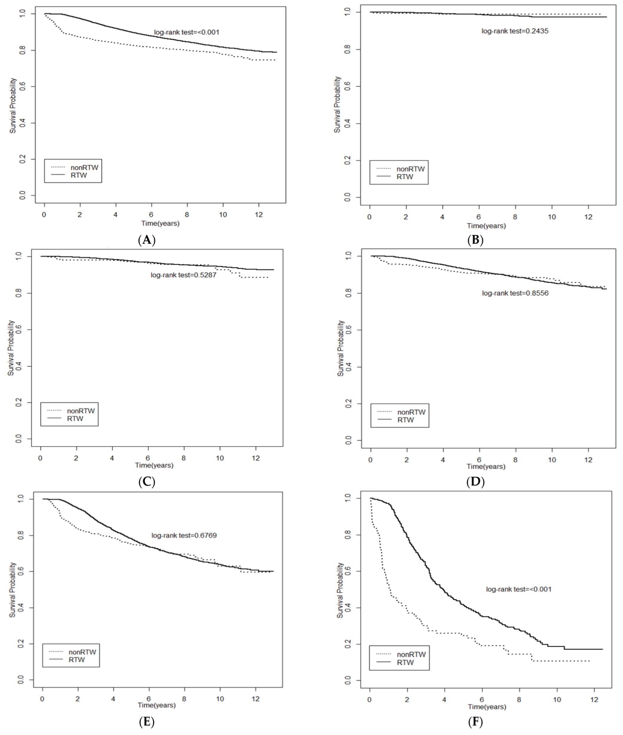
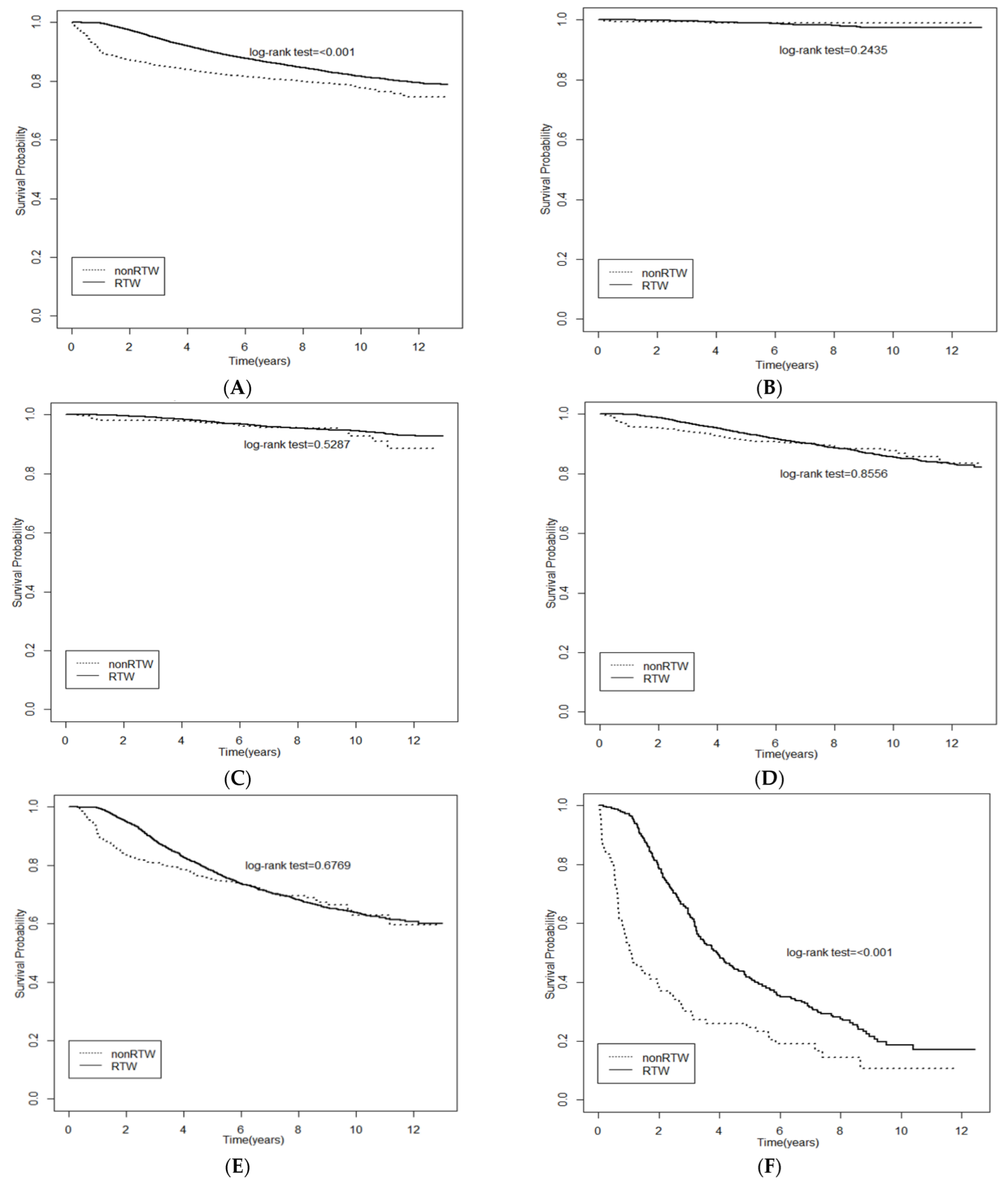
3.4. Influence of RTW on Survival Outcomes
4. Discussion
5. Conclusions
Supplementary Materials
Author Contributions
Funding
Institutional Review Board Statement
Informed Consent Statement
Data Availability Statement
Acknowledgments
Conflicts of Interest
References
- Ghoncheh, M.; Pournamdar, Z.; Salehiniya, H. Incidence and Mortality and Epidemiology of Breast Cancer in the World. Asian Pac. J. Cancer Prev. 2016, 17, 43–46. [Google Scholar] [CrossRef] [PubMed]
- Stapleton, S.M.; Oseni, T.O.; Bababekov, Y.J.; Hung, Y.C.; Chang, D.C. Race/Ethnicity and Age Distribution of Breast Cancer Diagnosis in the United States. JAMA Surg. 2018, 153, 594–595. [Google Scholar] [CrossRef] [PubMed]
- Effects of chemotherapy and hormonal therapy for early breast cancer on recurrence and 15-year survival: An overview of the randomised trials. Lancet 2005, 365, 1687–1717. [CrossRef]
- Berry, D.A.; Cronin, K.A.; Plevritis, S.K.; Fryback, D.G.; Clarke, L.; Zelen, M.; Mandelblatt, J.S.; Yakovlev, A.Y.; Habbema, J.D.; Feuer, E.J. Effect of screening and adjuvant therapy on mortality from breast cancer. N. Engl. J. Med. 2005, 353, 1784–1792. [Google Scholar] [CrossRef]
- Winer, E.; Gralow, J.; Diller, L.; Karlan, B.; Loehrer, P.; Pierce, L.; Demetri, G.; Ganz, P.; Kramer, B.; Kris, M.; et al. Clinical cancer advances 2008: Major research advances in cancer treatment, prevention, and screening—A report from the American Society of Clinical Oncology. J. Clin. Oncol. 2009, 27, 812–826. [Google Scholar] [CrossRef]
- Dafni, U.; Tsourti, Z.; Alatsathianos, I. Breast Cancer Statistics in the European Union: Incidence and Survival across European Countries. Breast Care 2019, 14, 344–353. [Google Scholar] [CrossRef]
- Butow, P.; Laidsaar-Powell, R.; Konings, S.; Lim, C.Y.S.; Koczwara, B. Return to work after a cancer diagnosis: A meta-review of reviews and a meta-synthesis of recent qualitative studies. J. Cancer Surviv. 2020, 14, 114–134. [Google Scholar] [CrossRef]
- Mols, F.; Vingerhoets, A.J.J.M.; Coebergh, J.W.; van de Poll-Franse, L.V. Quality of life among long-term breast cancer survivors: A systematic review. Eur. J. Cancer 2005, 41, 2613–2619. [Google Scholar] [CrossRef]
- Azzani, M.; Roslani, A.C.; Su, T.T. The perceived cancer-related financial hardship among patients and their families: A systematic review. Support Care Cancer 2015, 23, 889–898. [Google Scholar] [CrossRef]
- Baucom, D.H.; Porter, L.S.; Kirby, J.S.; Gremore, T.M.; Keefe, F.J. Psychosocial issues confronting young women with breast cancer. Breast Dis. 2005, 23, 103–113. [Google Scholar] [CrossRef]
- Ewertz, M.; Jensen, A.B. Late effects of breast cancer treatment and potentials for rehabilitation. Acta Oncol. 2011, 50, 187–193. [Google Scholar] [CrossRef] [PubMed]
- Stergiou-Kita, M.; Grigorovich, A.; Tseung, V.; Milosevic, E.; Hebert, D.; Phan, S.; Jones, J. Qualitative meta-synthesis of survivors’ work experiences and the development of strategies to facilitate return to work. J. Cancer Surviv. 2014, 8, 657–670. [Google Scholar] [CrossRef] [PubMed]
- Bouknight, R.R.; Bradley, C.J.; Luo, Z. Correlates of return to work for breast cancer survivors. J. Clin. Oncol. 2006, 24, 345–353. [Google Scholar] [CrossRef] [PubMed]
- Taskila, T.; Lindbohm, M.L. Factors affecting cancer survivors’ employment and work ability. Acta Oncol. 2007, 46, 446–451. [Google Scholar] [CrossRef] [PubMed]
- Molina Villaverde, R.; Feliu Batlle, J.; Villalba Yllan, A.; Jimenez Gordo, A.M.; Redondo Sanchez, A.; San Jose Valiente, B.; Gonzalez Baron, M. Employment in a cohort of breast cancer patients. Occup. Med. 2008, 58, 509–511. [Google Scholar] [CrossRef]
- Islam, T.; Dahlui, M.; Majid, H.A.; Nahar, A.M.; Mohd Taib, N.A.; Su, T.T. Factors associated with return to work of breast cancer survivors: A systematic review. BMC Public Health 2014, 14 (Suppl. 3), S8. [Google Scholar] [CrossRef]
- Tamminga, S.J.; de Boer, A.G.; Verbeek, J.H.; Frings-Dresen, M.H. Breast cancer survivors’ views of factors that influence the return-to-work process--a qualitative study. Scand. J. Work Environ. Health 2012, 38, 144–154. [Google Scholar] [CrossRef]
- Schmidt, M.E.; Scherer, S.; Wiskemann, J.; Steindorf, K. Return to work after breast cancer: The role of treatment-related side effects and potential impact on quality of life. Eur. J. Cancer Care 2019, 28, e13051. [Google Scholar] [CrossRef]
- de Boer, A.G.; Taskila, T.; Ojajarvi, A.; van Dijk, F.J.; Verbeek, J.H. Cancer survivors and unemployment: A meta-analysis and meta-regression. JAMA 2009, 301, 753–762. [Google Scholar] [CrossRef]
- Lauzier, S.; Maunsell, E.; Drolet, M.; Coyle, D.; Hebert-Croteau, N.; Brisson, J.; Masse, B.; Abdous, B.; Robidoux, A.; Robert, J. Wage losses in the year after breast cancer: Extent and determinants among Canadian women. J. Natl. Cancer Inst. 2008, 100, 321–332. [Google Scholar] [CrossRef]
- Drolet, M.; Maunsell, E.; Mondor, M.; Brisson, C.; Brisson, J.; Mâsse, B.; Deschênes, L. Work absence after breast cancer diagnosis: A population-based study. CMAJ 2005, 173, 765–771. [Google Scholar] [CrossRef] [PubMed]
- Lundh, M.H.; Lampic, C.; Nordin, K.; Ahlgren, J.; Bergkvist, L.; Lambe, M.; Berglund, A.; Johansson, B. Changes in health-related quality of life by occupational status among women diagnosed with breast cancer—A population-based cohort study. Psycho-Oncology 2013, 22, 2321–2331. [Google Scholar] [CrossRef] [PubMed]
- Waddell, G.; Burton, A.K. Is Work Good for Your Health and Wellbeing? OHRD: Belfast, UK, 2006; pp. 30–31. [Google Scholar]
- Paltrinieri, S.; Fugazzaro, S.; Bertozzi, L.; Bassi, M.C.; Pellegrini, M.; Vicentini, M.; Mazzini, E.; Costi, S. Return to work in European Cancer survivors: A systematic review. Support. Care Cancer 2018, 26, 2983–2994. [Google Scholar] [CrossRef] [PubMed]
- Ahn, E.; Cho, J.; Shin, D.W.; Park, B.W.; Ahn, S.H.; Noh, D.Y.; Nam, S.J.; Lee, E.S.; Yun, Y.H. Impact of breast cancer diagnosis and treatment on work-related life and factors affecting them. Breast Cancer Res. Treat. 2009, 116, 609–616. [Google Scholar] [CrossRef] [PubMed]
- Endo, M.; Haruyama, Y.; Takahashi, M.; Nishiura, C.; Kojimahara, N.; Yamaguchi, N. Returning to work after sick leave due to cancer: A 365-day cohort study of Japanese cancer survivors. J. Cancer Surviv. 2016, 10, 320–329. [Google Scholar] [CrossRef]
- Drolet, M.; Maunsell, E.; Brisson, J.; Brisson, C.; Masse, B.; Deschenes, L. Not working 3 years after breast cancer: Predictors in a population-based study. J. Clin. Oncol. 2005, 23, 8305–8312. [Google Scholar] [CrossRef]
- Campagna, M.; Loscerbo, R.; Pilia, I.; Meloni, F. Return to Work of Breast Cancer Survivors: Perspectives and Challenges for Occupational Physicians. Cancers 2020, 12, 355. [Google Scholar] [CrossRef]
- Wolvers, M.D.J.; Leensen, M.C.J.; Groeneveld, I.F.; Frings-Dresen, M.H.W.; De Boer, A. Predictors for earlier return to work of cancer patients. J. Cancer Surviv. 2018, 12, 169–177. [Google Scholar] [CrossRef]
- Decker, G.M.; DeMeyer, E.S.; Kisko, D.L. Measuring the maintenance of daily life activities using the functional living index-emesis (FLIE) in patients receiving moderately emetogenic chemotherapy. J. Support Oncol. 2006, 4, 35–41, 52. [Google Scholar]
- Fantoni, S.Q.; Peugniez, C.; Duhamel, A.; Skrzypczak, J.; Frimat, P.; Leroyer, A. Factors related to return to work by women with breast cancer in northern France. J. Occup. Rehabil. 2010, 20, 49–58. [Google Scholar] [CrossRef]
- Hassett, M.J.; O’Malley, A.J.; Keating, N.L. Factors influencing changes in employment among women with newly diagnosed breast cancer. Cancer 2009, 115, 2775–2782. [Google Scholar] [CrossRef] [PubMed]
- Johnsson, A.; Fornander, T.; Olsson, M.; Nystedt, M.; Johansson, H.; Rutqvist, L.E. Factors associated with return to work after breast cancer treatment. Acta Oncol. 2007, 46, 90–96. [Google Scholar] [CrossRef] [PubMed]
- Arfi, A.; Baffert, S.; Soilly, A.L.; Huchon, C.; Reyal, F.; Asselain, B.; Neffati, S.; Rouzier, R.; Héquet, D. Determinants of return at work of breast cancer patients: Results from the OPTISOINS01 French prospective study. BMJ Open 2018, 8, e020276. [Google Scholar] [PubMed]
- Johnsson, A.; Fornander, T.; Rutqvist, L.E.; Vaez, M.; Alexanderson, K.; Olsson, M. Predictors of return to work ten months after primary breast cancer surgery. Acta Oncol. 2009, 48, 93–98. [Google Scholar] [CrossRef] [PubMed]
- Blinder, V.S.; Patil, S.; Thind, A.; Diamant, A.; Hudis, C.A.; Basch, E.; Maly, R.C. Return to work in low-income Latina and non-Latina white breast cancer survivors: A 3-year longitudinal study. Cancer 2012, 118, 1664–1674. [Google Scholar] [CrossRef] [PubMed]
- Carlsen, K.; Jensen, A.J.; Rugulies, R.; Christensen, J.; Bidstrup, P.E.; Johansen, C.; Huitfeldt Madsen, I.E.; Dalton, S.O. Self-reported work ability in long-term breast cancer survivors. A population-based questionnaire study in Denmark. Acta Oncol. 2013, 52, 423–429. [Google Scholar] [CrossRef]
- van Muijen, P.; Duijts, S.F.; van der Beek, A.J.; Anema, J.R. Prognostic factors of work disability in sick-listed cancer survivors. J. Cancer Surviv. 2013, 7, 582–591. [Google Scholar] [CrossRef]
- Voduc, K.D.; Cheang, M.C.; Tyldesley, S.; Gelmon, K.; Nielsen, T.O.; Kennecke, H. Breast cancer subtypes and the risk of local and regional relapse. J. Clin. Oncol. 2010, 28, 1684–1691. [Google Scholar] [CrossRef]
- Abedi, G.; Janbabai, G.; Moosazadeh, M.; Farshidi, F.; Amiri, M.; Khosravi, A. Survival Rate of Breast Cancer in Iran: A Meta-Analysis. Asian Pac. J. Cancer Prev. 2016, 17, 4615–4621. [Google Scholar]
- Protani, M.; Coory, M.; Martin, J.H. Effect of obesity on survival of women with breast cancer: Systematic review and meta-analysis. Breast Cancer Res. Treat. 2010, 123, 627–635. [Google Scholar] [CrossRef]
- Peairs, K.S.; Barone, B.B.; Snyder, C.F.; Yeh, H.-C.; Stein, K.B.; Derr, R.L.; Brancati, F.L.; Wolff, A.C. Diabetes Mellitus and Breast Cancer Outcomes: A Systematic Review and Meta-Analysis. J. Clin. Oncol. 2011, 29, 40–46. [Google Scholar] [CrossRef] [PubMed]
- Lan, J.Y. Achieving and Sustaining Universal Health Coverage: Fiscal Reform of the National Health Insurance in Taiwan. Appl. Health Econ. Health Policy 2017, 15, 717–731. [Google Scholar] [CrossRef] [PubMed]
- Hung, M.C.; Lai, W.W.; Chen, H.H.; Lee, J.C.; Lin, Y.J.; Hsiao, J.R.; Cheng, Y.M.; Shan, Y.S.; Su, W.C.; Wang, J.D. Cost effectiveness of cancer treatment in Taiwan. J. Formos. Med. Assoc. 2016, 115, 609–618. [Google Scholar] [CrossRef] [PubMed]
- Tang, P.L.; Mayer, D.K.; Chou, F.H.; Hsiao, K.Y. The Experience of Cancer Stigma in Taiwan: A Qualitative Study of Female Cancer Patients. Arch. Psychiatr. Nurs. 2016, 30, 204–209. [Google Scholar] [CrossRef] [PubMed]
- Yoon, H.; Chatters, L.; Kao, T.S.; Saint-Arnault, D.; Northouse, L. Factors Affecting Quality of Life for Korean American Cancer Survivors: An Integrative Review. Oncol. Nurs. Forum 2016, 43, E132–E142. [Google Scholar] [CrossRef]

| Characteristic | All | RTW | % | Non-RTW | % |
|---|---|---|---|---|---|
| Age (year) mean ± SD (range) | 48.2 ± 7.8 (19–86) | 47.9 ± 7.6 (19–86) | 49.2 ± 8.6 (19–84) | ||
| Age group | |||||
| <40 | 2107 | 1726 | 13.1 | 381 | 12.7 |
| 40–49 | 6826 | 5668 | 43.2 | 1158 | 38.7 |
| 50–59 | 6170 | 5049 | 38.5 | 1121 | 37.5 |
| 60–69 | 916 | 609 | 4.6 | 307 | 10.2 |
| ≥70 | 64 | 44 | 0.3 | 20 | 0.6 |
| Comorbidities | |||||
| Disorders of lipoid metabolism | 1272 | 1007 | 7.6 | 265 | 8.8 |
| Obesity | 45 | 36 | 0.2 | 9 | 0.3 |
| Hypertension | 2129 | 1686 | 12.8 | 443 | 14.8 |
| Congestive heart failure | 104 | 84 | 0.6 | 20 | 0.6 |
| Peripheral vascular disease | 91 | 74 | 0.5 | 17 | 0.5 |
| Cerebrovascular disease | 170 | 139 | 1 | 31 | 1 |
| Chronic pulmonary disease | 485 | 390 | 2.9 | 95 | 3.1 |
| Rheumatologic disease | 202 | 170 | 1.2 | 32 | 1 |
| Peptic ulcer disease | 854 | 685 | 5.2 | 169 | 5.6 |
| Mild liver disease | 822 | 671 | 5.1 | 151 | 5 |
| Hemiplegia or paraplegia | 13 | 10 | 0.07 | 3 | 0.1 |
| Renal disease | 129 | 105 | 0.8 | 24 | 0.8 |
| Psychoses | 71 | 55 | 0.4 | 16 | 0.5 |
| Depression | 433 | 354 | 2.7 | 79 | 2.6 |
| Comorbidity | |||||
| 0 | 11,423 | 9351 | 71.4 | 2072 | 69.3 |
| 1 | 2837 | 2295 | 17.5 | 542 | 18.1 |
| 2 | 1307 | 1036 | 7.9 | 271 | 9 |
| ≥3 | 516 | 414 | 3.1 | 102 | 3.4 |
| Treatment | |||||
| OP | 15,108 | 12,321 | 94 | 2787 | 93.3 |
| RTB | 7011 | 5687 | 43.4 | 1324 | 44.3 |
| CH | 6881 | 5390 | 41.1 | 1491 | 49.9 |
| HORM | 6937 | 5453 | 41.6 | 1484 | 49.6 |
| Monthly income (USD) | |||||
| ≤960 | 10,110 | 8851 | 67.5 | 1259 | 42.1 |
| >960~1273 | 2735 | 2307 | 17.6 | 428 | 14.3 |
| >1273 | 3238 | 1938 | 14.7 | 1300 | 43.5 |
| Employee’s industry | |||||
| Agriculture | 794 | 705 | 5.3 | 89 | 2.9 |
| Manufacturing | 5112 | 4236 | 32.3 | 876 | 29.3 |
| Electricity and Gas Supply | 19 | 12 | 0.09 | 7 | 0.2 |
| Water Supply | 72 | 60 | 0.4 | 12 | 0.4 |
| Construction | 1063 | 918 | 7 | 145 | 4.8 |
| Wholesale and Retail Trade | 2175 | 1663 | 12.6 | 512 | 17.1 |
| Transportation and Storage | 672 | 549 | 4.1 | 123 | 4.1 |
| Accommodation | 737 | 623 | 4.7 | 114 | 3.8 |
| Information and Communication | 277 | 201 | 1.5 | 76 | 2.5 |
| Financial and Insurance Activities | 758 | 568 | 4.3 | 190 | 6.3 |
| Real Estate Activities | 190 | 165 | 1.2 | 25 | 0.8 |
| Technical Activities | 531 | 389 | 2.9 | 142 | 4.7 |
| Support Service Activities | 403 | 322 | 2.4 | 81 | 2.7 |
| Public Administration | 385 | 283 | 2.1 | 102 | 3.4 |
| Education | 364 | 290 | 2.2 | 74 | 2.4 |
| Human Health and Social Work Activities | 652 | 486 | 3.7 | 166 | 5.5 |
| Arts, Entertainment and Recreation | 198 | 176 | 1.3 | 22 | 0.7 |
| Other Service Activities | 1681 | 1450 | 11 | 231 | 7.7 |
| Company scale | |||||
| Company closed | 1430 | 1122 | 8.5 | 308 | 10.3 |
| Small | 1308 | 1003 | 7.6 | 305 | 10.2 |
| Medium | 3676 | 2797 | 21.3 | 879 | 29.4 |
| Large | 9669 | 8174 | 62.4 | 1495 | 50 |
| Pathological stage | |||||
| 0 | 2094 | 1711 | 13 | 383 | 12.8 |
| 1 | 5270 | 4350 | 33.2 | 920 | 30.8 |
| 2 | 5880 | 4867 | 37.1 | 1013 | 33.9 |
| 3 | 2515 | 1958 | 14.9 | 557 | 18.6 |
| 4 | 324 | 210 | 1.6 | 114 | 3.8 |
| Characteristic | 2-Year RTW | |
|---|---|---|
| HR (95% CI) | p Value | |
| Age (year) mean ± SD (range) | 0.996 (0.994–0.998) | 0.0004 |
| Age group | ||
| <40 | Reference | |
| 40–49 | 1.04 (0.985–1.098) | 0.1535 |
| 50–59 | 1.027 (0.972–1.085) | 0.337 |
| 60–69 | 0.782 (0.713–0.858) | <0.0001 |
| ≥70 | 0.821 (0.609–1.107) | 0.1966 |
| Comorbidities (Reference: no) | ||
| Disorders of lipoid metabolism | 0.965 (0.905–1.029) | 0.2811 |
| Obesity | 0.973 (0.701–1.349) | 0.868 |
| Hypertension | 0.966 (0.918–1.017) | 0.1847 |
| Congestive heart failure | 1 (0.807–1.239) | 1 |
| Peripheral vascular disease | 1.009 (0.803–1.268) | 0.9369 |
| Cerebrovascular disease | 1.01 (0.855–1.194) | 0.9065 |
| Chronic pulmonary disease | 0.988 (0.893–1.093) | 0.8114 |
| Rheumatologic disease | 1.055 (0.907–1.227) | 0.4862 |
| Peptic ulcer disease | 0.981 (0.909–1.06) | 0.6331 |
| Mild liver disease | 1.007 (0.932–1.088) | 0.858 |
| Hemiplegia or paraplegia | 0.949 (0.511–1.764) | 0.8693 |
| Renal disease | 1.016 (0.839–1.231) | 0.8704 |
| Psychoses | 0.996 (0.878–1.129) | 0.9467 |
| Depression | 0.941 (0.722–1.226) | 0.6542 |
| Comorbidity | ||
| 0 | Reference | |
| 1 | 0.991 (0.946–1.037) | 0.6858 |
| 2 | 0.964 (0.904–1.028) | 0.2644 |
| ≥3 | 0.985 (0.892–1.086) | 0.7572 |
| Treatment (Reference: no) | ||
| OP | 1.032 (0.96–1.11) | 0.3934 |
| RTB | 0.987 (0.954–1.022) | 0.4682 |
| CH | 0.91 (0.879–0.942) | <0.0001 |
| HORM | 0.917 (0.886–0.95) | <0.0001 |
| Monthly income (USD) | ||
| ≤960 | Reference | |
| >960~1273 | 0.952 (0.91–0.997) | 0.0369 |
| >1273 | 0.595 (0.566–0.625) | <0.0001 |
| Employee’s industry | ||
| Agriculture | 0.999 (0.847–1.178) | 0.9897 |
| Manufacturing | 0.894 (0.769–1.04) | 0.1454 |
| Electricity and Gas Supply | 0.634 (0.354–1.138) | 0.127 |
| Water Supply | 0.881 (0.657–1.181) | 0.3964 |
| Construction | 0.955 (0.813–1.122) | 0.5747 |
| Wholesale and Retail Trade | 0.79 (0.676–0.923) | 0.003 |
| Transportation and Storage | 0.881 (0.743–1.044) | 0.1426 |
| Accommodation | 0.92 (0.779–1.088) | 0.3314 |
| Information and Communication | 0.729 (0.596–0.893) | 0.0022 |
| Financial and Insurance Activities | 0.775 (0.655–0.918) | 0.0032 |
| Real Estate Activities | 0.937 (0.757–1.158) | 0.5452 |
| Technical Activities | 0.745 (0.624–0.891) | 0.0012 |
| Support Service Activities | 0.842 (0.701–1.012) | 0.0667 |
| Public Administration | 0.754 (0.625–0.911) | 0.0033 |
| Education | 0.811 (0.672–0.978) | 0.0283 |
| Human Health and Social Work Activities | 0.761 (0.64–0.904) | 0.0019 |
| Arts, Entertainment and Recreation | Reference | |
| Other Service Activities | 0.955 (0.817–1.117) | 0.5678 |
| Company scale | ||
| Company closed | 0.869 (0.816–0.925) | <0.0001 |
| Small | 0.857 (0.802–0.915) | <0.0001 |
| Medium | 0.846 (0.811–0.884) | <0.0001 |
| Large | Reference | |
| Pathological stage | ||
| 0 | 1.338 (1.159–1.544) | <0.0001 |
| 1 | 1.357 (1.182–1.559) | <0.0001 |
| 2 | 1.36 (1.185–1.562) | <0.0001 |
| 3 | 1.259 (1.092–1.452) | 0.0015 |
| 4 | Reference | |
| Characteristics | 2-Year RTW | |
|---|---|---|
| HR (95% CI) | p Value | |
| Age (year) mean ± SD (range) | 0.995 (0.993–0.997) | <0.0001 |
| Age group | ||
| <40 | Reference | |
| 40-49 | 1.027 (0.973–1.085) | 0.3347 |
| 50-59 | 1.003 (0.947–1.062) | 0.9261 |
| 60-69 | 0.773 (0.702–0.851) | <0.0001 |
| ≥70 | 0.744 (0.55–1.006) | 0.0543 |
| Comorbidity | ||
| 0 | Reference | |
| 1 | 0.991 (0.946–1.038) | 0.6998 |
| 2 | 0.973 (0.911–1.039) | 0.4177 |
| ≥3 | 1.005 (0.909–1.111) | 0.9211 |
| Treatment (Reference: no) | ||
| OP | 1.032 (0.959–1.11) | 0.4052 |
| RTB | 1.015 (0.979–1.052) | 0.4107 |
| CH | 0.926 (0.887–0.965) | 0.0003 |
| HORM | 0.957 (0.92–0.996) | 0.0296 |
| Monthly income (USD) | ||
| ≤960 | Reference | |
| >960~1273 | 0.985 (0.94–1.032) | 0.5237 |
| >1273 | 0.612 (0.58–0.646) | <0.0001 |
| Employee’s industry | ||
| Agriculture | 0.937 (0.794–1.106) | 0.4435 |
| Manufacturing | 0.919 (0.79–1.069) | 0.2743 |
| Electricity and Gas Supply | 0.814 (0.453–1.462) | 0.4905 |
| Water Supply | 0.929 (0.693–1.246) | 0.6244 |
| Construction | 0.956 (0.813–1.123) | 0.5816 |
| Wholesale and Retail Trade | 0.904 (0.772–1.059) | 0.212 |
| Transportation and Storage | 0.922 (0.778–1.093) | 0.3523 |
| Accommodation | 0.895 (0.757–1.058) | 0.1943 |
| Information and Communication | 0.859 (0.701–1.053) | 0.1429 |
| Financial and Insurance Activities | 0.99 (0.834–1.175) | 0.9068 |
| Real Estate Activities | 0.999 (0.808–1.236) | 0.994 |
| Technical Activities | 0.865 (0.723–1.036) | 0.1145 |
| Support Service Activities | 0.868 (0.722–1.043) | 0.1315 |
| Public Administration | 0.854 (0.706–1.033) | 0.1035 |
| Education | 0.852 (0.705–1.029) | 0.0963 |
| Human Health and Social Work Activities | 0.853 (0.717–1.015) | 0.0723 |
| Arts, Entertainment and Recreation | Reference | |
| Other Service Activities | 0.943 (0.807–1.103) | 0.4663 |
| Company scale | ||
| Company closed | 0.898 (0.841–0.96) | 0.0015 |
| Small | 0.877 (0.819–0.941) | 0.0002 |
| Medium | 0.888 (0.848–0.931) | <0.0001 |
| Large | Reference | |
| Pathological stage | ||
| 0 | 1.368 (1.182–1.584) | <0.0001 |
| 1 | 1.405 (1.222–1.616) | <0.0001 |
| 2 | 1.384 (1.204–1.589) | <0.0001 |
| 3 | 1.261 (1.093–1.455) | 0.0015 |
| 4 | Reference | |
| Characteristic | Fully Adjusted HR (95% CI) | p Value |
|---|---|---|
| RTW (Ref: non-RTW) | 0.585 (0.526–0.649) | <0.0001 |
| Age (Ref: age <40) | ||
| 40–49 | 0.735 (0.643–0.84) | <0.0001 |
| 50–59 | 0.901 (0.789–1.029) | 0.1245 |
| 60–69 | 0.949 (0.744–1.164) | 0.6154 |
| ≥70 | 2.232 (1.444–3.451) | 0.0003 |
| Treatment (Ref: no) | ||
| OP | 0.698 (0.603–0.809) | <0.0001 |
| RTB | 0.822 (0.75–0.901) | <0.0001 |
| CH | 1.013 (0.908–1.13) | 0.8179 |
| HORM | 0.692 (0.617–0.775) | <0.0001 |
| Monthly income (Ref: ≤$960) | ||
| >960~1273 | 0.879 (0.775–0.995) | 0.0418 |
| >1273 | 0.71 (0.62–0.812) | <0.0001 |
| Pathological stage (Ref: stage 4) | ||
| 0 | 0.014 (0.01–0.019) | <0.0001 |
| 1 | 0.037 (0.031–0.045) | <0.0001 |
| 2 | 0.089 (0.076–0.103) | <0.0001 |
| 3 | 0.283 (0.244–0.329) | <0.0001 |
Publisher’s Note: MDPI stays neutral with regard to jurisdictional claims in published maps and institutional affiliations. |
© 2022 by the authors. Licensee MDPI, Basel, Switzerland. This article is an open access article distributed under the terms and conditions of the Creative Commons Attribution (CC BY) license (https://creativecommons.org/licenses/by/4.0/).
Share and Cite
Yang, Z.-Y.; Chen, W.-L.; Wu, W.-T.; Lai, C.-H.; Ho, C.-L.; Wang, C.-C. Return to Work and Mortality in Breast Cancer Survivors: A 11-Year Longitudinal Study. Int. J. Environ. Res. Public Health 2022, 19, 14418. https://doi.org/10.3390/ijerph192114418
Yang Z-Y, Chen W-L, Wu W-T, Lai C-H, Ho C-L, Wang C-C. Return to Work and Mortality in Breast Cancer Survivors: A 11-Year Longitudinal Study. International Journal of Environmental Research and Public Health. 2022; 19(21):14418. https://doi.org/10.3390/ijerph192114418
Chicago/Turabian StyleYang, Zhe-Yu, Wei-Liang Chen, Wei-Te Wu, Ching-Huang Lai, Ching-Liang Ho, and Chung-Ching Wang. 2022. "Return to Work and Mortality in Breast Cancer Survivors: A 11-Year Longitudinal Study" International Journal of Environmental Research and Public Health 19, no. 21: 14418. https://doi.org/10.3390/ijerph192114418
APA StyleYang, Z.-Y., Chen, W.-L., Wu, W.-T., Lai, C.-H., Ho, C.-L., & Wang, C.-C. (2022). Return to Work and Mortality in Breast Cancer Survivors: A 11-Year Longitudinal Study. International Journal of Environmental Research and Public Health, 19(21), 14418. https://doi.org/10.3390/ijerph192114418

