Association between Fitness Level and Physical Match Demands of Professional Female Football Referees
Abstract
:1. Introduction
2. Materials and Methods
2.1. Experimental Approach
2.2. Subjects
2.3. Procedure
2.4. Statistical Analysis
3. Results
4. Discussion
5. Conclusions
Practical Application
Author Contributions
Funding
Institutional Review Board Statement
Informed Consent Statement
Data Availability Statement
Acknowledgments
Conflicts of Interest
References
- Schmidt, S.L.; Schmidt, G.J.; Padilla, C.S.; Simões, E.N.; Tolentino, J.C.; Barroso, P.R.; Narciso, J.H.; Godoy, E.S.; Costa Filho, R.L. Decrease in attentional performance after repeated bouts of high intensity exercise in association-football referees and assistant referees. Front. Psychol. 2019, 10, 2014. [Google Scholar] [CrossRef] [PubMed]
- Torres-Ronda, L.; Beanland, E.; Whitehead, S.; Sweeting, A.; Clubb, J. Tracking Systems in Team Sports: A narrative review of applications of the data and sport specific analysis. Sports Med.-Open 2022, 8, 1–22. [Google Scholar] [CrossRef] [PubMed]
- Ardigò, L.P. Low-cost match analysis of Italian sixth and seventh division soccer refereeing. J. Strength Cond. Res. 2010, 24, 2532–2538. [Google Scholar] [CrossRef] [PubMed]
- Barbero-Álvarez, J.C.; Boullosa, D.A.; Nakamura, F.Y.; Andrín, G.; Castagna, C. Physical and physiological demands of field and assistant soccer referees during America’s cup. J. Strength Cond. Res. 2012, 26, 1383–1388. [Google Scholar] [CrossRef]
- Barbero-Álvarez, J.C.; Coutts, A.; Granda, J.; Barbero-Álvarez, V.; Castagna, C. The validity and reliability of a global positioning satellite system device to assess speed and repeated sprint ability (RSA) in athletes. J. Sci. Med. Sport 2010, 13, 232–235. [Google Scholar] [CrossRef]
- Meckel, Y.; Balikin, K.; Eliakim, A. Pre-and mid-season repeated sprint ability of soccer referees from the first and second divisions. Int. J. Sports Sci. Coach. 2020, 15, 82–90. [Google Scholar] [CrossRef]
- Schenk, K.; Bizzini, M.; Gatterer, H. Exercise physiology and nutritional perspectives of elite soccer refereeing. Scand. J. Med. Sci. Sports 2018, 28, 782–793. [Google Scholar] [CrossRef]
- Bizzini, M.; Junge, A.; Bahr, R.; Dvorak, J. Female soccer referees selected for the FIFA Women’s World Cup 2007: Survey of injuries and musculoskeletal problems. Br. J. Sports Med. 2009, 43, 936–942. [Google Scholar] [CrossRef]
- Mallo, J.; Veiga, S.; Lopez De Subijana, C.; Navarro, E. Activity profile of top-class female soccer refereeing in relation to the position of the ball. J. Sci. Med. Sport 2010, 13, 129–132. [Google Scholar] [CrossRef]
- Bravo, D.F.; Impellizzeri, F.M.; Rampinini, E.; Castagna, C.; Bishop, D.; Wisloff, U. Sprint vs. interval training in football. Int. J. Sports Med. 2008, 29, 668–674. [Google Scholar] [CrossRef] [Green Version]
- Winther, A.K.; Baptista, I.; Pedersen, S.; Randers, M.B.; Johansen, D.; Krustrup, P.; Pettersen, S.A. Position specific physical performance and running intensity fluctuations in elite women’s football. Scand. J. Med. Sci. Sports 2021, 32, 105–114. [Google Scholar] [CrossRef] [PubMed]
- Castagna, C.; Abt, G.; D’Ottavio, S. Physiological aspects of soccer refereeing performance and training. Sports Med. 2007, 37, 625–646. [Google Scholar] [PubMed]
- Costa, E.C.; Vieira, C.M.A.; Moreira, A.; Ugrinowitsch, C.; Castagna, C.; Aoki, M.S. Monitoring external and internal loads of Brazilian soccer referees during official matches. J. Sports Sci. Med. 2013, 12, 559. [Google Scholar] [PubMed]
- Weston, M.; Castagna, C.; Impellizzeri, F.M.; Bizzini, M.; Williams, A.M.; Gregson, W. Science and medicine applied to soccer refereeing. Sports Med. 2012, 42, 615–631. [Google Scholar] [PubMed]
- Castagna, C.; Bizzini, M.; D’Ottavio, S.; Araújo Póvoas, S.C. Sex differences in aerobic fitness in top-class soccer referees. J. Strength Cond. Res. 2018, 32, 3216–3221. [Google Scholar] [CrossRef] [PubMed]
- Casajús, J.A.; Matute-Llorente, A.; Herrero, H.; González-Agüero, A. Body composition in Spanish soccer referees. Meas. Control 2014, 47, 178–184. [Google Scholar] [CrossRef]
- Castillo, D.; Weston, M.; McLaren, S.J.; Cámara, J.; Yanci, J. Relationships between internal and external match-load indicators in soccer match officials. Int. J. Sports Physiol. Perform. 2017, 12, 922–927. [Google Scholar] [CrossRef]
- Moreno-Pérez, V.; Martín-Sánchez, M.L.; Del Coso, J.; Felipe, J.L.; Courel-Ibañez, J.; Sánchez-Sánchez, J. Impact of COVID-19 lockdown on match activity and physical performance in professional football referees. Biol. Sport 2021, 38, 761. [Google Scholar] [CrossRef]
- Castillo, D.; Cámara, J.; Lozano, D.; Berzosa, C.; Yanci, J. The association between physical performance and match-play activities of field and assistants soccer referees. Res. Sports Med. 2019, 27, 283–297. [Google Scholar] [CrossRef]
- Fuller, C.W.; Ekstrand, J.; Junge, A.; Andersen, T.E.; Bahr, R.; Dvorak, J.; Hägglund, M.; McCrory, P.; Meeuwisse, W.H. Consensus statement on injury definitions and data collection procedures in studies of football (soccer) injuries. Scand. J. Med. Sci. Sports 2006, 16, 83–92. [Google Scholar] [CrossRef]
- Sánchez-Sánchez, J.; García-Unanue, J.; Jiménez-Reyes, P.; Gallardo, A.; Burillo, P.; Felipe, J.L.; Gallardo, L. Influence of the mechanical properties of third-generation artificial turf systems on soccer players’ physiological and physical performance and their perceptions. PLoS ONE 2014, 9, e111368. [Google Scholar] [CrossRef]
- Sánchez-García, M.; Sánchez-Sánchez, J.; Rodríguez-Fernández, A.; Solano, D.; Castillo, D. Relationships between Sprint Ability and Endurance Capacity in Soccer Referees. Sports 2018, 6, 28. [Google Scholar] [CrossRef]
- Sánchez-Sánchez, J.; García-Unanue, J.; Hernando, E.; López-Fernández, J.; Colino, E.; León-Jiménez, M.; Gallardo, L. Repeated sprint ability and muscular responses according to the age category in elite youth soccer players. Front. Physiol. 2019, 10, 175. [Google Scholar] [PubMed]
- López-Fernández, J.; Sánchez-Sánchez, J.; Rodríguez-Cañamero, S.; Ubago-Guisado, E.; Colino, E.; Gallardo, L. Physiological responses, fatigue and perception of female soccer players in small-sided games with different pitch size and sport surfaces. Biol. Sport 2018, 35, 291. [Google Scholar] [CrossRef] [PubMed]
- Bastida Castillo, A.; Gómez Carmona, C.D.; De La Cruz Sánchez, E.; Pino Ortega, J. Accuracy, intra-and inter-unit reliability, and comparison between GPS and UWB-based position-tracking systems used for time–motion analyses in soccer. Eur. J. Sport Sci. 2018, 18, 450–457. [Google Scholar] [CrossRef] [PubMed]
- Maddison, R.; Mhurchu, C.N. Global positioning system: A new opportunity in physical activity measurement. Int. J. Behav. Nutr. Phys. Act. 2009, 6, 1–8. [Google Scholar]
- Martín-Fuentes, I.; Oliva-Lozano, J.M.; Fortes, V.; Muyor, J.M. Effect of playing position, passage duration and starting status on the most demanding passages of match play in professional football. Res. Sports Med. 2021, 29, 417–426. [Google Scholar] [CrossRef]
- Oliva-Lozano, J.M.; Fortes, V.; Krustrup, P.; Muyor, J.M. Acceleration and sprint profiles of professional male football players in relation to playing position. PLoS ONE 2020, 15, e0236959. [Google Scholar] [CrossRef]
- Cohen, J. A power primer. Psychol. Bull. 1992, 112, 155. [Google Scholar] [CrossRef]
- Krustrup, P.; Helsen, W.; Randers, M.B.; Christensen, J.F.; Macdonald, C.; Rebelo, A.N.; Bangsbo, J. Activity profile and physical demands of football referees and assistant referees in international games. J. Sports Sci. 2009, 27, 1167–1176. [Google Scholar] [CrossRef]
- Castagna, C.; Abt, G.; D’Ottavio, S. Competitive-level differences in Yo-Yo intermittent recovery and twelve minute run test performance in soccer referees. J. Strength Cond. Res. 2005, 19, 805–809. [Google Scholar] [PubMed]
- Krustrup, P.; Bangsbo, J. Physiological demands of top-class soccer refereeing in relation to physical capacity: Effect of intense intermittent exercise training. J. Sports Sci. 2001, 19, 881–891. [Google Scholar] [CrossRef] [PubMed]
- Spencer, M.; Bishop, D.; Dawson, B.; Goodman, C. Physiological and metabolic responses of repeated-sprint activities. Sports Med. 2005, 35, 1025–1044. [Google Scholar] [CrossRef] [PubMed]
- Vitale, J.A.; Povìa, V.; Vitale, N.D.; Bassani, T.; Lombardi, G.; Giacomelli, L.; Banfi, G.; La Torre, A. The effect of two different speed endurance training protocols on a multiple shuttle run performance in young elite male soccer players. Res. Sports Med. 2018, 26, 436–449. [Google Scholar] [CrossRef]
- Weston, M.; Castagna, C.; Impellizzeri, F.M.; Rampinini, E.; Abt, G. Analysis of physical match performance in English Premier League soccer referees with particular reference to first half and player work rates. J. Sci. Med. Sport 2007, 10, 390–397. [Google Scholar] [CrossRef] [PubMed]
- Scott, D.; Haigh, J.; Lovell, R. Physical characteristics and match performances in women’s international versus domestic-level football players: A 2-year, league-wide study. Sci. Med. Footb. 2020, 4, 211–215. [Google Scholar] [CrossRef]
- Harper, D.J.; Carling, C.; Kiely, J. High-intensity acceleration and deceleration demands in elite team sports competitive match play: A systematic review and meta-analysis of observational studies. Sports Med. 2019, 49, 1923–1947. [Google Scholar]
- Errekagorri, I.; Castellano, J.; Echeazarra, I.; Lago-Peñas, C. The effects of the Video Assistant Referee system (VAR) on the playing time, technical-tactical and physical performance in elite soccer. Int. J. Perform. Anal. Sport 2020, 20, 808–817. [Google Scholar] [CrossRef]
- Linke, D.; Link, D.; Weber, H.; Lames, M. Decline in match running performance in football is affected by an increase in game interruptions. J. Sports Sci. Med. 2018, 17, 662. [Google Scholar]
- Fernández-Elías, V.E.; Gomez-Lopez, M.; De La Vega Marcos, R.; Clemente Suárez, V.J. Physical demands, heart rate response and performance of talent football referees. Med. Sport 2017, 70, 2–4. [Google Scholar]
- Zhang, X. Study on Characteristics of Exercise Load of Football Referees on the Spot. 2021. In Proceedings of the Paper Presented at the 2020 International Conference on Sports Sciences 2020, Physical Education and Health (ICSSPEH 2020), Zhengzhou, China, 25–26 June 2020. [Google Scholar]
- Gaudino, P.; Iaia, F.M.; Strudwick, A.J.; Hawkins, R.D.; Alberti, G.; Atkinson, G.; Gregson, W. Factors influencing perception of effort (session rating of perceived exertion) during elite soccer training. Int. J. Sports Physiol. Perform. 2015, 10, 860–864. [Google Scholar] [CrossRef] [PubMed]
- Bradley, P.S.; Dellal, A.; Mohr, M.; Castellano, J.; Wilkie, A. Gender differences in match performance characteristics of soccer players competing in the UEFA Champions League. Hum. Mov. Sci. 2014, 33, 159–171. [Google Scholar] [CrossRef] [PubMed]
- Akenhead, R.; Hayes, P.R.; Thompson, K.G.; French, D. Diminutions of acceleration and deceleration output during professional football match play. J. Sci. Med. Sport 2013, 16, 556–561. [Google Scholar] [CrossRef] [PubMed]
- Russell, M.; Sparkes, W.; Northeast, J.; Cook, C.J.; Love, T.D.; Bracken, R.M.; Kilduff, L.P. Changes in acceleration and deceleration capacity throughout professional soccer match-play. J. Strength Cond. Res. 2016, 30, 2839–2844. [Google Scholar] [CrossRef] [PubMed] [Green Version]


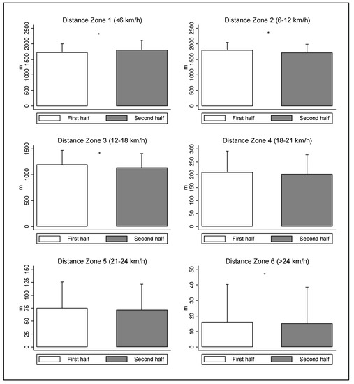
| Variables | First Half | Second Half | Sig. (p) | ES | 95 % CI | |
|---|---|---|---|---|---|---|
| Total distance (m) | 5007 ± 404 | 4938 ± 392 * | 0.01 | 0.17 | 16.41 | 122.56 |
| Explosive distance (m) | 565 ± 120 | 522 ± 125 * | 0.00 | 0.36 | 32.82 | 54.79 |
| HIBD (m) | 53.7 ± 22.5 | 76.7 ± 41.7 * | 0.00 | 0.72 | −27.80 | −18.12 |
| Sprinting distance (m) | 34.2 ± 43.4 | 33.3 ± 41.9 | 0.76 | 0.02 | −4.91 | 6.73 |
| HSRA (n) | 9.0 ± 5.4 | 8.5 ± 5.1 | 0.11 | 0.10 | −0.12 | 1.13 |
| HSRD (m) | 156.3 ± 99.2 | 152.0 ± 96.2 | 0.50 | 0.04 | −8.22 | 16.81 |
| Maximal Speed (km/h) | 25.5 ± 2.2 | 25.1 ± 2.1 * | 0.01 | 0.20 | 0.08 | 0.76 |
| Variables | First Half | Second Half | Sig. (p) | ES | 95% CI | |
|---|---|---|---|---|---|---|
| ACC (n) | 1312.0 ± 112.6 | 1382.4 ± 119.0 * | 0.00 | 0.61 | −85.22 | −55.73 |
| DEC (n) | 1314.8 ± 111.4 | 1385.9 ± 118.2 * | 0.00 | 0.62 | −85.95 | −56.26 |
| DECMAX (m/s2) | −4.71 ± 0.83 | −4.46 ± 0.67 * | 0.00 | 0.33 | −0.39 | −0.10 |
| ACCMAX (m/s2) | 4.13 ± 0.75 | 3.96 ± 0.71 * | 0.02 | 0.23 | 0.03 | 0.31 |
| ACC/DEC ratio | −5.98 ± 6.16 | −4.76 ± 6.42 * | 0.01 | 0.19 | −2.15 | −0.29 |
| ACC Z1 (n) | 1014.2 ± 115.7 | 1099.4 ± 126.9 * | 0.00 | 0.70 | −99.18 | −71.37 |
| ACC Z2 (n) | 223.4 ± 38.5 | 215.5 ± 40.0 * | 0.00 | 0.20 | 3.71 | 12.07 |
| ACC Z3 (n) | 63.6 ± 17.4 | 58.2 ± 18.5 * | 0.00 | 0.30 | 3.53 | 7.21 |
| ACC Z4 (n) | 10.8 ± 7.2 | 9.3 ± 7.3 * | 0.00 | 0.21 | 0.82 | 2.26 |
| ACC Z1 (m) | 1057.6 ± 143.3 | 1089.5 ± 156.8 * | 0.00 | 0.21 | −60.08 | −18.46 |
| ACC Z2 (m) | 736.7 ± 97.7 | 734.3 ± 106.1 * | 0.00 | 0.02 | 12.97 | 54.26 |
| ACC Z3 (m) | 286.7 ± 76.3 | 259.1 ± 74.6 * | 0.00 | 0.37 | 19.66 | 49.00 |
| ACC Z4 (m) | 85.4 ± 44.2 | 70.2 ± 44.8 * | 0.00 | 0.34 | 10.54 | 25.26 |
| DEC Z1 (n) | 1022.2 ± 113.0 | 1106.2 ± 124.5 * | 0.00 | 0.71 | −97.88 | −70.08 |
| DEC Z2 (n) | 213.7 ± 36.3 | 210.2 ± 38.5 | 0.09 | 0.09 | −0.61 | 7.60 |
| DEC Z3 (n) | 62.1 ± 16.6 | 55.5 ± 17.5 * | 0.00 | 0.39 | 4.75 | 8.48 |
| DEC Z4 (n) | 16.8 ± 7.9 | 14.1 ± 8.9 * | 0.00 | 0.33 | 1.84 | 3.67 |
| DEC Z1 (m) | 1126.6 ± 154.8 | 1165.8 ± 169.6 * | 0.00 | 0.24 | −51.62 | −12.32 |
| DEC Z2 (m) | 1150.5 ± 173.7 | 1116.9 ± 177.6 | 0.74 | 0.19 | −11.53 | 16.30 |
| DEC Z3 (m) | 495.3 ± 129.3 | 460.9 ± 132.6 * | 0.00 | 0.26 | 18.30 | 36.88 |
| DEC Z4 (m) | 101.8 ± 72.4 | 83.9 ± 64.5 * | 0.00 | 0.26 | 9.92 | 20.50 |
| Variables | RSATT | RSABEST | % RSABEST | % RSADIFF | Yo-Yo Intermittent Test |
|---|---|---|---|---|---|
| Total distance (m) | −0.229 | −0.220 | 0.018 | 0.141 | 0.442 |
| Explosive distance (m) | −0.346 | −0.307 | −0.105 | −0.054 | 0.465 * |
| HIBD (m) | −0.365 | −0.333 | −0.074 | −0.013 | 0.508 * |
| Sprint distance (m) | −0.656 ** | −0.668 ** | 0.267 | 0.317 | 0.279 |
| HSRA (n) | −0.332 | −0.297 | −0.097 | 0.072 | 0.306 |
| HSRD (m) | −0.503 * | −0.489 * | 0.075 | 0.203 | 0.329 |
| Maximal Speed (km/h) | −0.632 ** | −0.634 ** | 0.206 | 0.206 | 0.207 |
| ACC (n) | 0.550 * | 0.513 * | 0.047 | 0.022 | −0.443 |
| DEC (n) | 0.526 * | 0.490 * | 0.052 | 0.030 | −0.424 |
| ACC Z4 (n) | −0.310 | −0.275 | −0.094 | 0.048 | 0.531 * |
| DEC Z4 (n) | −0.447 * | −0.412 | −0.061 | −0.021 | 0.462 * |
| ACC Z4 (m) | −0.393 | −0.359 | −0.066 | 0.121 | 0.535 * |
| DEC Z4 (m) | −0.509 * | −0.490 * | 0.043 | 0.100 | 0.367 |
Publisher’s Note: MDPI stays neutral with regard to jurisdictional claims in published maps and institutional affiliations. |
© 2022 by the authors. Licensee MDPI, Basel, Switzerland. This article is an open access article distributed under the terms and conditions of the Creative Commons Attribution (CC BY) license (https://creativecommons.org/licenses/by/4.0/).
Share and Cite
Sánchez, M.L.M.; Oliva-Lozano, J.M.; García-Unanue, J.; Krustrup, P.; Felipe, J.L.; Moreno-Pérez, V.; Gallardo, L.; Sánchez-Sánchez, J. Association between Fitness Level and Physical Match Demands of Professional Female Football Referees. Int. J. Environ. Res. Public Health 2022, 19, 10720. https://doi.org/10.3390/ijerph191710720
Sánchez MLM, Oliva-Lozano JM, García-Unanue J, Krustrup P, Felipe JL, Moreno-Pérez V, Gallardo L, Sánchez-Sánchez J. Association between Fitness Level and Physical Match Demands of Professional Female Football Referees. International Journal of Environmental Research and Public Health. 2022; 19(17):10720. https://doi.org/10.3390/ijerph191710720
Chicago/Turabian StyleSánchez, María Luisa Martín, José M. Oliva-Lozano, Jorge García-Unanue, Peter Krustrup, Jose Luis Felipe, Víctor Moreno-Pérez, Leonor Gallardo, and Javier Sánchez-Sánchez. 2022. "Association between Fitness Level and Physical Match Demands of Professional Female Football Referees" International Journal of Environmental Research and Public Health 19, no. 17: 10720. https://doi.org/10.3390/ijerph191710720
APA StyleSánchez, M. L. M., Oliva-Lozano, J. M., García-Unanue, J., Krustrup, P., Felipe, J. L., Moreno-Pérez, V., Gallardo, L., & Sánchez-Sánchez, J. (2022). Association between Fitness Level and Physical Match Demands of Professional Female Football Referees. International Journal of Environmental Research and Public Health, 19(17), 10720. https://doi.org/10.3390/ijerph191710720

