Analysis of Movement Entropy during Community Dance Programs for People with Parkinson’s Disease and Older Adults: A Cohort Study
Abstract
:1. Introduction
2. Materials and Methods
2.1. Study Design
- Study design, institutional approvals, preparation and equipment calibration;
- Solicitation of PD and OA dance volunteers at the dance site;
- Acquisition of dynamic data during dance;
- Data validation and time-based correlation with video captured during class;
- Extraction of statistically relevant movement features for PD and OA participants;
- Identification of significant movement features related to motor skill performance;
- Establishment of a framework to define future movement patterns that will improve critical movement features to optimize motor skill performance.
2.2. Ethical Considerations
2.3. Participants and Class Overview
2.4. Data Acquisition
2.5. Study Procedure
2.6. Data Analysis
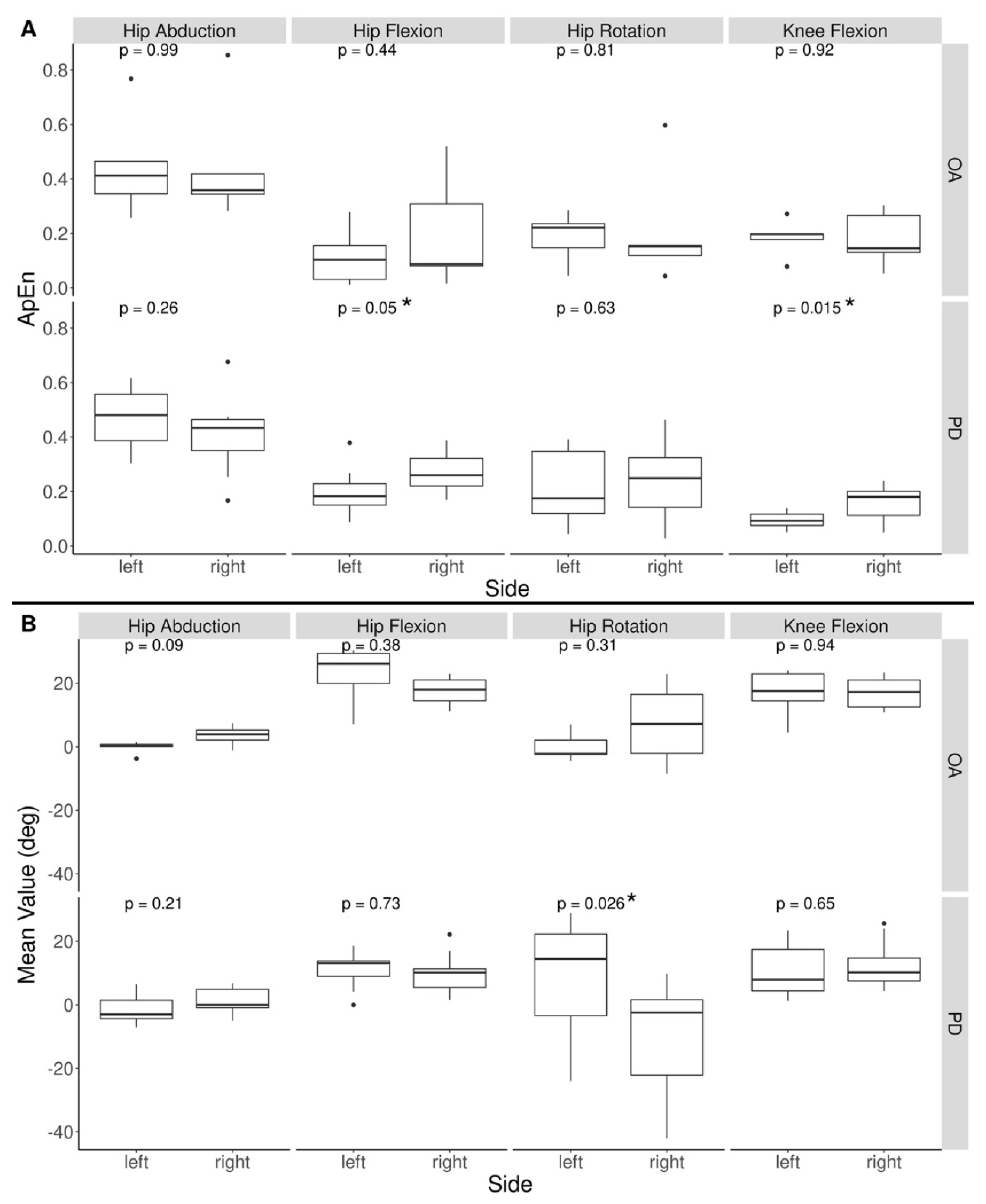
3. Results
4. Discussion
5. Conclusions
Supplementary Materials
Author Contributions
Funding
Institutional Review Board Statement
Informed Consent Statement
Data Availability Statement
Acknowledgments
Conflicts of Interest
References
- Damier, P.; Hirsch, E.C.; Agid, Y.; Graybiel, A.M. The substantia nigra of the human brain II. Patterns of loss of dopamine-containing neurons in Parkinson’s disease. Brain 1999, 122, 1437–1448. [Google Scholar] [CrossRef]
- Tysnes, O.-B.; Storstein, A. Epidemiology of Parkinson’s disease. J. Neural Transm. 2017, 124, 901–905. [Google Scholar] [CrossRef]
- Hou, J.-G.G.; Lai, E.C. Non-motor Symptoms of Parkinson’s Disease. Int. J. Gerontol. 2007, 1, 53–64. [Google Scholar] [CrossRef] [Green Version]
- Todorova, A.; Jenner, P.; Chaudhuri, K.R. Non-motor Parkinson’s: Integral to motor Parkinson’s, yet often neglected. Pract. Neurol. 2014, 14, 310–322. [Google Scholar] [CrossRef] [PubMed]
- Zesiewicz, T.A.; Baker, M.J.; Wahba, M.; Hauser, R.A. Autonomic nervous system dysfunction in Parkinson’s disease. Curr. Treat. Options Neurol. 2003, 5, 149–160. [Google Scholar] [CrossRef]
- Grosch, J.; Winkler, J.; Kohl, Z. Early Degeneration of Both Dopaminergic and Serotonergic Axons—A Common Mechanism in Parkinson’s Disease. Front. Cell. Neurosci. 2016, 10, 293. [Google Scholar] [CrossRef] [Green Version]
- Marras, C.; Beck, J.C.; Bower, J.H.; Roberts, E.; Ritz, B.; Ross, G.W.; Abbott, R.D.; Savica, R.; Eeden, S.K.V.D.; Willis, A.W.; et al. Prevalence of Parkinson’s disease across North America. NPJ Parkinson’s Dis. 2018, 4, 21. [Google Scholar] [CrossRef] [Green Version]
- Sherrington, C.; Michaleff, Z.A.; Fairhall, N.; Paul, S.S.; Tiedemann, A.; Whitney, J.; Cumming, R.G.; Herbert, R.D.; Close, J.C.T.; Lord, S.R. Exercise to prevent falls in older adults: An updated systematic review and meta-analysis. Br. J. Sports Med. 2017, 51, 1750–1758. [Google Scholar] [CrossRef] [PubMed]
- Cadore, E.L.; Rodríguez-Mañas, L.; Sinclair, A.; Izquierdo, M. Effects of different exercise interventions on risk of falls, gait ability, and balance in physically frail older adults: A systematic review. Rejuvenation Res. 2013, 16, 105–114. [Google Scholar] [CrossRef] [Green Version]
- Shen, X.; Wong-Yu, I.S.K.; Mak, M.K.Y. Effects of Exercise on Falls, Balance, and Gait Ability in Parkinson’s Disease: A Meta-analysis. Neurorehabil. Neural Repair 2015, 30, 512–527. [Google Scholar] [CrossRef] [Green Version]
- Shumway-Cook, A.; Gruber, W.; Baldwin, M.; Liao, S. The Effect of Multidimensional Exercises on Balance, Mobility, and Fall Risk in Community-Dwelling Older Adults. Phys. Ther. 1997, 77, 46–57. [Google Scholar] [CrossRef] [Green Version]
- Liberman, K.; Forti, L.N.; Beyer, I.; Bautmans, I. The effects of exercise on muscle strength, body composition, physical functioning and the inflammatory profile of older adults: A systematic review. Curr. Opin. Clin. Nutr. Metab. Care 2017, 20, 30–53. [Google Scholar] [CrossRef] [PubMed]
- Yang, P.-Y.; Ho, K.-H.; Chen, H.-C.; Chien, M.-Y. Exercise training improves sleep quality in middle-aged and older adults with sleep problems: A systematic review. J. Physiother. 2012, 58, 157–163. [Google Scholar] [CrossRef] [Green Version]
- Barbour, K.A.; Blumenthal, J.A. Exercise training and depression in older adults. Neurobiol. Aging 2005, 26, 119–123. [Google Scholar] [CrossRef]
- Schuch, F.B.; Vancampfort, D.; Rosenbaum, S.; Richards, J.; Ward, P.B.; Veronese, N.; Solmi, M.; Cadore, E.L.; Stubbs, B. Exercise for depression in older adults: A meta-analysis of randomized controlled trials adjusting for publication bias. Rev. Bras. Psiquiatr. 2016, 38, 247–254. [Google Scholar] [CrossRef] [Green Version]
- Kok, R.M.; Reynolds, C.F., III. Management of Depression in Older Adults: A Review. JAMA 2017, 317, 2114–2122. [Google Scholar] [CrossRef]
- Dibble, L.E.; Hale, T.F.; Marcus, R.L.; Gerber, J.P.; LaStayo, P.C. High intensity eccentric resistance training decreases bradykinesia and improves quality of life in persons with Parkinson’s disease: A preliminary study. Parkinsonism Relat. Disord. 2009, 15, 752–757. [Google Scholar] [CrossRef] [PubMed]
- Ridgel, A.L.; Ault, D.L. High-Cadence Cycling Promotes Sustained Improvement in Bradykinesia, Rigidity, and Mobility in Individuals with Mild-Moderate Parkinson’s Disease. Available online: https://www.hindawi.com/journals/pd/2019/4076862/ (accessed on 25 January 2020).
- Summa, S.; Basteris, A.; Betti, E.; Sanguineti, V. Adaptive training with full-body movements to reduce bradykinesia in persons with Parkinson’s disease: A pilot study. J. Neuroeng. Rehabil. 2015, 12, 16. [Google Scholar] [CrossRef] [Green Version]
- Ridgel, A.L.; Muller, M.D.; Kim, C.-H.; Fickes, E.J.; Mera, T.O. Acute Effects of Passive Leg Cycling on Upper Extremity Tremor and Bradykinesia in Parkinson’s Disease. Phys. Sportsmed. 2011, 39, 83–93. [Google Scholar] [CrossRef] [Green Version]
- Vieira de Moraes Filho, A.; Chaves, S.N.; Martins, W.R.; Tolentino, G.P.; Homem, R.D.C.P.P.; de Farias, G.L.; Fischer, B.L.; Oliveira, J.A.; Pereira, S.K.A.; Vidal, S.E.; et al. Progressive Resistance Training Improves Bradykinesia, Motor Symptoms and Functional Performance in Patients with Parkinson’s Disease. Clin. Interv. Aging 2020, 15, 87–95. [Google Scholar] [CrossRef] [PubMed] [Green Version]
- Farashi, S.; Kiani, L.; Bashirian, S. Effect of Exercise on Parkinson’s Disease Tremor: A Meta-analysis Study. Tremor Hyperkinetic Mov. 2021, 11, 15. [Google Scholar] [CrossRef]
- Choi, H.; Cho, K.-H.; Jin, C.; Lee, J.; Kim, T.-H.; Jung, W.-S.; Moon, S.-K.; Ko, C.-N.; Cho, S.-Y.; Jeon, C.-Y.; et al. Exercise Therapies for Parkinson’s Disease: A Systematic Review and Meta-Analysis. Park. Dis. 2020, 2020, e2565320. [Google Scholar] [CrossRef]
- Ridgel, A.L.; Vitek, J.L.; Alberts, J.L. Forced, not voluntary, exercise improves motor function in Parkinson’s disease patients. Neurorehabil. Neural Repair 2009, 23, 600–608. [Google Scholar] [CrossRef]
- Ridgel, A.L.; Peacock, C.A.; Fickes, E.J.; Kim, C.-H. Active-Assisted Cycling Improves Tremor and Bradykinesia in Parkinson’s Disease. Arch. Phys. Med. Rehabil. 2012, 93, 2049–2054. [Google Scholar] [CrossRef] [PubMed]
- Yang, Y.; Li, X.-Y.; Gong, L.; Zhu, Y.-L.; Hao, Y.-L. Tai Chi for Improvement of Motor Function, Balance and Gait in Parkinson’s Disease: A Systematic Review and Meta-Analysis. PLoS ONE 2014, 9, e102942. [Google Scholar] [CrossRef]
- Hackney, M.E.; Earhart, G.M. Short duration, intensive tango dancing for Parkinson disease: An uncontrolled pilot study. Complement. Ther. Med. 2009, 17, 203–207. [Google Scholar] [CrossRef] [PubMed] [Green Version]
- Lötzke, D.; Ostermann, T.; Büssing, A. Argentine tango in Parkinson disease—A systematic review and meta-analysis. BMC Neurol. 2015, 15, 226. [Google Scholar] [CrossRef] [Green Version]
- Allen, J.L.; McKay, J.L.; Sawers, A.; Hackney, M.E.; Ting, L.H. Increased neuromuscular consistency in gait and balance after partnered, dance-based rehabilitation in Parkinson’s disease. J. Neurophysiol. 2017, 118, 363–373. [Google Scholar] [CrossRef] [PubMed] [Green Version]
- McKee, K.E.; Hackney, M.E. The Effects of Adapted Tango on Spatial Cognition and Disease Severity in Parkinson’s Disease. J. Mot. Behav. 2013, 45, 519–529. [Google Scholar] [CrossRef] [PubMed]
- Blandy, L.M.; Beevers, W.A.; Fitzmaurice, K.; Morris, M.E. Therapeutic Argentine Tango Dancing for People with Mild Parkinson’s Disease: A Feasibility Study. Front. Neurol. 2015, 6, 122. [Google Scholar] [CrossRef] [PubMed] [Green Version]
- Hackney, M.E.; Earhart, G.M. Recommendations for Implementing Tango Classes for Persons with Parkinson Disease. Am. J. Dance Ther. 2010, 32, 41–52. [Google Scholar] [CrossRef]
- Hackney, M.E.; Earhart, G.M. Effects of dance on movement control in Parkinson’s disease: A comparison of Argentine tango and American ballroom. J. Rehabil. Med. 2009, 41, 475–481. [Google Scholar] [CrossRef] [Green Version]
- Zaletel, P.; Vuckovic, G.; James, N.; Rebula, A.; Zagorc, M. A time-motion analysis of ballroom dancers using an automatic tracking system. Kinesiol. Slov. 2010, 16, 46–56. [Google Scholar]
- Lipsitz, L.A.; Goldberger, A.L. Loss of “complexity” and aging. Potential applications of fractals and chaos theory to senescence. JAMA 1992, 267, 1806–1809. [Google Scholar] [CrossRef] [PubMed]
- Pincus, S.M. Approximate entropy as a measure of system complexity. Proc. Natl. Acad. Sci. USA 1991, 88, 2297–2301. [Google Scholar] [CrossRef] [PubMed] [Green Version]
- Polskaia, N.; Richer, N.; Dionne, E.; Lajoie, Y. Continuous cognitive task promotes greater postural stability than an internal or external focus of attention. Gait Posture 2015, 41, 454–458. [Google Scholar] [CrossRef]
- Richer, N.; Saunders, D.; Polskaia, N.; Lajoie, Y. The effects of attentional focus and cognitive tasks on postural sway may be the result of automaticity. Gait Posture 2017, 54, 45–49. [Google Scholar] [CrossRef]
- Georgoulis, A.D.; Moraiti, C.; Ristanis, S.; Stergiou, N. A Novel Approach to Measure Variability in the Anterior Cruciate Ligament Deficient Knee During Walking: The Use of the Approximate Entropy in Orthopaedics. J. Clin. Monit. Comput. 2006, 20, 11–18. [Google Scholar] [CrossRef]
- Vaillancourt, D.E.; Newell, K.M. The dynamics of resting and postural tremor in Parkinson’s disease. Clin. Neurophysiol. 2000, 111, 2046–2056. [Google Scholar] [CrossRef]
- Gil, L.M.; Nunes, T.P.; Silva, F.H.S.; Faria, A.C.D.; Melo, P.L. Analysis of human tremor in patients with Parkinson disease using entropy measures of signal complexity. In Proceedings of the 2010 Annual International Conference of the IEEE Engineering in Medicine and Biology, Buenos Aires, Argentina, 31 August–4 September 2010; pp. 2786–2789. [Google Scholar]
- Memedi, M.; Aghanavesi, S.; Westin, J. A method for measuring Parkinson’s disease related temporal irregularity in spiral drawings. In Proceedings of the 2016 IEEE-EMBS International Conference on Biomedical and Health Informatics (BHI), Las Vegas, NV, USA, 24–27 February 2016; pp. 410–413. [Google Scholar]
- Powell, D.W.; Muthumani, A.; Xia, R. Parkinson’s Disease is Associated With Greater Regularity of Repetitive Voluntary Movements. Motor Control 2014, 18, 263–277. [Google Scholar] [CrossRef]
- Ridgel, A.L.; Abdar, H.M.; Alberts, J.L.; Discenzo, F.M.; Loparo, K.A. Variability in Cadence During Forced Cycling Predicts Motor Improvement in Individuals With Parkinson’s Disease. IEEE Trans. Neural Syst. Rehabil. Eng. 2013, 21, 481–489. [Google Scholar] [CrossRef] [Green Version]
- Mohammadi-Abdar, H.; Ridgel, A.L.; Discenzo, F.M.; Phillips, R.S.; Walter, B.L.; Loparo, K.A. Test and validation of a smart exercise bike for motor rehabilitation in individuals with Parkinson’s Disease. IEEE Trans Neural Syst. Rehabil. 2016, 24, 1254–1264. [Google Scholar] [CrossRef] [Green Version]
- Hackney, M.E.; Earhart, G.M. Health-related quality of life and alternative forms of exercise in Parkinson disease. Parkinsonism Relat. Disord. 2009, 15, 644–648. [Google Scholar] [CrossRef] [Green Version]
- Carapellotti, A.M.; Stevenson, R.; Doumas, M. The efficacy of dance for improving motor impairments, non-motor symptoms, and quality of life in Parkinson’s disease: A systematic review and meta-analysis. PLoS ONE 2020, 15, e0236820. [Google Scholar] [CrossRef]
- McRae, C.; Leventhal, D.; Westheimer, O.; Mastin, T.; Utley, J.; Russell, D. Long-term effects of Dance for PD® on self-efficacy among persons with Parkinson’s disease. Arts Health 2018, 10, 85–96. [Google Scholar] [CrossRef]
- Keogh, J.W.L.; Kilding, A.; Pidgeon, P.; Ashley, L.; Gillis, D. Physical benefits of dancing for healthy older adults: A review. J. Aging Phys. Act. 2009, 17, 479–500. [Google Scholar] [CrossRef] [PubMed] [Green Version]
- McNeely, M.; Duncan, R.; Earhart, G. Impacts of dance on non-motor symptoms, participation, and quality of life in Parkinson disease and healthy older adults. Maturitas 2015, 82, 336–341. [Google Scholar] [CrossRef] [Green Version]
- Dance for PD. Available online: https://danceforparkinsons.org/ (accessed on 29 October 2021).
- National Dance Teachers Association of America (NDTA). Certification Process. Available online: http://www.nationaldanceteachers.org/certification (accessed on 29 October 2021).
- NORAXON myoMOTIONTM|Noraxon USA. 2019. Available online: https://www.noraxon.com/our-products/myomotion/ (accessed on 16 September 2019).
- Berti, A.; Pini, M.; Ferrarello, F. Argentine tango in the care of Parkinson’s disease: A systematic review and analysis of the intervention. Complement. Ther. Med. 2020, 52, 102474. [Google Scholar] [CrossRef]
- Hackney, M.E.; Kantorovich, S.; Levin, R.; Earhart, G.M. Effects of Tango on Functional Mobility in Parkinson’s Disease: A Preliminary Study. J. Neurol. Phys. Ther. 2007, 31, 173. [Google Scholar] [CrossRef] [PubMed] [Green Version]
- Romenets, S.R.; Anang, J.; Fereshtehnejad, S.-M.; Pelletier, A.; Postuma, R. Tango for treatment of motor and non-motor manifestations in Parkinson’s disease: A randomized control study. Complement. Ther. Med. 2015, 23, 175–184. [Google Scholar] [CrossRef]
- Kaffashi, F.; Foglyano, R.; Wilson, C.G.; Loparo, K.A. The effect of time delay on Approximate & Sample Entropy calculations. Phys. Nonlinear Phenom. 2008, 237, 3069–3074. [Google Scholar] [CrossRef]
- Espinosa, R.A.; Calderon, R. Choice of tau in the estimation of ApEn and SampEn entropy of EMG, ECG and EEG signals. In Proceedings of the 2019 XXII Symposium on Image, Signal Processing and Artificial Vision (STSIVA), Bucaramanga, Colombia, 24–26 April 2019; IEEE: Bucaramanga, Colombia, 2019; pp. 1–5. [Google Scholar]
- R Core Team. A Language and Environment for Statistical Computing. R Foundation for Statistical Computing, Vienna, Austria. Available online: https://www.R-project.org/ (accessed on 26 October 2020).
- Kassambara, A. Pipe-Friendly Framework for Basic Statistical Tests [R Package Rstatix Version 0.7.0]. Available online: https://CRAN.R-project.org/package=rstatix (accessed on 8 June 2021).
- Wickham, H. ggplot2: Elegant Graphics for Data Analysis; Springer: New York, NY, USA, 2016; ISBN 978-3-319-24277-4. [Google Scholar]
- Kassambara, A. Ggpubr: “Ggplot2” Based Publication Ready Plots [R Package Ggpubr Version 0.4.0]. Comprehensive R Archive Network (CRAN). Available online: https://CRAN.R-project.org/package=ggpubr (accessed on 25 May 2021).
- Alberts, J.L.; Phillips, M.; Lowe, M.J.; Frankemolle, A.; Thota, A.; Beall, E.B.; Feldman, M.; Ahmed, A.; Ridgel, A.L. Cortical and motor responses to acute forced exercise in Parkinson’s disease. Parkinsonism Relat. Disord. 2016, 24, 56–62. [Google Scholar] [CrossRef] [PubMed] [Green Version]
- Konczak, J.; Corcos, D.M.; Horak, F.; Poizner, H.; Shapiro, M.; Tuite, P.; Volkmann, J.; Maschke, M. Proprioception and motor control in Parkinson’s disease. J. Mot. Behav. 2009, 41, 543–552. [Google Scholar] [CrossRef] [PubMed]
- Elangovan, N.; Tuite, P.J.; Konczak, J. Somatosensory Training Improves Proprioception and Untrained Motor Function in Parkinson’s Disease. Front. Neurol. 2018, 9, 1053. [Google Scholar] [CrossRef] [PubMed] [Green Version]






| Foxtrot | Line Dance | Tango | Waltz | |||||
|---|---|---|---|---|---|---|---|---|
| PD | OA | PD | OA | PD | OA | PD | OA | |
| Participants | 2 | 1 | 2 | 2 | 5 | 2 | 1 | 2 |
| Number of recordings | 4 | 2 | 2 | 2 | 13 | 4 | 1 | 3 |
| Mean session time (min) | 1.8 | 3.2 | 2.0 | 4.1 | 2.3 | 3.5 | 1.0 | 3.0 |
Publisher’s Note: MDPI stays neutral with regard to jurisdictional claims in published maps and institutional affiliations. |
© 2022 by the authors. Licensee MDPI, Basel, Switzerland. This article is an open access article distributed under the terms and conditions of the Creative Commons Attribution (CC BY) license (https://creativecommons.org/licenses/by/4.0/).
Share and Cite
Gates, P.; Discenzo, F.M.; Kim, J.H.; Lemke, Z.; Meggitt, J.; Ridgel, A.L. Analysis of Movement Entropy during Community Dance Programs for People with Parkinson’s Disease and Older Adults: A Cohort Study. Int. J. Environ. Res. Public Health 2022, 19, 655. https://doi.org/10.3390/ijerph19020655
Gates P, Discenzo FM, Kim JH, Lemke Z, Meggitt J, Ridgel AL. Analysis of Movement Entropy during Community Dance Programs for People with Parkinson’s Disease and Older Adults: A Cohort Study. International Journal of Environmental Research and Public Health. 2022; 19(2):655. https://doi.org/10.3390/ijerph19020655
Chicago/Turabian StyleGates, Peter, Fred M. Discenzo, Jin Hyun Kim, Zachary Lemke, Joan Meggitt, and Angela L. Ridgel. 2022. "Analysis of Movement Entropy during Community Dance Programs for People with Parkinson’s Disease and Older Adults: A Cohort Study" International Journal of Environmental Research and Public Health 19, no. 2: 655. https://doi.org/10.3390/ijerph19020655
APA StyleGates, P., Discenzo, F. M., Kim, J. H., Lemke, Z., Meggitt, J., & Ridgel, A. L. (2022). Analysis of Movement Entropy during Community Dance Programs for People with Parkinson’s Disease and Older Adults: A Cohort Study. International Journal of Environmental Research and Public Health, 19(2), 655. https://doi.org/10.3390/ijerph19020655

