Abstract
Adolescents’ need for some minimum amount of daily physical exercise has been widely studied so as to assist better health outcomes and to reduce future obesity rates. However, the motivations of adolescents to exercise are less well-known. This manuscript aims to analyze the motives that explain the practice of physical exercise in adolescents and the possible associations with elements of body composition and cardiorespiratory fitness. For this purpose, the Self-Report of Motives for the Practice of Physical Exercise questionnaire (AMPEF) was administered to 917 students between 13–16 years of age (50.1% girls, 49.9% boys, M age = 14.82) from Seville, Spain. Subscales Ill-Health Avoidance and Positive Health, Revitalization and Enjoyment, Strength and Endurance, and Challenge represent the participants’ main reasons for practicing physical exercise. Associations between BMI and FAT % with the subscales Weight Management and Appearance (direct association) and Revitalization and Enjoyment (inverse association) were found. A direct association between cardiorespiratory fitness and Revitalization and Enjoyment, Competition, Strength, and Endurance and Challenge subscales was found for both genders. Conclusions emphasize the practice of physical exercise in adolescents due to intrinsic motives based on improving their state of health, increasing their levels of strength and endurance (boys), and achieving short-term objectives (girls).
1. Introduction
Physical exercise (PE) is a fundamental part of a healthy lifestyle and has been widely associated with health benefits. High levels of sedentary lifestyle and physical inactivity have increased the prevalence of pathologies that affect today’s society [1,2]. Regarding the benefits of PE practice, the literature is extensive. It is considered a vital tool for increasing and maintaining a good quality of life, especially in pandemic and post-pandemic times [3]. It is recommended that young people perform at least 60 min of moderate to vigorous exercise every day per week [4,5]. On the other hand, the lack of PE in adolescents interferes with the attainment of benefits. [6,7]. This situation underlines the need to dedicate more attention to the determinants of the development of PE (i.e., the intention to be physically active, the perceived health benefits, motivation toward PE, self-efficacy perception, support, influence from significant others to practice PE, and the availability of sports facilities).
Overweight status and obesity are increasingly prevalent among children and adolescents in developed countries [8]. In Spain, the prevalence of overweight and obesity exceeds 35% in adolescents: Spain continues to have the second highest childhood overweight and obesity prevalence in Europe [9]. In addition, the consequences of this prevalence affect immediate health and, in the long-term, create risk profiles in suffering diseases within adulthood [10,11,12]. During adolescence, health risk behaviors are frequently adopted [13,14], observing, in some cases, concurrence between them [15]. For instance, PE and physical fitness levels are directly related to parameters associated with health [16], among them the body mass index (BMI) in terms of percentages [17]. The regular practice of PE and adequate cardiorespiratory fitness (CRF) are related to a low cardiovascular risk profile and are strong indicators of coronary health [18,19]. Furthermore, although cardiovascular disease (CVD) events frequently appear after fifty, their precursors seem to have their origin in childhood and adolescence [20].
A concern about motives for practicing PE is shown in many studies where its importance is highlighted during adolescence due to the significant decrease of PE levels between the ages of 12 to 16 years [21,22,23,24,25]. Consequently, there has been an increased interest based on motivational theories to develop and conduct interventions to promote PE in adolescents [26,27]. The motivational aspects influencing adolescents’ sports practice fluctuate from improving physical appearance to well-being through to fun and social relationships. In addition, ego-orientation and achievement goals are relevant as they influence decision-making regarding participation in recreational or competitive sports activities [28]. Therefore, establishing healthy habits is fundamental for adolescents’ physical and psychological development [29,30].
The multiple factors involved in performing PE in adolescence need to be studied and special focus should be given to the motives of PE practice and their relationships with specific physical parameters. Notwithstanding all the background mentioned above, there is insufficient evidence relating adolescents’ motives for practicing PE to variables of body composition and cardiorespiratory fitness. Thus, the objective of this study was to analyze the motives that explain the practice of physical exercise in adolescents, and possible associations with elements of body composition and cardiorespiratory fitness.
2. Materials and Methods
This research follows the quantitative approach. This proposal uses a cross-sectional and descriptive design according to the standards proposed by the Declaration of Helsinki (last updated in 2000). This study follows the guidelines proposed by the Good Clinical Practice of the European Medicine Agency. Moreover, the research was approved by the Bioethical Committee of Junta de Andalucía (regional government) (Ref.: 0310-N-17).
2.1. Participants
This study involves teenagers from 13 to 16 years old. The participants belong to five different public and charter-schools in Seville (Spain). A confidence interval of 95% with a 10% margin of error was estimated in the sample selection, which was developed by convenience sampling [31]. Nine hundred and ninety-one teenagers (491 boys and 500 girls) represent the population. Nine hundred and seventeen adolescents (458 boys (49.9%), Mage = 14.82, SD = 1.11; 459 girls (50.1%), Mage = 14.83, SD = 1.09) were the final participants which makes for a 92.53% participation ratio. Measurements were collected during three months of physical education classes during the academic year 2017–2018.
2.2. Instruments
2.2.1. Autoinforme de Motivos para la Práctica de Ejercicio Físico: AMPEF
The “Auto-Informe de Motivos para la Práctica de Ejercicio Físico” (AMPEF, Self-Report on Motivation for Exercising) was the tool used to measure motives in the practice of exercise. This instrument is an adaptation of Capdevila, Niñerola, and Pintanel’s [32] contribution which, in turn, is based on the Exercise Motivations Inventory-2 (EMI-2) [33], and is validated for adolescent populations. The AMPEF scale presents 48 items divided in 11 subscales: Weight Management and Appearance, Revitalization and Enjoyment, Ill-Health Avoidance and Positive Health, Competition, Affiliation, Strength and Endurance, Social Recognition, Stress Management, Nimbleness, Challenge, and Health Pressures. The instrument presents a Likert scale from 0 (nothing true for me) to 10 (totally true for me).
2.2.2. Body Composition
Some body composition parameters, such as height, weight, waist circumference, BMI, and FAT % were selected to be measured through a different version of the ALPHA-Fitness Battery (ref: 2006120). Some aspects were not considered (i.e., skin folds) since time did not allow the authors to conduct these measurements. However, body fat percentage was considered through bioelectrical impedance (Tanita Inner Scan BF-689, Tanita, Tokyo, Japan), validated by the FDA. The authors also considered the ALPHA-Fitness Battery to be suitable guidelines in selecting the measures [34].
2.3. Data Analysis
Data are presented as statistical values, specifically mean (M) and standard deviation (SD).
Normality in the variables’ distribution was verified through Kolmogorov-Smirnoff test. A parametric test (T Student) is conducted in the different cases to compare body composition variables with diverse motivation subscales to examine women and men’ responses in different motivation subscales. Statistical information was obtained through descriptive analyses (i.e., mean, standard deviation, frequency presented in tables and scatter plots). Moreover, reliability was tested and an ANOVA test was conducted to study the existence of gender differences. Additionally, a post hoc Bonferroni test was conducted in case significant differences existed. The authors established the parameter of significance as p < 0.05. IBM SPSS Statistics v.24 (Chicago, IL, USA) was used to conduct the analyses.
3. Results
Table 1 shows the values of the age and body composition variables for the whole sample by gender. During the analysis of the anthropometric characteristics, although the boys presented statistically higher differences in the weight and height variables, there were no statistically significant differences in BMI. Moreover, it was verified that the boys presented a lower body fat percentage but a significantly higher waist perimeter. As to cardiorespiratory fitness, it was confirmed that the boys presented substantially higher performance.
Table 1.
Anthropometric characteristics and endurance parameters (N = 917).
Table 2 shows the reliability and internal consistency of the questionnaire used, the consistency of the 11 subscales, and their average scores. The complete questionnaire showed a high-reliability index (α = 0.944) for the total sample. All the subscales showed α values above 0.790, except subscale 11 (Health Pressures). Analyzing the results for the whole sample (N = 917), the subscales with the highest scores were No. 3 (Ill-Health Avoidance and Positive Health) followed by No. 2, 6, and 10 (Revitalization and Enjoyment, Strength and Endurance, and Challenge).
Table 2.
Internal consistency and total score of AMPEF and its 11 subscales (N = 917).
The score of each subscale was measured according to the gender of the participants. Of all the 11 subscales of the questionnaire, punctuations in girls showed higher scores than in boys, specifically in subscales 1, 3, 8, 9, and 11. In the rest of the questionnaire’s subscales, boys presented higher scores than girls in the practice of PE. The highest scores for boys were obtained in subscale 6. Subscale 3 had the highest score for girls and the second highest for boys, with almost the same results. The second highest-scored subscale for girls was number 10. Significant differences were observed in subscales 2, 4, 5, 6, 7, 9, and 10. The motives with the highest scores for boys were subscales 6, 3, 2, and 10, whereas girls’ motivations for exercising were subscales 3, 10, 9, and 2 (see Table 3).
Table 3.
AMPEF results by gender-related subscales (N = 917).
Analyzing the subscales about the parameters of body composition (BMI, FAT %, and waist circumference), associations between the values of FAT % and BMI are observable. According to the average value established by Ortega et al. (2011) [34], with increasing values of these parameters, the school students attribute more importance to subscale 1 (Weight Management and Appearance) and less importance to subscale 2 (Revitalization and Enjoyment) (see Table 4).
Table 4.
S1 (Weight Management and Appearance) and S2 (Revitalization and Enjoyment) subscales scored by FAT % and BMI.
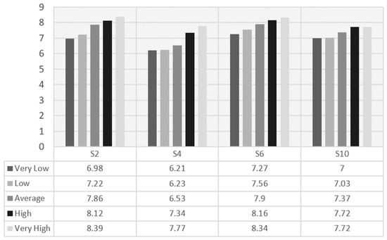
Regarding possible associations between CRF and the different subscales, it was observed that boys’ scores in subscales Revitalization and Enjoyment, Competition, Strength and Endurance, and Challenge rose when the CRF level was increased (see Figure 1). Values are shown according to the average value established by Ortega et al. (2011) [34].
Figure 1.
S2 (Revitalization and Enjoyment), S4 (Competition), S6 (Strength and Endurance), and S10 (Challenge) subscales scoring by cardiorespiratory fitness in boys.
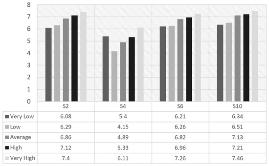
In the case of female participants and associations between the different subscales and the CRF level, the scoring related to subscales Revitalization and Enjoyment, Strength and Endurance, and Challenge increased when the CRF level was incremented (see Figure 2). Values are shown according to the average value established by Ortega et al. (2011) [34].
Figure 2.
S2 (Revitalization and Enjoyment), S4 (Competition), S6 (Strength and Endurance) and S10 (Challenge) scoring by Cardiorespiratory Fitness in girls.
4. Discussion
It is argued that regular practice of PE is a fundamental tool available to the adolescent population to develop and improve their health [35]. Motivation, the process that stimulates and directs behavior toward the objective, is crucial in initiating and consolidating physical exercise [36]. In our research, the participants’ body composition was analyzed, and significant differences by gender were found. Differences in height, weight, fat percentage, and waist circumference were obtained. These results are similar to those from different studies in the adolescent population in which the girls presented higher levels of adiposity [37,38]. At the same time, the boys showed higher values in weight, height, and waist perimeter [39,40].
It is essential to clarify that, despite significant differences found in the variables mentioned above, both boys and girls present medium BMI values, body fat percentage, and waist perimeter. When comparing the weight of the population analyzed, similarity with the reference values stated by Ortega et al. (2011) was observed [34], in which the weight, height, and BMI in children, teenagers, and adults were transversally valued. In contrast to what Moreno et al. (2007) found, there was no prevalence of obesity amongst the students, considering that their values of body FAT %, BMI, and waist circumference are considered average [41]. Referring to the performance in the CRF test, this research shows significant differences (see Table 1) between boys and girls, with higher performance in boys. These results are aligned with previous studies with similar samples [42,43,44].
It is argued that the practice of PE during adolescence should be maintained over time, according to the scientific research associated with this issue [1,45]. However, a high drop-out rate is expected at this age stage [46,47]. Due to this reason, it is essential to know the reasons that lead adolescents to practice PE. The present study analyzed the motives for practicing PE in adolescents and the possible associations with the parameters of body composition and CRF. Descriptive analysis of the different subscales shows that participants, regardless of gender, engage in PE for Ill-Health Avoidance and Positive Health, Revitalization and Enjoyment, Strength and Endurance, and Challenge motives. These results are aligned with those found by similar projects [48,49,50].
Moreover, our research is aligned with several studies that highlighted well-being and fun as the most relevant incentives when exercising [51,52]. Thus, our results are aligned with the AVENA study [49], which shows that participants show a greater orientation towards attitudes related to physical sports activities. The current study participants scored Revitalization and Enjoyment, Challenge and Strength, and Endurance higher than the other subscales. Other studies [53] suggest that perceived competition is a clear motive for exercising. Our results are partially consistent with that, as the Competition subscale shows a positive score for the boys but not for the girls, which is in line with previous findings [54].
Concerning gender differences in the motives for practicing PE, our study agrees with a recent study [55] which concluded that intrinsic reasons influenced sustained exercise in adolescents. This research shows almost identical scores for boys and girls in the Weight Management and Appearance subscale. Considering the traditional attribution of this subscale to females, it suggests boys have a growing interest in aesthetics and body image [56]. Several authors recognize this trend as they have found that adolescents (both boys and girls) give more and more importance to their body image [37,57,58,59]. These results differ from those obtained by Moreno et al. (2013) [58], who concluded that weight and physical appearance were valued to a greater extent by female participants. The influence of the present aesthetic and beauty canon possibly justifies the equality of scoring among boys and girls, which is supported by the study of Wilson and Rogers [60]. The practice of physical exercise for reasons of improving physical appearance and appearance in both genders could also be motivated by the high prevalence of physical inactivity [6,7,15] in the Spanish adolescent population, which would result in higher levels of adolescent overweight and obesity [10,12], and might provide justification for the change in trend.
Concerning the associations between the body composition parameters and the motives for PE practice, our study agrees with findings shown by several studies [61,62,63,64], which state that higher BMI and FAT % predicted greater exercise motivation for Weight Management and Appearance. Associations between CRF and motives for PE performance have been obtained in the present study. These findings are supported by the conclusions of other research conducted on the adolescent population. It also demonstrates that moderate to vigorous physical fitness is associated with sports competence (Challenge and Competition) and strength competence (Strength and Endurance) [65].
4.1. Implications for Health Policy, Practice, and Equity
The outcomes of this research provide important implications for understanding what makes adolescents engage in PE, the practice of PE from an early age, and how to reduce future obesity. For this reason, the present research argues for public policies which improve the younger population’s health. Thus, the role of physical education educators and caretakers necessarily includes promoting motivational strategies that foster intrinsic motivation toward physical exercise among adolescents. The younger population should be encouraged to exercise (taking advantage of their competitive impulse), to become more physically active, and, consequently, to promote a positive perception of their body image throughout their lifespan. This study also encourages physical education educators to develop exercise programs focused on positive changes in body composition parameters, increasing cardiorespiratory fitness levels, strength, and endurance.
4.2. Limitations
The data obtained in the current research need to be considered cautiously, since the sample considered is specifically contextualized and, considering the cross-sectional model of this study, causality relationships are difficult to establish. Notwithstanding all limitations, the results obtained in the research are worthy and accurate in adding knowledge about the motivations of PE in association with variables of body composition and cardiorespiratory fitness among adolescents. Future research should take into consideration other influential psychosocial variables in the performance of PE by adolescents, as well as the design of an experimental study that would help to discover causal relationships between the variables analyzed.
5. Conclusions
This research aimed to analyze the motives for practicing PE in adolescents and the possible associations with the parameters of body composition and CRF. Our participants highlighted the main reasons for participating in PE as avoiding potential health problems and improving their current health status (Ill-Health Avoidance and Positive Health subscale). Moreover, the boys scored the highest in subscale 6 (Strength and Endurance), which means that PE was practiced by them to improve the muscular component of physical fitness: more Strength and Endurance. Girls scored high in subscale 10 (Challenge), which implies that they understand the practice of PE as a tool to achieve short-term objectives: keeping an active lifestyle becomes a challenge to overcome. Due to all the reasons mentioned above, it is concluded that the motives that encourage participants in this research to engage in PE are purely intrinsic.
It should be noted that this research shows a changing trend in terms of physical appearance and body image as the boys noted their concern about it. In addition, if the attitude or willingness toward PE is primarily based on appearance, it may be connected to the relationship between eating and body image [66,67]. The least significant motives of the participants for practicing PE were Stress Management, Social Recognition, and Health Pressures. That is the reason PE based on extrinsic motives is rejected in this study. Therefore, it is essential that educators and caregivers properly supervise the motives which encourage adolescents to engage in PE.
Author Contributions
Conceptualization, P.G.-L.; methodology, P.G.-L. and I.L.-C.; software, P.G.-L.; validation, P.G.-L.; formal analysis, P.G.-L.; investigation, P.G.-L. and F.R.; resources, P.G.-L., I.L.-C. and I.G.-L.; writing—original draft preparation, P.G.-L. and I.G.-L.; writing—review and editing data curation, P.G.-L., I.G.-L. and F.R.; visualization, P.G.-L.; supervision, P.G.-L., I.L.-C. and I.G.-L.; project administration, P.G.-L., I.L.-C. and F.R.; funding acquisition, P.G.-L. and F.R. All authors have read and agreed to the published version of the manuscript.
Funding
This research was funded by the fifth Research Program 2013–2016 (PPI2015-IV.5/PP2016-EBRV) of the University of Seville (Seville, Spain).
Institutional Review Board Statement
The study was conducted in accordance with the Declaration of Helsinki and approved by the Bioethical Committee of Junta de Andalucía (regional government), which determined that the study meets the requirements and states it is appropriate in relation to the objectives of the research. It also states that the study conforms to the ethical principles of this type of research. A copy of the experts’ approval is attached to the manuscript.
Informed Consent Statement
Informed consent was obtained from all subjects involved in the study.
Data Availability Statement
Data originated during the research project is available on request from the corresponding author (igarcia@uloyola.es).
Acknowledgments
The authors thank the involvement of schools and participants in the study.
Conflicts of Interest
The authors declare no conflict of interest.
References
- Janssen, I.; LeBlanc, A.G. Systematic review of the health benefits of physical activity and fitness in school-aged children and youth. Int. J. Behav. Nutr. Phys. Act. 2010, 7, 40. [Google Scholar] [CrossRef] [PubMed]
- White, J.; Greene, G.; Kivimaki, M.; Batty, G.D. Association between changes in lifestyle and all-cause mortality: The Health and Lifestyle Survey. J. Epidemiol. Community Health 2018, 72, 711–714. [Google Scholar] [CrossRef]
- Amatriain-Fernández, S.; Murillo-Rodríguez, E.S.; Gronwald, T.; Machado, S.; Budde, H. Benefits of physical activity and physical exercise in the time of pandemic. Psychol. Trauma 2020, 12, S264–S266. [Google Scholar] [CrossRef] [PubMed]
- Physical Activity Guidelines for Children: A Statement of Guidelines; National Association for Sport and Physical Education: Miami, FL, USA, 2005; Available online: https://www.aasa.org/uploadedFiles/Childrens_Programs/Healthy_School_Environments/NASBEFitHealthyReadyLearn.pdf (accessed on 3 April 2022).
- British Nutrition Foundation. At Least Five a Week—A Summary of the Report from the Chief Medical Officer on Physical Activity; Nutrition Bulletin: London, UK, 2004; Available online: https://www.staffs.ac.uk/images/First%20steps%20SHE%20CMO%2520Report%2520Summary_tcm68-26370.pdf (accessed on 3 April 2022).
- Hallal, P.C.; Andersen, L.B.; Bull, F.C.; Guthold, R.; Haskell, W.; Ekelund, U.; Lancet Physical Activity Series Working Group. Global physical activity levels: Surveillance progress, pitfalls, and prospects. Lancet 2012, 380, 247–257. [Google Scholar] [CrossRef]
- Telama, R.; Yang, X.; Leskinen, E.; Kankaanpää, A.; Hirvensalo, M.; Tammelin, T.; Viikari, J.S.; Raitakari, O.T. Tracking of physical activity from early childhood through youth into adulthood. Med. Sci. Sports Exerc. 2014, 46, 955–962. [Google Scholar] [CrossRef]
- Guerra, C.E.; Vila-Díaz, J.; Apolinaire-Pennini, J.J.; del Carmen Cabrera Romero, A.; Carballosa, I.S.; Sabina, P.M.A. Factores de riesgo asociados a sobrepeso y obesidad en adolescentes. Risk factors associate with overweight and obesity in adolescents. Rev. Electron. Cienc. Med. Cienfuegos 2009, 7, 25–34. Available online: http://scielo.sld.cu/scielo.php?script=sci_arttext&pid=S1727-897×2009000200004 (accessed on 17 February 2022).
- Sánchez-Cruz, J.J.; Jiménez-Moleón, J.J.; Fernández-Quesada, F.; Sánchez, M.J. Prevalencia de obesidad infantil y juvenil en España en 2012. Rev. Esp. Cardiol. 2013, 66, 371–376. [Google Scholar] [CrossRef] [PubMed]
- de Bont, J.; Bennet, M.; León-Muñoz, L.; Duarte-Salles, T. The prevalence and incidence rate of overweight and obesity among 2.5 million children and adolescents in Spain. Rev. Esp. Cardiol. 2021, 75, 300–307. [Google Scholar] [CrossRef] [PubMed]
- World Health Organization. Report of the Comission on Ending Childhood Obesity; World Health Organization: Géneva, Switzerland, 2014; Available online: https://www.who.int/publications/i/item/9789241510066 (accessed on 12 March 2022).
- de Ruiter, I.; Olmedo-Requena, R.; Sánchez-Cruz, J.J.; Jimenez-Moleon, J.J. Trends in Child Obesity and Underweight in Spain by Birth Year and Age, 1983 to 2011. Rev. Esp. Cardiol. 2017, 70, 646–655. [Google Scholar] [CrossRef] [PubMed]
- Ramos-Valverde, P.; Moreno-Rodríguez, M.C.; Rivera-de-los-Santos, F.J.; Pedro Juan, P.M. Integrated analysis of the health and social inequalities of Spanish adolescents. Int. J. Clin. Health Psychol. 2010, 10, 477–498. Available online: http://rabida.uhu.es/dspace/bitstream/handle/10272/15082/Integrated%20analysis.pdf?sequence=2 (accessed on 11 March 2022).
- Kreatsoulas, C.; Anand, S.S. The impact of social determinants of cardiovascular health and disease. Can. J. Cardiovasc. Nurs. 2010, 20, 3–6. [Google Scholar] [CrossRef]
- Meneses, C.; Rua, A.; Romo-Avilés, N.; Gil García, E.; Uroz, J.; Márkez, I.; Falcón, C.M. Co-occurrence of risk behaviors among Spanish adolescents. Rev. Int. Sociol. 2012, 70, 665–689. [Google Scholar] [CrossRef]
- Ruiz, J.R.; Ortega, F.B. Physical activity and cardiovascular disease risk factors in children and adolescents: An overview. Can. J. Cardiol. 2004, 20, 295–301. [Google Scholar] [CrossRef]
- Ortega, F.B.; Ruiz, J.R.; Castillo, M.J.; Sjöström, M. Physical fitness in childhood and adolescence: A powerful marker of health. Int. J. Obes. 2008, 32, 1–11. [Google Scholar] [CrossRef] [PubMed]
- Ruiz, J.R.; Castro-Pinero, J.; Artero, E.G.; Ortega, F.B.; Sjostrom, M.; Suni, J.; Castillo, M.J. Predictive validity of health-related fitness in youth: A systematic review. Br. J. Sports Med. 2009, 43, 909–923. [Google Scholar] [CrossRef] [PubMed]
- Högström, G.; Nordström, A.; Nordström, P. High aerobic fitness in late adolescence is associated with a reduced risk of myocardial infarction later in life: A nationwide cohort study in men. Eur. Heart J. 2014, 35, 3133–3140. [Google Scholar] [CrossRef]
- Berenson, G.S.; Srinivasan, S.R.; Bao, W.; Newman, W.P., 3rd; Tracy, R.E.; Wattigney, W.A. Association between multiple cardiovascular risk factors and atherosclerosis in children and young adults. The Bogalusa Heart Study. N. Engl. J. Med. 1998, 338, 1650–1656. [Google Scholar] [CrossRef]
- Guthold, R.; Cowan, M.J.; Autenrieth, C.S.; Kann, L.; Riley, L.M. Physical Activity and Sedentary Behavior among Schoolchildren: A 34-Country Comparison. J. Pediatr. 2010, 157, 43–49. [Google Scholar] [CrossRef]
- Ramos, P.; Rivera, F.; Moreno, C.; Jiménez-Iglesias, A. Análisis de clúster de la actividad física y las conductas sedentarias de los adolescentes españoles, correlación con la salud biopsicosocial. Rev. Psicol. Deporte 2012, 21, 99–106. Available online: https://www.redalyc.org/articulo.oa?id=235124455013 (accessed on 19 March 2022).
- Cocca, A.; Liukkonen, J.; Mayorga-Vega, D.; Viciana, J. Health-Related Physical Activity Levels in Spanish Youth and Young Adults. Percept. Mot. Ski. 2014, 118, 247–260. [Google Scholar] [CrossRef]
- López-Sánchez, G.F.; González-Víllora, S.; Díaz-Suárez, A. Level of habitual physical activity in children and adolescents from the Region of Murcia (Spain). Springerplus 2016, 5, 4–9. [Google Scholar] [CrossRef]
- Beltrán Carrillo, V.J.; Sierra, A.C.; Jiménez-Loaisa, A.; GonzálezCutre, D.; Martínez Galindo, C.; Cervelló, E. Diferencias según género en el tiempo empleado por adolescentes en actividad sedentaria y actividad física en diferentes segmentos horarios del día. RETOS 2017, 31, 3–7. Available online: https://www.redalyc.org/pdf/3457/345750049001.pdf (accessed on 5 April 2022).
- Rhodes, R.E.; Dickau, L. Experimental evidence for the intention-behavior relationship in the physical activity domain: A meta-analysis. Health Psychol. 2012, 31, 724–727. [Google Scholar] [CrossRef] [PubMed]
- Stuart, J.H.B.; Nanette, M. Psychology of Physical Activity: Determinants, Well-Being and Interventions; Routledge: London, UK, 2007. [Google Scholar]
- Kulavic, K.; Hultquist, C.; Mclester, J. A Comparison of Motivational Factors and Barriers to Physical Activity among Traditional Versus Nontraditional College Students. J. Am. Coll. Health 2013, 61, 60–68. [Google Scholar] [CrossRef] [PubMed]
- Medic, N.; Young, B.W.; Grove, J.R. Perceptions of five-year competitive categories: Model of how relative age influences competitiveness in masters sport. J. Sports Sci. Med. 2013, 12, 724–729. Available online: https://www.ncbi.nlm.nih.gov/pmc/articles/PMC3873663/ (accessed on 12 March 2022). [PubMed]
- Sawyer, S.M.; Afifi, R.A.; Bearinger, L.H.; Blakemore, S.-J.; Dick, B.; Ezeh, A.C.; Patton, G.C. Adolescence: A foundation for future health. Lancet 2012, 379, 1630–1640. [Google Scholar] [CrossRef]
- Emerson, R. Convenience sampling, random sampling, and snowball sampling: How does sampling affect the validity of research? J. Vis. Impair. Blind. 2015, 109, 164–168. [Google Scholar] [CrossRef]
- Capdevila, L.; Niñerola-i Maymì, J.; Pintanel-i Bassets, M. Motivación y actividad física: El autoinforme de motivos para la práctica de ejercicio físico (AMPEF). Rev. Psicol. Deporte 2004, 13, 55–74. Available online: https://ddd.uab.cat/pub/revpsidep/19885636v13n1/19885636v13n1p55.pdf (accessed on 11 April 2022).
- Markland, D.; Ingledew, D.K. The measurement of exercise motives: Factorial validity and invariance across gender of a revised Exercise Motivations Inventory. Br. J. Health Psychol. 1997, 2, 361–376. [Google Scholar] [CrossRef]
- Ortega, F.B.; Artero, E.G.; Ruiz, J.R.; Espana-Romero, V.; Jimenez-Pavon, D.; Vicente-Rodriguez, G.; Moreno, L.A.; Manios, Y.; Beghin, L.; Ottevaere, C.; et al. Physical fitness levels among European adolescents: The HELENA study. Br. J. Sports Med. 2011, 45, 20–29. [Google Scholar] [CrossRef]
- Gualteros, J.A.; Torres, J.A.; Umbarila-Espinosa, L.M.; Rodríguez-Valero, F.J.; Ramírez-Vélez, R. A lower cardiorespiratory fitness is associated to an unhealthy status among children and adolescents from Bogotá, Colombia. Endocrinol. Nutr. 2015, 62, 437–446. [Google Scholar] [CrossRef]
- Briki, W. Motivation toward Physical Exercise and Subjective Wellbeing: The Mediating Role of Trait Self-Control. Front. Psychol. 2016, 7, 1546. [Google Scholar] [CrossRef] [PubMed]
- Bauman, A.E.; Reis, R.S.; Sallis, J.F.; Wells, J.C.; Loos, R.J.; Martin, B.W. Correlates of physical activity: Why are some people physically active and others not? Lancet 2012, 380, 258–271. [Google Scholar] [CrossRef]
- Galán-López, P.; Sánchez-Oliver, A.J.; Ries, F.; González-Jurado, J.A. Mediterranean diet, physical fitness and body composition in sevillian adolescents: A healthy lifestyle. Nutrients 2019, 11, 2009. [Google Scholar] [CrossRef] [PubMed]
- Galán-López, P.; Domínguez, R.; Pihu, M.; Gísladóttir, T.; Sánchez-Oliver, A.J.; Ries, F. Evaluation of physical fitness, body composition, and adherence to mediterranean diet in adolescents from Estonia: The AdolesHealth study. Int. J. Environ. Res. Public Health 2019, 16, 4479. [Google Scholar] [CrossRef]
- Galán-López, P.; Ries, F.; Gisladottir, T.; Domínguez, R.; Sánchez-Oliver, A.J. Healthy lifestyle: Relationship between Mediterranean diet, body composition and physical fitness in 13 to 16-years old icelandic students. Int. J. Environ. Res. Public Health 2018, 15, 2632. [Google Scholar] [CrossRef] [PubMed]
- Joensuu, L.; Syväoja, H.; Kallio, J.; Kulmala, J.; Kujala, U.M.; Tammelin, T.H. Objectively measured physical activity, body composition and physical fitness: Cross-sectional associations in 9- to 15-year-old children. Eur. J. Sport Sci. 2018, 18, 882–892. [Google Scholar] [CrossRef]
- Moreno, L.A.; The AVENA Study Group; Mesana, M.I.; Gonzalez-Gross, M.; Gil, C.M.; Ortega, F.B.; Fleta, J.; Warnberg, J.; León, J.; Marcos, A.; et al. Body fat distribution reference standards in Spanish adolescents: The AVENA Study. Int. J. Obes. 2007, 31, 1798–1805. [Google Scholar] [CrossRef]
- García-Sánchez, A.; Burgueño-Menjibar, R.; López-Blanco, D.; Ortega, F.B. Physical fitness, adiposity and self-concept in adolescents. A pilot study | Condición física, adiposidad y autoconcepto en adolescentes. Estudio piloto. Rev. Psicol. Deporte 2013, 22, 453–461. Available online: https://ddd.uab.cat/pub/revpsidep/revpsidep_a2013v22n2/revpsidep_a2013v22n2p453.pdf (accessed on 21 January 2022).
- Secchi, J.D.; Garcia, G.C.; Romero, V.E.; Castropinero, J. Condición física y riesgo cardiovascular futuro en niños y adolescentes argentinos: Una introducción de la batería ALPHA. Arch. Argent. Pediatr. 2014, 112, 132–140. [Google Scholar] [CrossRef]
- Villa-González, E.; Ruiz, J.R.; Chillón, P. Associations between active commuting to school and health-related physical fitness in Spanish school-aged children: A cross-sectional study. Int. J. Environ. Res. Public Health 2015, 12, 10362–10373. [Google Scholar] [CrossRef] [PubMed]
- Fernández, I.; Canet, O.; Giné-Garriga, M. Assessment of physical activity levels, fitness and perceived barriers to physical activity practice in adolescents: Cross-sectional study. Eur. J. Pediatr. 2017, 176, 57–65. [Google Scholar] [CrossRef]
- Fiuza-Luces, C.; Garatachea, N.; Berger, N.A.; Lucia, A. Exercise is the Real Polypill. Physiology 2013, 28, 330–358. [Google Scholar] [CrossRef] [PubMed]
- Cairney, J.; Veldhuizen, S.; Kwan, M.; Hay, J.; Faught, B.E. Biological age and sex-related declines in physical activity during adolescence. Med. Sci. Sports Exerc. 2014, 46, 730–735. [Google Scholar] [CrossRef] [PubMed]
- Samperio, J.; Jiménez-Castuera, R.; Lobato, S.; Leyton, M.; Claver, F. Variables motivacionales predictoras de las barreras para la práctica de ejercicio físico en adolescentes. Cuad. Psicol. Deporte 2016, 16, 65–76. Available online: https://scielo.isciii.es/scielo.php?script=sci_arttext&pid=S1578-84232016000200008 (accessed on 18 April 2022).
- Martínez-Baena, A.C.; Chillón-Garzón, P.; Martín-Matillas, M.; Pérez López, I.; Castillo, R.; Zapatera, B.; Vicente-Rodríguez, G.; Casajús, J.A.; Álvarez-Granda, L.; Romero, C.; et al. Actitudes hacia la práctica de actividad físico-deportiva orientada a la salud en adolescentes españoles: Estudio AVENA. Ret. Nuev. Tend. Educ. Física Deporte Recreac. 2012, 22, 43–48. Available online: https://www.redalyc.org/pdf/3457/345732288010.pdf (accessed on 18 April 2022).
- Jiménez-Torres, M.G.; Godoy-Izquierdo, D.; Godoy-García, J.F. Relationship between Motives for Exercise and Sports Practice and Flow Experiences in Youth: Gender Differences. Univ. Psychol. 2012, 11, 1657–9267. Available online: https://www.redalyc.org/pdf/647/64724634019.pdf (accessed on 23 January 2022).
- Contreras, O.R.; Fernánndez, J.G.; García, L.M.; Pere, P.; Javier, P. El autoconcepto físico y su relación con la práctica deportiva en estudiantes adolescentes. Rev. Psicol. Deporte 2010, 19, 23–39. Available online: https://www.redalyc.org/pdf/2351/235116414002.pdf (accessed on 17 February 2022).
- Pere Palou, S.; Xavier, P.V.; Margalida, G.P.; Rotger, B.; Antoni, P.; Josep, V.C. Motivos para el inicio, mantenimiento y abandono de la práctica deportiva de los preadolescentes de la isla de Mallorca. Apunt. Educ. Física Deporte 2005, 81, 5–11. Available online: https://www.redalyc.org/pdf/5516/551656964002.pdf (accessed on 17 February 2022).
- Taylor, I.M.; Ntoumanis, N.; Standage, M.; Spray, C.M. Motivational Predictors of Physical Education Students’ Effort, Exercise Intentions, and Leisure-Time Physical Activity: A Multilevel Linear Growth Analysis. J. Sport Exerc. Psychol. 2016, 32, 99–120. [Google Scholar] [CrossRef]
- Domínguez-Alonso, J.; López-Castedo, A.; Portela-Pino, I. Validación del autoinforme de motivos para la práctica del ejercicio físico con adolescentes (AMPEF): Diferencias por género, edad y ciclo escolar. Retos Nuevas Tendenc. Educ. Física Deporte Recreac. 2018, 33, 273–278. [Google Scholar] [CrossRef]
- Jakobsen, A.M.; Evjen, E. Gender differences in motives for participation in sports and exercise among Norwegian adolescents. Balt. J. Health Phys. Act. 2018, 10, 92–101. [Google Scholar] [CrossRef]
- Hellín, P.; Moreno, J.A.; Rodríguez, P.L. Motivos de Práctica Físico-Deportiva en la Región de Murcia. Cuad. Psicol. Deporte 2004, 4, 1–22. Available online: https://revistas.um.es/cpd/article/view/112481 (accessed on 11 January 2022).
- Chen, L.-J.; Fox, K.R.; Haase, A.M.; Ku, P.-W. Correlates of body dissatisfaction among Taiwanese adolescents. Asia Pac. J. Clin. Nutr. 2010, 19, 172–179. Available online: https://pubmed.ncbi.nlm.nih.gov/20460229/ (accessed on 17 February 2022). [PubMed]
- Moreno-Murcia, J.A.; Gimeno, E.C.; Hernández, E.H.; Pedreño, N.B.-D.; Marín, J.J.R. Motivational profiles in physical education and their relation to the Theory of Planned Behavior. J. Sports Sci. Med. 2013, 12, 551–558. Available online: https://pubmed.ncbi.nlm.nih.gov/24149164/ (accessed on 25 April 2022). [PubMed]
- Alejandro, R.M.; María, M.; Kristy, B.B.; José Alexis, U.R. Relación entre los Factores Motivacionales, la Edad y el Sexo en las Personas Participantes de un Proyecto de Natación. MHSALUD Rev. Cienc. Mov. Hum. Salud. 2014, 11, 13–25. [Google Scholar] [CrossRef]
- Wilson, P.M.; Rodgers, W.M.; Fraser, S.N. Examining the Psychometric Properties of the Behavioral Regulation in Exercise Questionnaire. Meas. Phys. Educ. Exerc. Sci. 2002, 6, 1–21. Available online: https://citeseerx.ist.psu.edu/viewdoc/download?doi=10.1.1.572.8573&rep=rep1&type=pdf (accessed on 17 February 2022). [CrossRef]
- Teranishi, C.; Gillespie, K.; Bale, S. Exercise Motivation: The Role of Gender, Age, and Body Mass Index. Int. J. Health Wellness Soc. 2015, 4, 55–66. [Google Scholar] [CrossRef]
- Ingledew, D.K.; Sullivan, G. Effects of body mass and body image on exercise motives in adolescence. Psychol. Sport Exerc. 2002, 3, 323–338. Available online: http://exercise-motivation.bangor.ac.uk/downloads/ingledew&sullivan_2002.pdf (accessed on 12 March 2022). [CrossRef]
- De Bruin, A.P.; Woertman, L.; Bakker, F.C.; Oudejans, R.R.D. Weight-related sport motives and girls’ body image, weight control behaviors, and self-esteem. Sex Roles 2009, 60, 628–641. [Google Scholar] [CrossRef]
- Guedes, D.P.; Legnani, R.F.S.; Legnani, E. Reasons for physical exercise practice in university students according to body mass index. Rev. Bras. Atividate Física Saúde 2012, 17, 270–274. Available online: https://redib.org/Record/oai_articulo1775234-reasons-physical-exercise-practice-university-students-according-body-mass-index (accessed on 6 April 2022).
- Raudsepp, L.; Liblik, R.; Hannus, A. Children’s and Adolescents’ Physical Self-Perceptions as Related to Moderate to Vigorous Physical Activity and Physical Fitness. Pediatr. Exerc. Sci. 2002, 14, 97–106. [Google Scholar] [CrossRef]
- Westerberg-Jacobson, J.; Edlund, B.; Ghaderi, A. A 5-year longitudinal study of the relationship between the wish to be thinner, lifestyle behaviours and disturbed eating in 9–20-year old girls. Eur. Eat. Disord. Rev. 2010, 18, 207–219. [Google Scholar] [CrossRef] [PubMed]
Publisher’s Note: MDPI stays neutral with regard to jurisdictional claims in published maps and institutional affiliations. |
© 2022 by the authors. Licensee MDPI, Basel, Switzerland. This article is an open access article distributed under the terms and conditions of the Creative Commons Attribution (CC BY) license (https://creativecommons.org/licenses/by/4.0/).

