Fat-Free Mass and Skeletal Muscle Mass Gain Are Associated with Diabetes Remission after Laparoscopic Sleeve Gastrectomy in Males but Not in Females
Abstract
:1. Introduction
2. Materials and Methods
2.1. Study Design
2.2. Definition of T2D Remission
2.3. Covariates
2.4. Statistical Analysis
3. Results
3.1. Clinical Characteristics of the Patients before the Surgery
3.2. Body Composition Changes at 12 Months after LSG according to Sex Difference
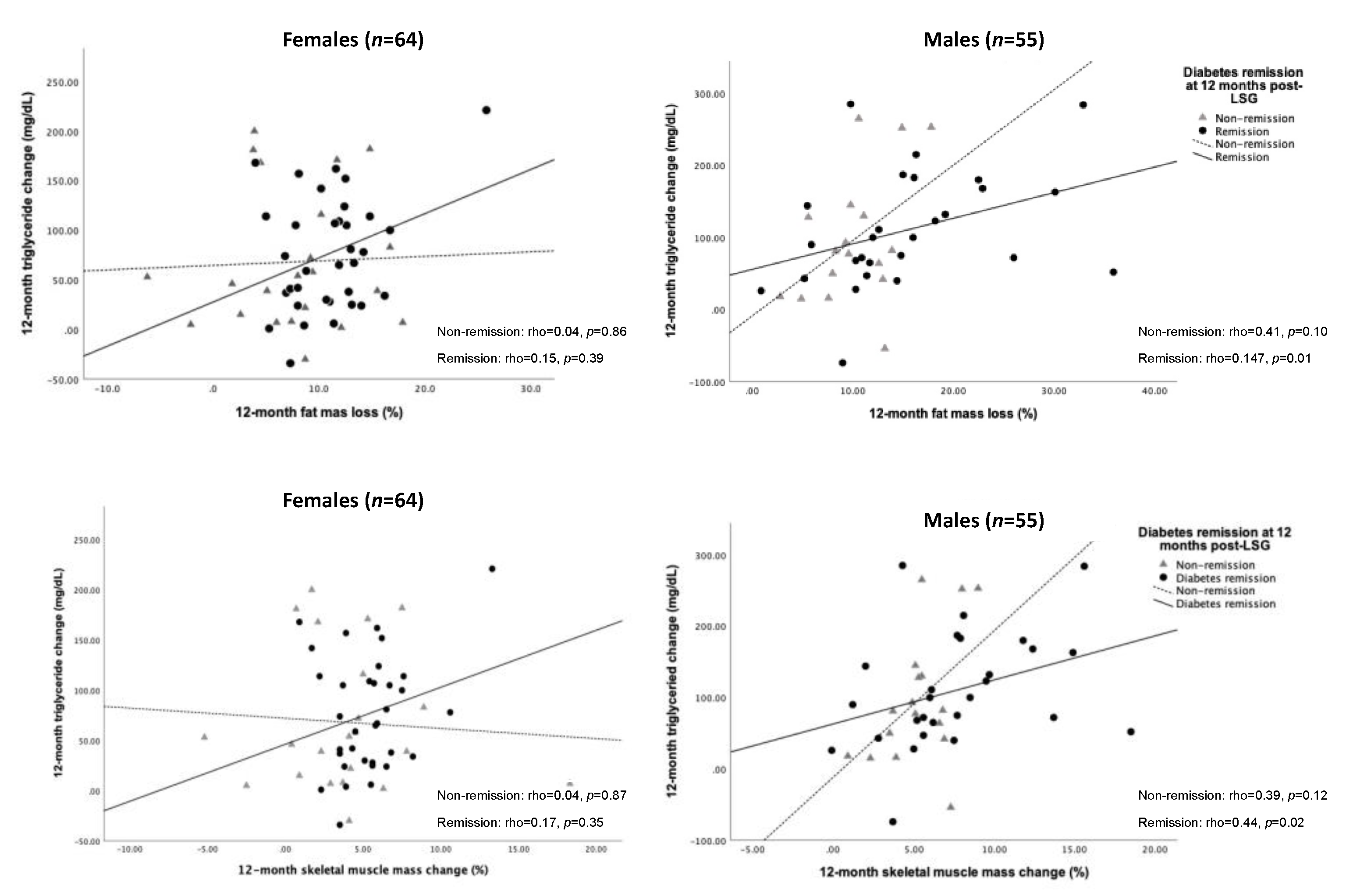
3.3. Association between Gaining of FFM and SM and Diabetes Remission for 12 Months after LSG in Male Patients
4. Discussion
5. Conclusions
Author Contributions
Funding
Institutional Review Board Statement
Informed Consent Statement
Data Availability Statement
Conflicts of Interest
References
- Guh, D.P.; Zhang, W.; Bansback, N.; Amarsi, Z.; Birmingham, C.L.; Anis, A.H. The incidence of co-morbidities related to obesity and overweight: A systematic review and meta-analysis. BMC Public Health 2009, 9, 88. [Google Scholar] [CrossRef] [PubMed] [Green Version]
- Guariguata, L.; Whiting, D.R.; Hambleton, I.; Beagley, J.; Linnenkamp, U.; Shaw, J.E. Global estimates of diabetes prevalence for 2013 and projections for 2035. Diabetes Res. Clin. Pract. 2014, 103, 137–149. [Google Scholar] [CrossRef] [PubMed]
- Taylor, R.; Valabhji, J.; Aveyard, P.; Paul, D. Prevention and reversal of Type 2 diabetes: Highlights from a symposium at the 2019 Diabetes UK Annual Professional Conference. Diabet. Med. 2018, 36, 359–365. [Google Scholar] [CrossRef] [PubMed]
- Pan, W.-H.; Yeh, W.-T.; Weng, L.-C. Epidemiology of metabolic syndrome in Asia. Asia Pac. J. Clin. Nutr. 2008, 17, 17. [Google Scholar]
- Angrisani, L.; Santonicola, A.; Iovino, P.; Vitiello, A.; Zundel, N.; Buchwald, H.; Scopinaro, N.J.O. Bariatric surgery and endoluminal procedures: IFSO worldwide survey 2014. Obes. Surg. 2017, 27, 2279–2289. [Google Scholar] [CrossRef] [PubMed]
- Perrone, F.; Bianciardi, E.; Ippoliti, S.; Nardella, J.; Fabi, F.; Gentileschi, P. Long-term effects of laparoscopic sleeve gastrectomy versus Roux-en-Y gastric bypass for the treatment of morbid obesity: A monocentric prospective study with minimum follow-up of 5 years. Updat. Surg. 2017, 69, 101–107. [Google Scholar] [CrossRef] [PubMed]
- Yang, J.J.; Wang, B.; Liang, Y.K.; Song, Z.C.; Gu, Y. Early clinical efficacy of laparoscopic sleeve gastrectomy as a bariatric surgery for obese patients: A uni-center report in China. Biomed. Environ. Sci. 2013, 26, 539–545. [Google Scholar]
- Kelley, D.E.; Goodpaster, B.H. Skeletal muscle triglyceride. An aspect of regional adiposity and insulin resistance. Diabetes Care 2001, 2, 255–266. [Google Scholar]
- Sivakumar, J.; Chong, L.; Ward, S.M.; Sutherland, T.R.; Hii, M.W. Body composition changes 1 month following bariatric surgery: RYGB vs LSG. Surg. Obes. Relat. Dis. 2018, 14, S148. [Google Scholar] [CrossRef]
- Davidson, L.E.; Yu, W.; Goodpaster, B.H.; Delany, J.P.; Widen, E.; Lemos, T.; Strain, G.W.; Pomp, A.; Courcoulas, A.P.; Lin, S.; et al. Fat-Free Mass and Skeletal Muscle Mass Five Years After Bariatric Surgery. Obesity 2018, 26, 1130–1136. [Google Scholar] [CrossRef]
- McPherron, A.C.; Guo, T.; Bond, N.D.; Gavrilova, O. Increasing muscle mass to improve metabolism. Adipocyte 2013, 2, 92–98. [Google Scholar] [CrossRef] [PubMed]
- Schiavo, L.; Scalera, G.; Pilone, V.; De Sena, G.; Quagliariello, V.; Iannelli, A.; Barbarisi, A. A Comparative Study Examining the Impact of a Protein-Enriched Vs Normal Protein Postoperative Diet on Body Composition and Resting Metabolic Rate in Obese Patients after Sleeve Gastrectomy. Obes. Surg. 2016, 27, 881–888. [Google Scholar] [CrossRef] [PubMed]
- Kim, S.-N.; Kim, J. Higher Appendicular Skeletal Muscle Mass Protects Metabolically Healthy Obese Boys but Not Girls from Cardiometabolic Abnormality. Int. J. Environ. Res. Public Health 2019, 16, 652. [Google Scholar] [CrossRef] [PubMed] [Green Version]
- Wells, J.; Miller, M.; Perry, B.; Ewing, J.A.; Hale, A.L.; Scott, J.D. Preservation of fat-free mass after bariatric surgery: A comparison of malabsorptive and restrictive procedures. Am. Surg. 2015, 81, 812–815. [Google Scholar] [CrossRef] [PubMed]
- World Health Organization. The Asia-Pacific Perspective: Redefining Obesity and Its Treatment; Health Communications Australia: Sydney, Australia, 2000. [Google Scholar]
- American Diabetes Association. 2. Classification and diagnosis of diabetes: Standards of Medical Care in Diabetes—2021. Diabetes Care 2021, 44 (Suppl. 1), S15–S33. [Google Scholar] [CrossRef]
- Mechanick, J.I.; Youdim, A.; Jones, D.B.; Garvey, W.T.; Hurley, D.L.; McMahon, M.M.; Heinberg, L.J.; Kushner, R.; Adams, T.D.; Shikora, S. Clinical practice guidelines for the perioperative nutritional, metabolic, and nonsurgical support of the bariatric surgery patient—2013 update: Cosponsored by American Association of Clinical Endocrinologists, the Obesity Society, and American Society for Metabolic & Bariatric Surgery. Obesity 2013, 21 (Suppl. 1), S1–S27. [Google Scholar]
- Sonne, D.P.; Hemmingsen, B. Comment on American Diabetes Association. Standards of Medical Care in Diabetes—2017. Diabetes Care 2017, 40 (Suppl. 1), S1–S135. Diabetes Care 2017, 40, e92–e93. [Google Scholar] [CrossRef] [Green Version]
- Lean, M.E.J.; Leslie, W.S.; Barnes, A.C.; Brosnahan, N.; Thom, G.; McCombie, L.; Peters, C.; Zhyzhneuskaya, S.; Al-Mrabeh, A.; Hollingsworth, K.G.; et al. Durability of a primary care-led weight-management intervention for remission of type 2 diabetes: 2-year results of the DiRECT open-label, cluster-randomised trial. Lancet Diabetes Endocrinol. 2019, 7, 344–355. [Google Scholar] [CrossRef] [Green Version]
- Hosmer, D.W., Jr.; Lemeshow, S.; Sturdivant, R.X. Applied Logistic Regression; John Wiley & Sons: Hoboken, NJ, USA, 2013; Volume 398. [Google Scholar]
- Schauer, P.R.; Bhatt, D.L.; Kirwan, J.P.; Wolski, K.; Brethauer, S.A.; Navaneethan, S.D.; Aminian, A.; Pothier, C.E.; Kim, E.S.; Nissen, S.E. Bariatric surgery versus intensive medical therapy for diabetes—3-year outcomes. N. Engl. J. Med. 2014, 370, 2002–2013. [Google Scholar] [CrossRef] [Green Version]
- Taylor, R.; Al Mrabeh, A.; Zhyzhneuskaya, S.; Peters, C.; Barnes, A.C.; Aribisala, B.S.; Hollingsworth, K.G.; Mathers, J.C.; Sattar, N.; Lean, M.E. Remission of human type 2 diabetes requires decrease in liver and pancreas fat content but is dependent upon capacity for β cell recovery. Cell Metab. 2018, 28, 547–556.e3. [Google Scholar] [CrossRef] [Green Version]
- Ramos-Levi, A.M.; Matia, P.; Cabrerizo, L.; Barabash, A.; Sanchez-Pernaute, A.; Calle-Pascual, A.L.; Torres, A.J.; Rubio, M.A. Statistical models to predict type 2 diabetes remission after bariatric surgery. J. Diabetes 2014, 6, 472–477. [Google Scholar] [CrossRef]
- Adiels, M.; Taskinen, M.-R.; Packard, C.; Caslake, M.J.; Soro-Paavonen, A.; Westerbacka, J.; Vehkavaara, S.; Häkkinen, A.; Olofsson, S.-O.; Yki-Järvinen, H.; et al. Overproduction of large VLDL particles is driven by increased liver fat content in man. Diabetology 2006, 49, 755–765. [Google Scholar] [CrossRef] [Green Version]
- Taskinen, M.-R. Diabetic dyslipidaemia: From basic research to clinical practice*. Diabetology 2003, 46, 733–749. [Google Scholar] [CrossRef] [PubMed] [Green Version]
- Isomaa, B.; Almgren, P.; Tuomi, T.; Forsén, B.; Lahti, K.; Nissén, M.; Taskinen, M.-R.; Groop, L. Cardiovascular Morbidity and Mortality Associated With the Metabolic Syndrome. Diabetes Care 2001, 24, 683–689. [Google Scholar] [CrossRef] [PubMed] [Green Version]
- Yki-Järvinen, H. Ectopic fat accumulation: An important cause of insulin resistance in humans. J. R. Soc. Med. 2002, 95 (Suppl. 42), 39–45. [Google Scholar] [PubMed]
- Gomes, D.L.; Moehlecke, M.; Da Silva, F.B.L.; Dutra, E.S.; Schaan, B.D.; de Carvalho, K.M.B. Whey Protein Supplementation Enhances Body Fat and Weight Loss in Women Long After Bariatric Surgery: A Randomized Controlled Trial. Obes. Surg. 2016, 27, 424–431. [Google Scholar] [CrossRef] [PubMed]
- Moizé, V.; Andreu, A.; Rodríguez, L.; Flores, L.; Ibarzabal, A.; Lacy, A.; Jiménez, A.; Vidal, J. Protein intake and lean tissue mass retention following bariatric surgery. Clin. Nutr. 2013, 32, 550–555. [Google Scholar] [CrossRef]
- Kelly, D.M.; Jones, T.H. Testosterone: A metabolic hormone in health and disease. J. Endocrinol. 2013, 217, R25–R45. [Google Scholar] [CrossRef] [Green Version]
- Ferraro, R.; Lillioja, S.; Fontvieille, A.-M.; Rising, R.; Bogardus, C.; Ravussin, E. Lower sedentary metabolic rate in women compared with men. J. Clin. Investig. 1992, 90, 780–784. [Google Scholar] [CrossRef]
- Donnelly, J.E.; Jakicic, J.; Gunderson, S. Diet and body composition. Sports Med. 1991, 12, 237–249. [Google Scholar] [CrossRef]
- Atlantis, E.; Martin, S.A.; Haren, M.T.; Taylor, A.W.; Wittert, G.A. Inverse associations between muscle mass, strength, and the metabolic syndrome. Metabolism 2009, 58, 1013–1022. [Google Scholar] [CrossRef] [PubMed]
- Moehlecke, M.; Blume, C.A.; Rheinheimer, J.; Trindade, M.R.M.; Crispim, D.; Leitã, C.B. Early reduction of resting energy expenditure and successful weight loss after Roux-en-Y gastric bypass. Surg. Obes. Relat. Dis. 2017, 13, 204–209. [Google Scholar] [CrossRef] [PubMed]
- Tamboli, R.A.; Hossain, H.A.; Marks, P.A.; Eckhauser, A.W.; Rathmacher, J.A.; Phillips, S.E.; Buchowski, M.S.; Chen, K.Y.; Abumrad, N.N. Body Composition and Energy Metabolism Following Roux-en-Y Gastric Bypass Surgery. Obesity 2010, 18, 1718–1724. [Google Scholar] [CrossRef] [Green Version]
- Kim, D.; Nam, S.; Ahn, C.; Kim, K.; Yoon, S.; Kim, J.; Cha, B.; Lim, S.; Lee, H.; Huh, K. Correlation Between Midthigh Low- Density Muscle and Insulin Resistance in Obese Nondiabetic Patients in Korea. Diabetes Care 2003, 26, 1825–1830. [Google Scholar] [CrossRef] [Green Version]
- Consitt, L.A.; Bell, J.A.; Houmard, J.A. Intramuscular lipid metabolism, insulin action, and obesity. IUBMB Life 2009, 61, 47–55. [Google Scholar] [CrossRef] [Green Version]
- SamjooI, A.; Safdar, A.; Hamadeh, M.; Glover, A.W.; Mocellin, N.J.; Santana, J.; Little, J.P.; Steinberg, G.; Raha, S.; Tarnopolsky, M.A. Markers of Skeletal Muscle Mitochondrial Function and Lipid Accumulation Are Moderately Associated with the Homeostasis Model Assessment Index of Insulin Resistance in Obese Men. PLoS ONE 2013, 8, e66322. [Google Scholar] [CrossRef] [Green Version]
- Goodpaster, B.H.; Kelley, D.E. Skeletal muscle triglyceride: Marker or mediator of obesity-induced insulin resistance in type 2 diabetes mellitus? Curr. Diabetes Rep. 2002, 2, 216–222. [Google Scholar] [CrossRef]
- Marks, B.L.; Rippe, J.M. The Importance of Fat Free Mass Maintenance in Weight Loss Programmes. Sports Med. 1996, 22, 273–281. [Google Scholar] [CrossRef]
- Mithal, A.; Bonjour, J.-P.; Boonen, S.; Burckhardt, P.; Degens, H.; Fuleihan, G.E.H.; Josse, R.; Lips, P.; Torres, J.M.; Rizzoli, R. Impact of nutrition on muscle mass, strength, and performance in older adults. Osteoporos Int. 2013, 24, 1555–1566. [Google Scholar] [CrossRef] [PubMed]
- Lombardo, M.; Franchi, A.; Rinaldi, R.B.; Rizzo, G.; D’adamo, M.; Guglielmi, V.; Bellia, A.; Padua, E.; Caprio, M.; Sbraccia, P. Long-Term Iron and Vitamin B12 Deficiency Are Present after Bariatric Surgery, despite the Widespread Use of Supplements. Int. J. Environ. Res. Public Health 2021, 18, 4541. [Google Scholar] [CrossRef] [PubMed]
- Emerenziani, G.P.; Guidetti, L.; Gallotta, M.C.; Franciosi, E.; Buzzachera, C.F.; Baldari, C. Exercise intensity and gender difference of 3 different salsa dancing conditions. Int. J. Sports Med. 2012, 34, 330–335. [Google Scholar] [CrossRef] [PubMed]
- Zouhal, H.; Ben Abderrahman, A.; Khodamoradi, A.; Saeidi, A.; Jayavel, A.; Hackney, A.C.; Laher, I.; Algotar, A.M.; Jabbour, G. Effects of physical training on anthropometrics, physical and physiological capacities in individuals with obesity: A systematic review. Obes. Rev. 2020, 21, 13039. [Google Scholar] [CrossRef] [PubMed]
- Verdich, C.; Barbe, P.; Petersen, M.; Grau, K.; Ward, L.; Macdonald, I.; Sørensen, T.; Oppert, J.-M. Changes in body composition during weight loss in obese subjects in the NUGENOB study: Comparison of bioelectrical impedance vs. dual-energy X-ray absorptiometry. Diabetes Metab. 2011, 37, 222–229. [Google Scholar] [CrossRef] [PubMed]




| Characteristic | Females (n = 64) | Males (n = 55) | p-Value |
|---|---|---|---|
| Age (yrs) | 42.6 (9.5) | 41.1 (9.4) | 0.35 |
| BMI (kg/m2) | 41.4 (6.4) | 43.3 (7.4) | 0.17 |
| Body weight (kg) | 107.2 (18.2) | 129.8 (25.4) | <0.01 |
| Height (cm) | 161.1 (0.1) | 172.8 (0.1) | <0.01 |
| FFM (kg) | 55.4 (8.2) | 74.6 (12.9) | <0.01 |
| FFM (%) | 52.0 (4.3) | 57.9 (6.4) | <0.01 |
| SM (kg) | 30.8 (5.0) | 42.2 (7.7) | <0.01 |
| SM (%) | 29.6 (2.4) | 34.2 (4.1) | <0.01 |
| FM (kg) | 51.8 (12.0) | 55.6 (16.8) | 0.22 |
| FM (%) | 47.9 (4.3) | 29.3 (8.4) | <0.01 |
| FBG (mg/dL) | 172.0 (70.1) | 212.5 (84.6) | 0.01 |
| HbA1c (%) | 7.7 (1.7) | 8.2 (1.6) | 0.11 |
| TC (mg/dL) | 193.1 (44.5) | 184.7 (37.2) | 0.26 |
| LDL-C (mg/dL) | 126.7 (41.8) | 123.2 (35.9) | 0.63 |
| TG (mg/dL) | 193.1 (44.4) | 184.7 (37.2) | 0.13 |
| Variables | Females (n = 64) | Males (n = 55) | p-Value # |
|---|---|---|---|
| BMI (kg/m2) | −10.4 (3.8) * | −12.1 (4.8) | 0.04 |
| Body weight (kg) | −27.1 (9.9) * | −36.4 (14.4) * | <0.01 |
| Weight loss (%) | −24.9 (7.1) | −27.7 (8.7) | 0.07 |
| FM (kg) | −20.9 (8.0) * | −27.0 (13.1) * | 0.01 |
| FM (%) | −9.9 (5.0) * | −12.8 (6.2) * | 0.03 |
| FFM (kg) | −6.2 (4.1) * | −9.5 (6.4) * | 0.01 |
| FFM (%) | +9.9 (5.0) * | +12.8 (8.0) * | 0.03 |
| SM (kg) | −3.9 (2.7) * | −6.2 (3.9) * | 0.01 |
| SM (%) | +4.9 (6.2) * | +6.5 (4.3) * | 0.04 |
| 12-Month Post-LSG | Total Participant a | Females (n = 64) b | Males (n = 55) b | |||
|---|---|---|---|---|---|---|
| OR (95% CI) | p-Value | OR (95% CI) | p-Value | OR (95% CI) | p-Value | |
| WL (%) | 1.13 (1.05–1.22) | <0.01 * | 1.11 (1.01–1.23) | 0.04 * | 1.14 (1.03–1.25) | <0.01 * |
| FM loss (%) | 1.14 (1.04–1.26) | <0.01 * | 1.15 (1.02–1.31) | 0.03 * | 1.16 (1.03–1.31) | 0.01 * |
| FFM gain (%) | 1.14 (1.04–1.26) | <0.01 * | 1.09 (0.95–1.24) | 0.21 | 1.16 (1.02–1.32) | 0.02 * |
| SM gain (%) | 1.16 (1.01–1.34) | 0.04 * | 1.02 (0.84–1.25) | 0.83 | 1.26 (1.02–1.55) | 0.03 * |
Publisher’s Note: MDPI stays neutral with regard to jurisdictional claims in published maps and institutional affiliations. |
© 2022 by the authors. Licensee MDPI, Basel, Switzerland. This article is an open access article distributed under the terms and conditions of the Creative Commons Attribution (CC BY) license (https://creativecommons.org/licenses/by/4.0/).
Share and Cite
Nguyen, N.T.K.; Vo, N.-P.; Huang, S.-Y.; Wang, W. Fat-Free Mass and Skeletal Muscle Mass Gain Are Associated with Diabetes Remission after Laparoscopic Sleeve Gastrectomy in Males but Not in Females. Int. J. Environ. Res. Public Health 2022, 19, 978. https://doi.org/10.3390/ijerph19020978
Nguyen NTK, Vo N-P, Huang S-Y, Wang W. Fat-Free Mass and Skeletal Muscle Mass Gain Are Associated with Diabetes Remission after Laparoscopic Sleeve Gastrectomy in Males but Not in Females. International Journal of Environmental Research and Public Health. 2022; 19(2):978. https://doi.org/10.3390/ijerph19020978
Chicago/Turabian StyleNguyen, Ngan Thi Kim, Nguyen-Phong Vo, Shih-Yi Huang, and Weu Wang. 2022. "Fat-Free Mass and Skeletal Muscle Mass Gain Are Associated with Diabetes Remission after Laparoscopic Sleeve Gastrectomy in Males but Not in Females" International Journal of Environmental Research and Public Health 19, no. 2: 978. https://doi.org/10.3390/ijerph19020978
APA StyleNguyen, N. T. K., Vo, N.-P., Huang, S.-Y., & Wang, W. (2022). Fat-Free Mass and Skeletal Muscle Mass Gain Are Associated with Diabetes Remission after Laparoscopic Sleeve Gastrectomy in Males but Not in Females. International Journal of Environmental Research and Public Health, 19(2), 978. https://doi.org/10.3390/ijerph19020978

