Influence of COD in Toxic Industrial Wastewater from a Chemical Concern on Nitrification Efficiency
Abstract
1. Introduction
2. Materials and Methods
2.1. Description of the Research Object
- The first stage (anaerobic) is carried out in an anaerobic chamber to which sewage, free of dissolved oxygen, is supplied. This stage guarantees the occurrence of favorable conditions conducive to the development of anaerobic organisms responsible for the reduction processes.
- The second stage (aerobic) takes place in aeration chambers equipped with agitators and an installation for fine-bubble aeration with compressed air. The concentration of dissolved oxygen in the aerobic chambers ranges from 1.5 to 2.5 mg·dm−3, which favors the development of organisms responsible for the aerobic decomposition of pollutants.
2.2. Research Description
- (a)
- Control flask contents:
- Activated sludge: 125 cm3;
- Medium: 25 cm3;
- Distilled water: 100 cm3.
- (b)
- Comparative flask contents:
- Activated sludge: 125 cm3;
- Medium: 25 cm3;
- Reference inhibitor, allylthiourea (ATU): 2.5 cm3;
- Distilled water: 97.5 cm3.
- (c)
- Test flask contents:
- Activated sludge: 125 cm3;
- Medium: 25 cm3;
- Tested sewage in the amount of 25 cm3, 50 cm3, 75 cm3 and 100 cm3;
- Distilled water in the amount of 75 cm3, 50 cm3, 25 cm3 and 0 cm3 (according to the amount of sewage tested).
- —concentration of oxidized forms of nitrogen (NO2-N + NO3-N) in the control flask after 4 h of aeration [mg·dm−3];
- —concentration of oxidized forms of nitrogen (NO2-N + NO3-N) in the flask with the tested sewage, after 4 h of aeration [mg·dm−3];
- —concentration of oxidized forms of nitrogen (NO2-N + NO3-N) in a flask with a comparative inhibitor (ATU) after 4 h of aeration [mg·dm−3].
2.3. Determination of NH4-N, NO2-N and NO3-N Concentrations
2.4. Calculation of the Nitrification Activity of the Activated Sludge and the Specific Rate of Nitrification
- —nitrification activity of activated sludge [mg·g·h−1];
- —concentration of oxidized forms of nitrogen (NO2-N + NO3-N) in the control flask after 4 h of aeration [mg·dm−3];
- —concentration of oxidized forms of nitrogen (NO2-N + NO3-N) in a flask with a comparative inhibitor (ATU), after 4 h of aeration [mg·dm−3];
- —mixed liquor volatile suspended solids [mg·dm−3].
- —specific rate of nitrification [mg·g·h−1];
- —ammonium nitrogen concentration in a flask with a comparative inhibitor (ATU) after 4 h of aeration [mg·dm−3];
- —ammonium nitrogen concentration in the control flask, after 4 h of aeration [mg·dm−3];
- —mixed liquor volatile suspended solids [mg·dm−3].
2.5. Verification of Measurement Data
2.6. Linear Regression Analysis
3. Results
4. Discussion
5. Conclusions
Author Contributions
Funding
Institutional Review Board Statement
Informed Consent Statement
Data Availability Statement
Conflicts of Interest
References
- Paśmionka, I.B.; Bulski, K.; Herbut, P.; Boligłowa, E.; Vieira, F.M.C.; Bonassa, G.; Prá, M.C.D.; Bortoli, M. Evaluation of the Effectiveness of the Activated Sludge Process in the Elimination Both ATB-Resistant and ATB-Susceptible E. coli Strains. Energies 2021, 14, 5868. [Google Scholar] [CrossRef]
- Paśmionka, I. Evaluation of the efficiency of removing sanitation indicators in the process of biological wastewater treatment. Acta Sci. Pol. Form. Circumiectus 2020, 19, 15–22. [Google Scholar] [CrossRef]
- Kołecka, K.; Gajewska, M.; Caban, M. From the pills to environment—Prediction and tracking of non-steroidal anti-inflammatory drug concentrations in wastewater. Sci. Total Environ. 2022, 825, 153611. [Google Scholar] [CrossRef] [PubMed]
- Jucherski, A.; Walczowski, A.; Bugajski, P.; Jóźwiakowski, K.; Rodziewicz, J.; Janczukowicz, W.; Wu, S.; Kasprzyk, M.; Gajewska, M.; Mielcarek, A. Long-term operating conditions for different sorption materials to capture phosphate from domestic wastewater. Sustain. Mater. Technol. 2022, 31, e00385. [Google Scholar] [CrossRef]
- Paśmionka, I.B.; Bulski, K.; Herbut, P.; Boligłowa, E.; Vieira, F.M.C.; Bonassa, G.; Bortoli, M.; Prá, M.C.d. Toxic Effect of Ammonium Nitrogen on the Nitrification Process and Acclimatisation of Nitrifying Bacteria to High Concentrations of NH4-N in Wastewater. Energies 2021, 14, 5329. [Google Scholar] [CrossRef]
- Jakubowicz, P.; Fitobór, K.; Gajewska, M.; Drewnowska, M. Detection and Removal of Priority Substances and Emerging Pollutants from Stormwater: Case Study of the Kołobrzeska Collector, Gdańsk, Poland. Sustainability 2022, 14, 1105. [Google Scholar] [CrossRef]
- Śliz, P.; Bugajski, P. Assessment of the stability and reliability of the water treatment plant in Nowy Sącz using control cards. J. Water Land Dev. 2022, 52, 251–256. [Google Scholar] [CrossRef]
- Bugajski, P.; Nowobilska-Majewska, E.; Majewski, M. The Impact of Atmospheric Precipitation on Wastewater Volume Flowing into the Wastewater Treatment Plant in Nowy Targ (Poland) in Terms of Treatment Costs. Energies 2021, 14, 3806. [Google Scholar] [CrossRef]
- Nowobilska-Majewska, E.; Bugajski, P.M. Concept of a New Technological System of a Biological Reactor in a Wastewater Treatment Plant in Nowy Targ in Terms of the Current Quantity and Quality of Wastewater—Case Study. J. Ecol. Eng. 2021, 22, 39–46. [Google Scholar] [CrossRef]
- Jóźwiakowski, K.; Marzec, M.; Listosz, A.; Gizińska-Górna, M.; Micek, A.; Pytka-Woszczyło, A.; Pochwatka, P.; Rybczyńska-Tkaczyk, K. The Influence of Household Wastewater Treatment Plants with Drainage System on the Quality of Groundwater in the Lublin Province, Poland. J. Ecol. Eng. 2021, 22, 18–39. [Google Scholar] [CrossRef]
- Rajta, A.; Bhatia, R.; Setia, H.; Pathania, P. Role of heterotrophic aerobic denitrifying bacteria in nitrate removal from wastewater. J. Appl. Microbiol. 2020, 128, 1261–1278. [Google Scholar] [CrossRef] [PubMed]
- Gajewska, M.; Jóźwiakowski, K.; Ghrabi, A.; Masi, F. Impact of influent wastewater quality on nitrogen removal rates in multistage treatment wetlands. Environ. Sci. Pollut. Res. 2015, 22, 12840–12848. [Google Scholar] [CrossRef] [PubMed]
- Juliastuti, S.R.J.; Baeyens, J.; Creemers, C. Inhibition of Nitrification by Heavy Metals and Organic Compounds: The ISO 9509 Test. Environ. Eng. Sci. 2004, 20, 79–90. [Google Scholar] [CrossRef]
- Head, I.M.; Hiorns, W.D.; Embley, T.M.; McCarthy, A.J.; Saunders, J.R. The phylogeny of autotrophic ammonia-oxidizing bacteria as determined by analysis of 16S ribosomal RNA gene sequences. Microbiology 1993, 139, 1147–1153. [Google Scholar] [CrossRef]
- Schramm, A.; de Beer, D.; Wagner, M.; Amann, R. Identification and Activities In Situ of Nitrosospira and Nitrospira spp. as Dominant Populations in a Nitrifying Fluidized Bed Reactor. Appl. Environ. Microbiol. 1998, 64, 3480–3485. [Google Scholar] [CrossRef]
- Khin, T.; Annachhatre, A.P. Novel microbial nitrogen removal processes. Biotechnol. Adv. 2004, 22, 519–532. [Google Scholar] [CrossRef]
- Paśmionka, I.B.; Gospodarek, J. Assessment of the Impact of Selected Industrial Wastewater on the Nitrification Process in Short-Term Tests. Int. J. Environ. Res. Public Health 2022, 19, 3014. [Google Scholar] [CrossRef]
- Lipińska-Ojrzanowska, A.; Walusiak-Skorupa, J. Quaternary ammonium compounds—New occupational hazards. Med. Pr. 2014, 65, 675–682. [Google Scholar] [CrossRef]
- Yang, L.; Liang, X.; Han, Y.; Cai, Y.; Zhao, H.; Sheng, M.; Cao, G. The coupling use of advanced oxidation processes and sequencing batch reactor to reduce nitrification inhibition of industry wastewater: Characterization and optimization. Chem. Eng. J. 2019, 360, 1577–1586. [Google Scholar] [CrossRef]
- Pagga, U.; Bachner, J.; Strotmann, U. Inhibition of nitrification in laboratory tests and model wastewater treatment plants. Chemosphere 2006, 65, 1–8. [Google Scholar] [CrossRef]
- Bugajski, P.M.; Pawełek, J.; Jóźwiakowska, K. The Interdependence of Organic and Biogenic Pollutants Concentrations in the Aspect of their Susceptibility to Biodegradation—A Case Study. J. Ecol. Eng. 2021, 22, 138–147. [Google Scholar] [CrossRef]
- Siwiec, T.; Reczek, L.; Michel, M.M.; Gut, B.; Hawer-Strojek, P.; Czajkowska, J.; Jóźwiakowski, K.; Gajewska, M.; Bugajski, P. Correlations between organic pollution indicators in municipal wastewater. Arch. Environ. Prot. 2018, 44, 50–57. [Google Scholar] [CrossRef]
- Samudro, G.; Mangkoedihardjo, S. Review on BOD, COD and BOD/COD ratio: A triangle zone for toxic, biodegradable and stable levels. Int. J. Acad. Res. 2010, 2, 235–239. [Google Scholar]
- Bader, A.C.; Hussein, H.J.; Jabar, M.T. BOD:COD Ratio as Indicator for Wastewater and Industrial Water Pollution. Int. J. Spec. Educ. 2022, 37, 2164–2171. [Google Scholar]
- Di Capua, F.; de Sario, S.; Ferraro, A.; Petrella, A.; Race, M.; Pirozzi, F.; Fratino, U.; Spasiano, D. Phosphorous removal and recovery from urban wastewater: Current practices and new directions. Sci. Total Environ. 2022, 823, 153750. [Google Scholar] [CrossRef]
- Bawiec, A. Efficiency of nitrogen and phosphorus compounds removal in hydroponic wastewater treatment plant. Environ. Technol. 2019, 40, 2062–2072. [Google Scholar] [CrossRef] [PubMed]
- Park, S.; Ely, R.L. Candidate stress genes of Nitrosomonas europaea for monitoring inhibition of nitrification by heavy metals. Appl. Environ. Microbiol. 2008, 74, 5475–5482. [Google Scholar] [CrossRef]
- Ouyang, F.; Zhai, H.; Ji, M.; Zhang, H.; Dong, Z. Physiological and transcriptional responses of nitrifying bacteria exposed to copper in activated sludge. J. Hazard. Mater. 2016, 301, 172–178. [Google Scholar] [CrossRef]
- Kroiss, H.; Schweighofer, P.; Frey, W.; Matsche, N. Nitrification inhibition-a source identification method for combined municipal and/or industrial wastewater treatment plants. Water Sci. Technol. 1992, 26, 1135–1146. [Google Scholar] [CrossRef][Green Version]
- Dincer, A.R.; Kargi, F. Salt inhibition of nitrification and denitrification in saline wastewater. Environ. Technol. 1999, 20, 1147–1153. [Google Scholar] [CrossRef]
- Kim, Y.M.; Park, D.; Lee, D.S.; Park, J.M. Inhibitory effects of toxic compounds on nitrification process for cokes wastewater treatment. J. Hazard. Mater. 2008, 152, 915–921. [Google Scholar] [CrossRef] [PubMed]
- Ge, S.; Wang, S.; Yang, X.; Qiu, S.; Li, B.; Peng, Y. Detection of nitrifiers and evaluation of partial nitrification for wastewater treatment: A review. Chemosphere 2015, 140, 85–98. [Google Scholar] [CrossRef] [PubMed]
- Juliastuti, S.R.; Baeyens, J.; Creemers, C.; Bixio, D.; Lodewyckx, E. The inhibitory effects of heavy metals and organic compounds on the net maximum specific growth rate of the autotrophic biomass in activated sludge. J. Hazard. Mater. 2003, 100, 271–283. [Google Scholar] [CrossRef]
- Park, S.J.; Oh, J.W.; Yoon, T.I. The role of powdered zeolite and activated carbon carriers on nitrification in activated sludge with inhibitory materials. Process Biochem. 2003, 39, 211–219. [Google Scholar] [CrossRef]
- Jóźwiakowska, K.; Marzec, M. Efficiency and reliability of sewage purification in long-term exploitation of the municipal wastewater treatment plant with activated sludge and hydroponic system. Arch. Environ. Prot. 2020, 46, 30–41. [Google Scholar] [CrossRef]
- Kataki, S.; Chatterjee, S.; Vairale, M.G.; Sharma, S.; Dwivedi, S.K. Concerns and strategies for wastewater treatment during COVID-19 pandemic to stop plausible transmission. Resour. Conserv. Recycl. 2021, 164, 105156. [Google Scholar] [CrossRef]
- Rahimi, S.; Modin, O.; Mijakovic, I. Technologies for biological removal and recovery of nitrogen from wastewater. Biotechnol. Adv. 2020, 43, 107570. [Google Scholar] [CrossRef]
- Mikosz, J. Determination of permissible industrial pollution load at a municipal wastewater treatment plant. Int. J. Environ. Sci. Technol. 2015, 12, 827–836. [Google Scholar] [CrossRef]
- Yang, M.; Qiu, S.; Wang, L.; Chen, Z.; Hu, Y.; Guo, J.; Ge, S. Effect of short-term light irradiation with varying energy densities on the activities of nitrifiers in wastewater. Water Res. 2022, 216, 118291. [Google Scholar] [CrossRef]
- Van den Broeck, R.M.R.; Van Impe, J.F.M.; Smets, I.Y.M. Assessment of activated sludge stability in lab-scale experiments. J. Biotechnol. 2009, 141, 147–154. [Google Scholar] [CrossRef]
- Chhetri, R.K.; Karvelas, S.; Sanchez, D.F.; Droumpali, A.; Kokkoli, A.; Andersen, H.R. A modified nitrification inhibition test for high-salinity wastewater. Chem. Eng. J. 2022, 429, 132460. [Google Scholar] [CrossRef]
- Zhang, M.; Wang, X.; Yang, J.; Wang, D.; Liang, J.; Zhou, L. Nitrogen removal performance of high ammonium and high salt wastewater by adding carbon source from food waste fermentation with different acidogenic metabolic pathways. Chemosphere 2022, 292, 133512. [Google Scholar] [CrossRef] [PubMed]



| Parameter | Unit | Value |
|---|---|---|
| temperature | °C | 14.6 |
| oxygenation | mgO2·dm−3 | 1.5–3 |
| aeration time | h | 4–5 |
| total suspension of the activated sludge | mg·dm−3 | 3200–5300 |
| total suspension in activated excess sludge | mg·dm−3 | 6000–8000 |
| increase in excess activated sludge | m3·d−1 | 300–420 |
| recirculation | % in relation to the incoming sewage | 95–120 |
| dry mass of activated sludge | % | 1.69 |
| age of the activated sludge | d | 13–14 |
| load BOD5 | kgBOD5·kgd.m.·d−1 | 0.13–0.28 |
| Production Line | Shapiro–Wilk Normality Test Results for COD | Shapiro–Wilk Normality Test Results for IN | ||||
|---|---|---|---|---|---|---|
| W | α | p-Value | W | α | p-Value | |
| acrylonitrile rubbers | 1.000 | 0.05 | 1.000 | 0.808 | 0.05 | 0.133 |
| styrene–butadiene rubbers | 1.000 | 1.000 | 0.987 | 0.785 | ||
| emulsifiers | 1.000 | 0.995 | 0.993 | 0.844 | ||
| polyvinyl acetate | 0.990 | 0.806 | 0.850 | 0.240 | ||
| styrene | 1.000 | 1.000 | 1.000 | 1.000 | ||
| solvents (butyl acetate, ethyl acetate) | 1.000 | 0.999 | 0.986 | 0.774 | ||
| owipian® | 1.000 | 0.630 | 0.861 | 0.269 | ||
| Production Line | Grubbs’ T-Test Results for COD | Grubbs’ T-Test Results for IN | ||||
|---|---|---|---|---|---|---|
| G | α | p-Value | G | α | p-Value | |
| acrylonitrile rubbers | 1.000 | 0.05 | 1.000 | 1.152 | 0.05 | 0.133 |
| styrene–butadiene rubbers | 1.000 | 1.000 | 1.059 | 0.785 | ||
| emulsifiers | 1.001 | 0.995 | 1.044 | 0.844 | ||
| polyvinyl acetate | 1.053 | 0.806 | 1.146 | 0.240 | ||
| styrene | 1.000 | 1.000 | 1.000 | 1.000 | ||
| solvents (butyl acetate, ethyl acetate) | 1.000 | 0.999 | 1.061 | 0.774 | ||
| owipian® | 1.006 | 0.980 | 1.143 | 0.269 | ||
| Samples | pH | COD (mgO2·dm−3) | Concentration NH4-N (mg·dm−3) | Concentration NO3-N (mg·dm−3) | % IN | ||
|---|---|---|---|---|---|---|---|
| Before Aeration | After 4 h of Aeration | Before Aeration | After 4 h of Aeration | ||||
| control | 7.6 | - | 56.00 | 23.00 | 0.00 | 15.60 | - |
| ATU | 7.6 | - | 56.00 | 49.00 | 0.00 | 0.00 | - |
| sewage 25 cm3 | 7.2 | 168.4 | 56.00 | 23.00 | 0.00 | 13.54 | 13.2 |
| sewage 50 cm3 | 7.2 | 336.7 | 56.00 | 29.00 | 0.00 | 12.51 | 19.8 |
| sewage 75 cm3 | 7.2 | 505.1 | 56.00 | 31.40 | 0.00 | 8.07 | 48.3 |
| sewage 100 cm3 | 7.2 | 673.4 | 56.00 | 29.20 | 0.00 | 7.69 | 50.7 |
| Samples | pH | COD (mgO2·dm−3) | Concentration NH4-N (mg·dm−3) | Concentration NO3-N (mg·dm−3) | % IN | ||
|---|---|---|---|---|---|---|---|
| Before Aeration | After 4 h of Aeration | Before Aeration | After 4 h of Aeration | ||||
| control | 7.6 | - | 56.00 | 22.60 | 0.00 | 14.08 | - |
| ATU | 7.6 | - | 56.00 | 37.40 | 0.00 | 0.00 | - |
| sewage 25 cm3 | 7.9 | 156.8 | 56.00 | 26.10 | 0.00 | 10.05 | 28.6 |
| sewage 50 cm3 | 7.9 | 313.6 | 56.00 | 27.20 | 0.00 | 9.69 | 31.2 |
| sewage 75 cm3 | 7.9 | 470.4 | 56.00 | 29.90 | 0.00 | 8.07 | 42.7 |
| sewage 100 cm3 | 7.9 | 627.2 | 56.00 | 33.00 | 0.00 | 5.66 | 59.8 |
| Samples | pH | COD (mgO2·dm−3) | Concentration NH4-N (mg·dm−3) | Concentration NO3-N (mg·dm−3) | % IN | ||
|---|---|---|---|---|---|---|---|
| Before Aeration | After 4 h of Aeration | Before Aeration | After 4 h of Aeration | ||||
| control | 7.6 | - | 56.00 | 22.60 | 0.00 | 14.08 | - |
| ATU | 7.6 | - | 56.00 | 37.40 | 0.00 | 0.00 | - |
| sewage 25 cm3 | 7.5 | 113.2 | 56.00 | 29.10 | 0.00 | 12.06 | 14.3 |
| sewage 50 cm3 | 7.5 | 226.4 | 56.00 | 30.70 | 0.00 | 11.69 | 17.0 |
| sewage 75 cm3 | 7.5 | 339.0 | 56.00 | 32.80 | 0.00 | 10.02 | 28.8 |
| sewage 100 cm3 | 7.5 | 452.6 | 56.00 | 35.00 | 0.00 | 7.82 | 44.5 |
| Samples | pH | COD (mgO2·dm−3) | Concentration NH4-N (mg·dm−3) | Concentration NO3-N (mg·dm−3) | % IN | ||
|---|---|---|---|---|---|---|---|
| Before Aeration | After 4 h of Aeration | Before Aeration | After 4 h of Aeration | ||||
| control | 7.6 | - | 56.00 | 22.60 | 0.00 | 14.08 | - |
| ATU | 7.6 | - | 56.00 | 37.40 | 0.00 | 0.00 | - |
| sewage 25 cm3 | 7.7 | 164.9 | 56.00 | 23.30 | 0.00 | 12.25 | 13.0 |
| sewage 50 cm3 | 7.7 | 329.8 | 56.00 | 25.30 | 0.00 | 11.81 | 16.1 |
| sewage 75 cm3 | 7.7 | 494.6 | 56.00 | 25.40 | 0.00 | 11.38 | 19.2 |
| sewage 100 cm3 | 7.7 | 730.0 | 56.00 | 16.00 | 0.00 | 8.60 | 38.9 |
| Samples | pH | COD (mgO2·dm−3) | Concentration NH4-N (mg·dm−3) | Concentration NO3-N (mg·dm−3) | % IN | ||
|---|---|---|---|---|---|---|---|
| Before Aeration | After 4 h of Aeration | Before Aeration | After 4 h of Aeration | ||||
| control | 7.6 | - | 56.00 | 21.30 | 0.00 | 12.96 | - |
| ATU | 7.6 | - | 56.00 | 48.90 | 0.00 | 0.73 | - |
| sewage 25 cm3 | 7.4 | 60.5 | 56.00 | 29.70 | 0.00 | 8.51 | 37.5 |
| sewage 50 cm3 | 7.4 | 121.1 | 56.00 | 30.16 | 0.00 | 8.32 | 39.1 |
| sewage 75 cm3 | 7.4 | 181.6 | 56.00 | 30.48 | 0.00 | 7.96 | 42.1 |
| sewage 100 cm3 | 7.4 | 242.1 | 56.00 | 32.19 | 0.00 | 7.61 | 45.1 |
| Samples | pH | COD (mgO2·dm−3) | Concentration NH4-N (mg·dm−3) | Concentration NO3-N (mg·dm−3) | % IN | ||
|---|---|---|---|---|---|---|---|
| Before Aeration | After 4 h of Aeration | Before Aeration | After 4 h of Aeration | ||||
| control | 7.6 | - | 56.00 | 22.60 | 0.00 | 14.08 | - |
| ATU | 7.6 | - | 56.00 | 37.40 | 0.00 | 0.00 | - |
| sewage 25 cm3 | 7.5 | 122.9 | 56.00 | 25.70 | 0.00 | 7.05 | 49.9 |
| sewage 50 cm3 | 7.5 | 245.6 | 56.00 | 27.20 | 0.00 | 6.99 | 50.4 |
| sewage 75 cm3 | 7.5 | 368.7 | 56.00 | 27.70 | 0.00 | 6.61 | 53.1 |
| sewage 100 cm3 | 7.5 | 491.6 | 56.00 | 28.20 | 0.00 | 6.03 | 57.2 |
| Samples | pH | COD (mgO2·dm−3) | Concentration NH4-N (mg·dm−3) | Concentration NO3-N (mg·dm−3) | % IN | ||
|---|---|---|---|---|---|---|---|
| Before Aeration | After 4 h of Aeration | Before Aeration | After 4 h of Aeration | ||||
| control | 7.6 | - | 56.00 | 21.30 | 0.00 | 12.96 | - |
| ATU | 7.6 | - | 56.00 | 48.90 | 0.00 | 0.73 | - |
| sewage 25 cm3 | 7.2 | 155.3 | 56.00 | 25.46 | 0.00 | 6.92 | 49.4 |
| sewage 50 cm3 | 7.2 | 316.1 | 56.00 | 26.97 | 0.00 | 6.37 | 53.9 |
| sewage 75 cm3 | 7.2 | 466.0 | 56.00 | 28.24 | 0.00 | 6.03 | 56.7 |
| sewage 100 cm3 | 7.2 | 621.3 | 56.00 | 31.72 | 0.00 | 5.96 | 57.2 |
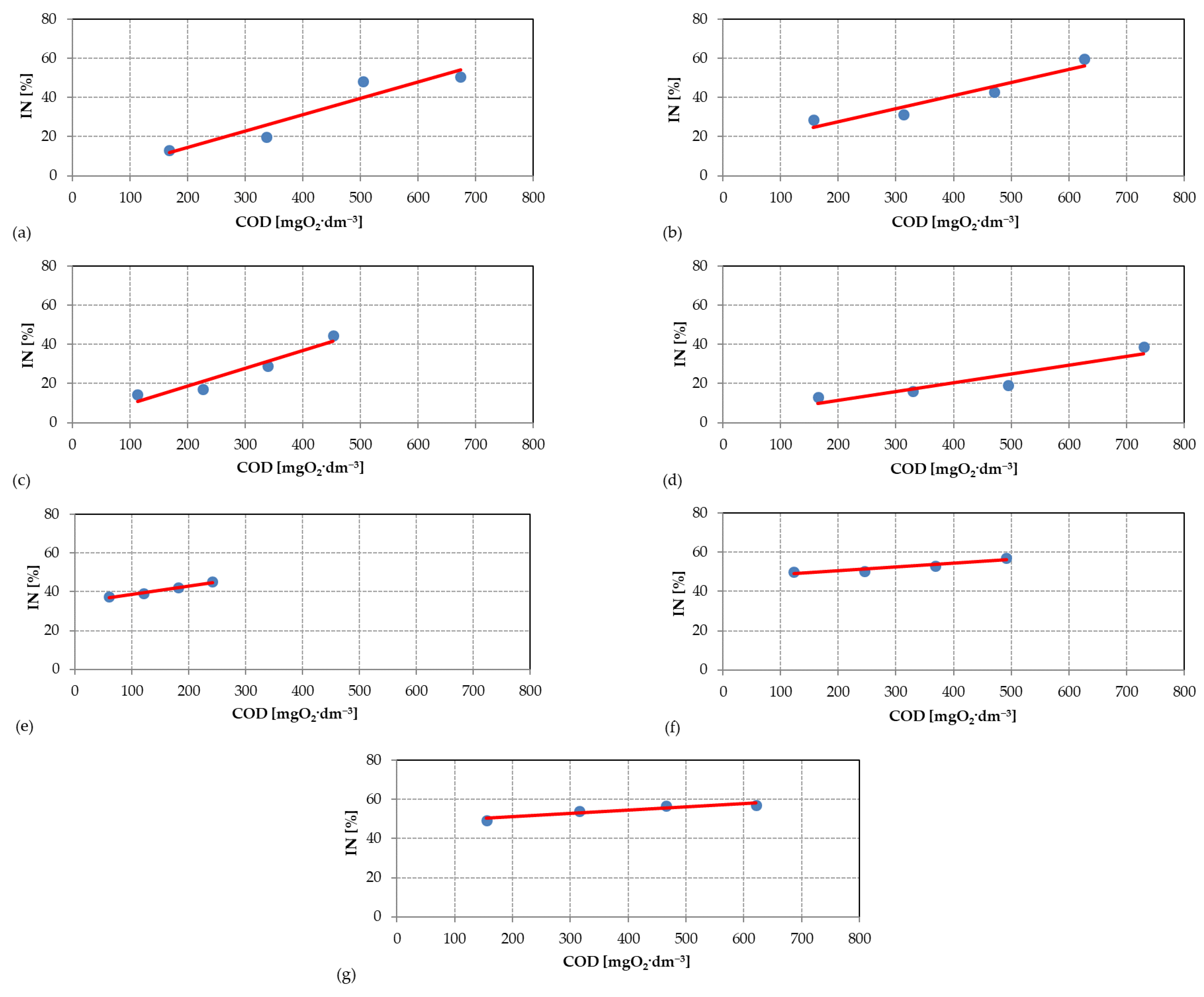
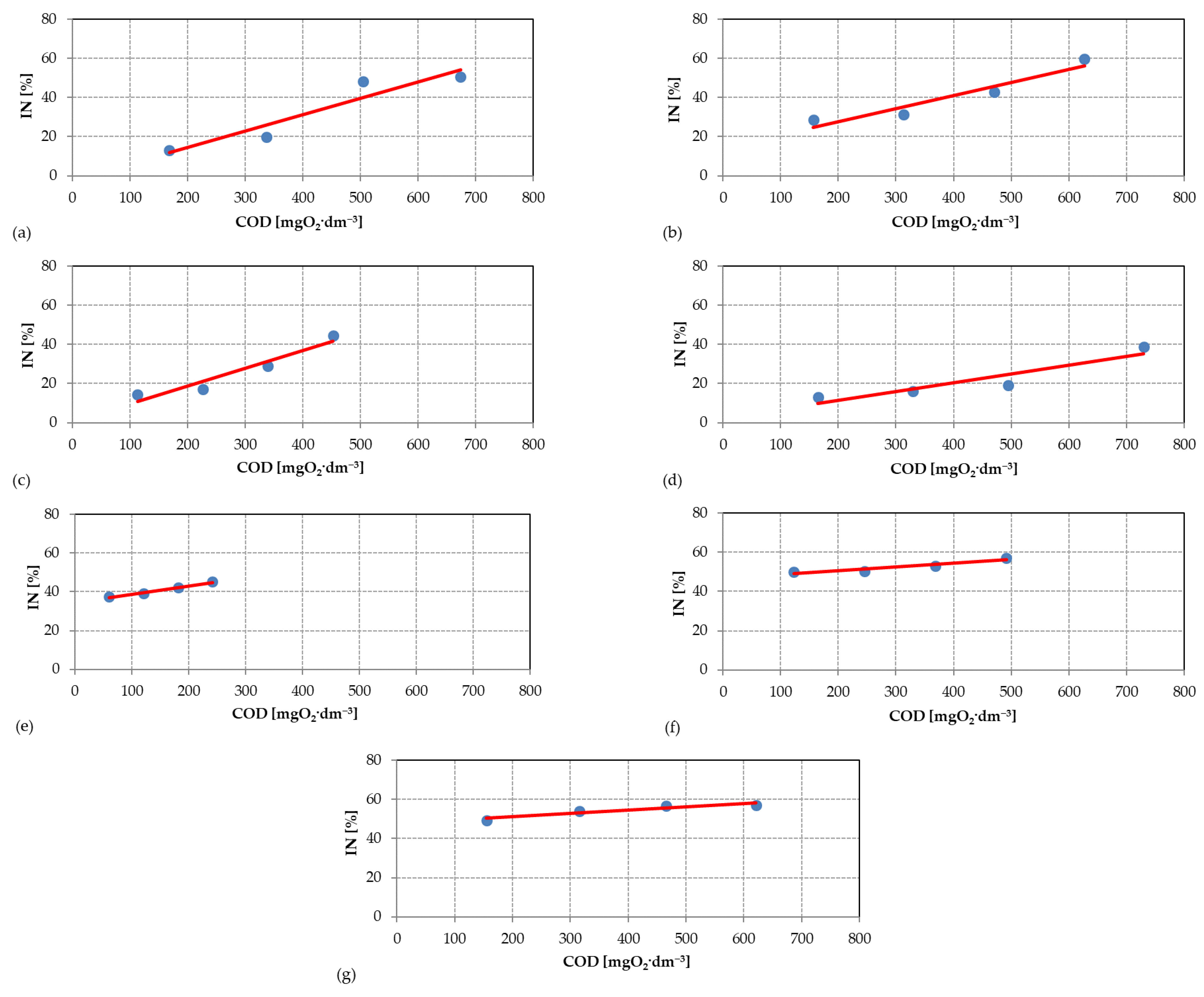
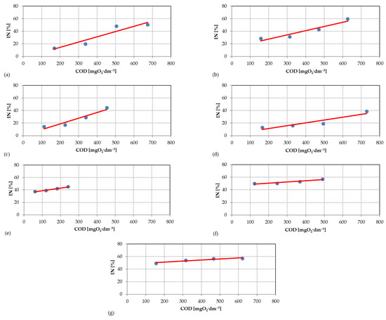
| Production Line | Equation Parameter Value | R | R2 | F | p-Value |
|---|---|---|---|---|---|
| acrylonitrile rubbers | a = 0.0838 | 0.945 | 0.893 | 16.634 | 0.055 |
| b = −2.256 | |||||
| styrene–butadiene rubbers | a = 0.0670 | 0.955 | 0.912 | 20.800 | 0.044 |
| b = 14.300 | |||||
| emulsifiers | a = 0.0906 | 0.961 | 0.924 | 24.144 | 0.039 |
| b = 0.537 | |||||
| polyvinyl acetate | a = 0.0450 | 0.931 | 0.867 | 13.013 | 0.068 |
| b = 2.425 | |||||
| styrene | a = 0.0430 | 0.991 | 0.983 | 112.510 | 0.009 |
| b = 34.500 | |||||
| solvents (butyl acetate, ethyl acetate) | a = 0.0200 | 0.950 | 0.903 | 18.546 | 0.049 |
| b = 46.501 | |||||
| owipian® | a = 0.0170 | 0.948 | 0.900 | 17.895 | 0.052 |
| b = 47.689 |
Publisher’s Note: MDPI stays neutral with regard to jurisdictional claims in published maps and institutional affiliations. |
© 2022 by the authors. Licensee MDPI, Basel, Switzerland. This article is an open access article distributed under the terms and conditions of the Creative Commons Attribution (CC BY) license (https://creativecommons.org/licenses/by/4.0/).
Share and Cite
Paśmionka, I.B.; Herbut, P.; Kaczor, G.; Chmielowski, K.; Gospodarek, J.; Boligłowa, E.; Bik-Małodzińska, M.; Vieira, F.M.C. Influence of COD in Toxic Industrial Wastewater from a Chemical Concern on Nitrification Efficiency. Int. J. Environ. Res. Public Health 2022, 19, 14124. https://doi.org/10.3390/ijerph192114124
Paśmionka IB, Herbut P, Kaczor G, Chmielowski K, Gospodarek J, Boligłowa E, Bik-Małodzińska M, Vieira FMC. Influence of COD in Toxic Industrial Wastewater from a Chemical Concern on Nitrification Efficiency. International Journal of Environmental Research and Public Health. 2022; 19(21):14124. https://doi.org/10.3390/ijerph192114124
Chicago/Turabian StylePaśmionka, Iwona B., Piotr Herbut, Grzegorz Kaczor, Krzysztof Chmielowski, Janina Gospodarek, Elżbieta Boligłowa, Marta Bik-Małodzińska, and Frederico Márcio C. Vieira. 2022. "Influence of COD in Toxic Industrial Wastewater from a Chemical Concern on Nitrification Efficiency" International Journal of Environmental Research and Public Health 19, no. 21: 14124. https://doi.org/10.3390/ijerph192114124
APA StylePaśmionka, I. B., Herbut, P., Kaczor, G., Chmielowski, K., Gospodarek, J., Boligłowa, E., Bik-Małodzińska, M., & Vieira, F. M. C. (2022). Influence of COD in Toxic Industrial Wastewater from a Chemical Concern on Nitrification Efficiency. International Journal of Environmental Research and Public Health, 19(21), 14124. https://doi.org/10.3390/ijerph192114124

