Understanding the Influence of Initial Values of College Students in Shaping Pro-Environmental Behavioral Intention
Abstract
:1. Introduction
2. Theoretical Background
2.1. Pro-Environmental Behavior and Antecedents of Pro-Environmental Behavior
2.2. Theory of Planned Behavior
2.3. Norm Activation Model
2.4. Values-Belief-Norm Theory
2.5. Protection Motivation Theory
3. Hypotheses Development
3.1. Technology Acceptance Model
3.2. Perceived Social Values, Perceived Personal Values, and Behavioral Intention
3.3. Perceived Ease to Participate and Behavioral Intention
4. Methodology
4.1. Participants and Procedure
4.2. Construct Measurement
4.3. Data Analysis
5. Results
5.1. Descriptive Statics
5.2. Confirmatory Factor Analysis
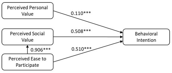
5.3. Structural Model Testing
6. Discussion
6.1. The Impact of Values on College Students’ Pro-Environmental Behavior Intention
6.2. Theoretical Implications
6.3. Practical Implications
6.4. Limitations
7. Conclusions
Author Contributions
Funding
Institutional Review Board Statement
Informed Consent Statement
Data Availability Statement
Conflicts of Interest
References
- Shafiei, A.; Maleksaeidi, H. Pro-environmental behavior of university students: Application of protection motivation theory. Glob. Ecol. Conserv. 2020, 22, e00908. [Google Scholar] [CrossRef]
- Chan, L.; Bishop, B. A moral basis for recycling: Extending the theory of planned behaviour. J. Environ. Psychol. 2013, 36, 96–102. [Google Scholar] [CrossRef] [Green Version]
- Wan, C.; Shen, G.Q.; Choi, S. Experiential and instrumental attitudes: Interaction effect of attitude and subjective norm on recycling intention. J. Environ. Psychol. 2017, 50, 69–79. [Google Scholar] [CrossRef]
- De Leeuw, A.; Valois, P.; Ajzen, I.; Schmidt, P. Using the theory of planned behavior to identify key beliefs underlying pro-environmental behavior in high-school students: Implications for educational interventions. J. Environ. Psychol. 2015, 42, 128–138. [Google Scholar] [CrossRef]
- Büchs, M.; Saunders, C.; Wallbridge, R.; Smith, G.; Bardsley, N. Identifying and explaining framing strategies of low carbon lifestyle movement organisations. Glob. Environ. Chang. 2015, 35, 307–315. [Google Scholar] [CrossRef] [Green Version]
- Grønhøj, A.; Thøgersen, J. Action speaks louder than words: The effect of personal attitudes and family norms on adolescents’ pro-environmental behaviour. J. Econ. Psychol. 2012, 33, 292–302. [Google Scholar] [CrossRef]
- Karp, D.G. Values and their effect on pro-environmental behavior. Environ. Behav. 1996, 28, 111–133. [Google Scholar] [CrossRef]
- Whitley, C.T.; Takahashi, B.; Zwickle, A.; Besley, J.C.; Lertpratchya, A.P. Sustainability behaviors among college students: An application of the VBN theory. Environ. Educ. Res. 2018, 24, 245–262. [Google Scholar] [CrossRef]
- Levine, D.S.; Strube, M.J. Environmental attitudes, knowledge, intentions and behaviors among college students. J. Soc. Psychol. 2012, 152, 308–326. [Google Scholar] [CrossRef]
- Wu, Z.; Ann, T.; Shen, L. Investigating the determinants of contractor’s construction and demolition waste management behavior in Mainland China. Waste Manag. 2017, 60, 290–300. [Google Scholar] [CrossRef]
- Ma, J.; Hipel, K.W.; Hanson, M.L. Public participation in municipal solid waste source-separated collection in Guilin, China: Status and influencing factors. J. Environ. Plan. Manag. 2017, 60, 2174–2191. [Google Scholar] [CrossRef]
- Ajzen, I. The theory of planned behavior. Organ. Behav. Hum. Decis. Process. 1991, 50, 179–211. [Google Scholar] [CrossRef]
- Schwartz, S.H. Normative Influences on Altruism, Advances in Experimental Social Psychology; Elsevier: Amsterdam, The Netherlands, 1977; pp. 221–279. [Google Scholar]
- Stern, P.C.; Dietz, T.; Abel, T.; Guagnano, G.A.; Kalof, L. A value-belief-norm theory of support for social movements: The case of environmentalism. Hum. Ecol. Rev. 1999, 6, 81–97. [Google Scholar]
- Rogers, R.W. A protection motivation theory of fear appeals and attitude change1. J. Psychol. 1975, 91, 93–114. [Google Scholar] [CrossRef]
- Alzubaidi, H.; Slade, E.L.; Dwivedi, Y.K. Examining antecedents of consumers’ pro-environmental behaviours: TPB extended with materialism and innovativeness. J. Bus. Res. 2021, 122, 685–699. [Google Scholar] [CrossRef]
- Bamberg, S.; Möser, G. Twenty years after Hines, Hungerford, and Tomera: A new meta-analysis of psycho-social determinants of pro-environmental behaviour. J. Environ. Psychol. 2007, 27, 14–25. [Google Scholar] [CrossRef]
- Barbaro, N.; Pickett, S.M. Mindfully green: Examining the effect of connectedness to nature on the relationship between mindfulness and engagement in pro-environmental behavior. Personal. Individ. Differ. 2016, 93, 137–142. [Google Scholar] [CrossRef]
- Li, D.; Zhao, L.; Ma, S.; Shao, S.; Zhang, L. What influences an individual’s pro-environmental behavior? A literature review. Resour. Conserv. Recycl. 2019, 146, 28–34. [Google Scholar] [CrossRef]
- Czajkowski, M.; Hanley, N.; Nyborg, K. Social norms, morals and self-interest as determinants of pro-environment behaviours: The case of household recycling. Environ. Resour. Econ. 2017, 66, 647–670. [Google Scholar] [CrossRef]
- Boyce, T.E.; Geller, E.S. Encouraging college students to support pro-environment behavior: Effects of direct versus indirect rewards. Environ. Behav. 2001, 33, 107–125. [Google Scholar] [CrossRef]
- Effendi, M.I.; Sugandini, D.; Sukarno, A.; Kundarto, M.; Arundati, R. The theory of planned behavior and pro-environmental behavior among students. J. Environ. Manag. Tour. 2020, 11, 35–43. [Google Scholar]
- Bardi, A.; Schwartz, S.H. Values and behavior: Strength and structure of relations. Personal. Soc. Psychol. Bull. 2003, 29, 1207–1220. [Google Scholar] [CrossRef]
- Hilbig, B.E.; Glöckner, A.; Zettler, I. Personality and prosocial behavior: Linking basic traits and social value orientations. J. Personal. Soc. Psychol. 2014, 107, 529. [Google Scholar] [CrossRef]
- Belschak, F.D.; Den Hartog, D.N. Pro-self, prosocial, and pro-organizational foci of proactive behaviour: Differential antecedents and consequences. J. Occup. Organ. Psychol. 2010, 83, 475–498. [Google Scholar] [CrossRef]
- Kaiser, F.G.; Byrka, K. Environmentalism as a trait: Gauging people’s prosocial personality in terms of environmental engagement. Int. J. Psychol. 2011, 46, 71–79. [Google Scholar] [CrossRef]
- Stern, P. Toward a coherent theory of environmentally significant behavior. J. Soc. Issues 2000, 56, 407–424. [Google Scholar] [CrossRef]
- Vlek, C.; Steg, L. Human Behavior and Environmental Sustainability: Problems, Driving Forces, and Research Topics. J. Soc. Issues 2007, 63, 1. [Google Scholar] [CrossRef]
- Hameed, I.; Waris, I.; Amin ul Haq, M. Predicting eco-conscious consumer behavior using theory of planned behavior in Pakistan. Environ. Sci. Pollut. Res. 2019, 26, 15535–15547. [Google Scholar] [CrossRef] [PubMed]
- Mancha, R.M.; Yoder, C.Y. Cultural antecedents of green behavioral intent: An environmental theory of planned behavior. J. Environ. Psychol. 2015, 43, 145–154. [Google Scholar] [CrossRef]
- Shin, Y.H.; Im, J.; Jung, S.E.; Severt, K. The theory of planned behavior and the norm activation model approach to consumer behavior regarding organic menus. Int. J. Hosp. Manag. 2018, 69, 21–29. [Google Scholar] [CrossRef]
- Fransson, N.; Gärling, T. Environmental concern: Conceptual definitions, measurement methods, and research findings. J. Environ. Psychol. 1999, 19, 369–382. [Google Scholar] [CrossRef]
- Onwezen, M.C.; Antonides, G.; Bartels, J. The Norm Activation Model: An exploration of the functions of anticipated pride and guilt in pro-environmental behaviour. J. Econ. Psychol. 2013, 39, 141–153. [Google Scholar] [CrossRef]
- Zhang, Y.; Wang, Z.; Zhou, G. Antecedents of employee electricity saving behavior in organizations: An empirical study based on norm activation model. Energy Policy 2013, 62, 1120–1127. [Google Scholar] [CrossRef]
- Thøgersen, J. Norms for environmentally responsible behaviour: An extended taxonomy. J. Environ. Psychol. 2006, 26, 247–261. [Google Scholar] [CrossRef]
- López-Mosquera, N.; Sánchez, M. Theory of Planned Behavior and the Value-Belief-Norm Theory explaining willingness to pay for a suburban park. J. Environ. Manag. 2012, 113, 251–262. [Google Scholar] [CrossRef]
- Estrada, M.; Schultz, P.; Silva-Send, N.; Boudrias, M.A. The role of social influences on pro-environment behaviors in the San Diego region. J. Urban Health 2017, 94, 170–179. [Google Scholar] [CrossRef] [Green Version]
- Izagirre-Olaizola, J.; Fernández-Sainz, A.; Vicente-Molina, M.A. Internal determinants of recycling behaviour by university students: A cross-country comparative analysis. Int. J. Consum. Stud. 2015, 39, 25–34. [Google Scholar] [CrossRef]
- Awais, M.; Fatima, T.; Awan, T.M. Assessing behavioral intentions of solar energy usage through value-belief-norm theory. Manag. Environ. Qual. Int. J. 2022. [Google Scholar] [CrossRef]
- Keshavarz, M.; Karami, E. Farmers’ pro-environmental behavior under drought: Application of protection motivation theory. J. Arid. Environ. 2016, 127, 128–136. [Google Scholar] [CrossRef]
- Bockarjova, M.; Steg, L. Can Protection Motivation Theory predict pro-environmental behavior? Explaining the adoption of electric vehicles in the Netherlands. Glob. Environ. Change 2014, 28, 276–288. [Google Scholar] [CrossRef]
- Kothe, E.J.; Ling, M.; North, M.; Klas, A.; Mullan, B.A.; Novoradovskaya, L. Protection motivation theory and pro-environmental behaviour: A systematic mapping review. Aust. J. Psychol. 2019, 71, 411–432. [Google Scholar] [CrossRef]
- Davis, F.D. Perceived usefulness, perceived ease of use, and user acceptance of information technology. MIS Q. 1989, 13, 319–340. [Google Scholar] [CrossRef] [Green Version]
- Davis, F.D. A technology Acceptance Model for Empirically Testing New End-User Information Systems: Theory and Results. Ph.D. Thesis, Massachusetts Institute of Technology, Cambridge, MA, USA, 1985. [Google Scholar]
- Lee, M.-C. Factors influencing the adoption of internet banking: An integration of TAM and TPB with perceived risk and perceived benefit. Electron. Commer. Res. Appl. 2009, 8, 130–141. [Google Scholar] [CrossRef]
- Hu, X.; Zhang, J.; Shuang, H.; Zhu, R.; Shen, S.; Liu, B. E-learning intention of students with anxiety: Evidence from the first wave of COVID-19 pandemic in China. J. Affect. Disord. 2022, 309, 115–122. [Google Scholar] [CrossRef]
- Zhang, T.; Tao, D.; Qu, X.; Zhang, X.; Lin, R.; Zhang, W. The roles of initial trust and perceived risk in public’s acceptance of automated vehicles. Transp. Res. Part C Emerg. Technol. 2019, 98, 207–220. [Google Scholar] [CrossRef]
- Yoon, C. Extending the TAM for Green IT: A normative perspective. Comput. Hum. Behav. 2018, 83, 129–139. [Google Scholar] [CrossRef]
- Mishra, D.; Akman, I.; Mishra, A. Theory of reasoned action application for green information technology acceptance. Comput. Hum. Behav. 2014, 36, 29–40. [Google Scholar] [CrossRef]
- Rokeach, M. The Nature of Human Values; Free Press: New York, NY, USA, 1973. [Google Scholar]
- Davis, F.D.; Bagozzi, R.P.; Warshaw, P.R. User acceptance of computer technology: A comparison of two theoretical models. Manag. Sci. 1989, 35, 982–1003. [Google Scholar] [CrossRef] [Green Version]
- Bogaert, S.; Boone, C.; Declerck, C. Social value orientation and cooperation in social dilemmas: A review and conceptual model. Br. J. Soc. Psychol. 2008, 47, 453–480. [Google Scholar] [CrossRef]
- Videras, J.; Owen, A.L.; Conover, E.; Wu, S. The influence of social relationships on pro-environment behaviors. J. Environ. Econ. Manag. 2012, 63, 35–50. [Google Scholar] [CrossRef]
- Lee, M.; Choi, H.; Koo, Y. Inconvenience cost of waste disposal behavior in South Korea. Ecol. Econ. 2017, 140, 58–65. [Google Scholar] [CrossRef]
- Bhalla, G.; Lin, L.Y. Crops-cultural marketing research: A discussion of equivalence issues and measurement strategies. Psychol. Mark. 1987, 4, 275. [Google Scholar]
- Twizeyimana, J.D.; Andersson, A. The public value of E-Government—A literature review. Gov. Inf. Q. 2019, 36, 167–178. [Google Scholar] [CrossRef]
- Anderson, J.C.; Gerbing, D.W. Structural equation modeling in practice: A review and recommended two-step approach. Psychol. Bull. 1988, 103, 411. [Google Scholar] [CrossRef]
- Hair, J.F. Multivariate Data Analysis; Pearson: London, UK, 2009. [Google Scholar]
- Parrado, S.; Van Ryzin, G.G.; Bovaird, T.; Löffler, E. Correlates of co-production: Evidence from a five-nation survey of citizens. Int. Public Manag. J. 2013, 16, 85–112. [Google Scholar] [CrossRef] [Green Version]
- Huddart-Kennedy, E.; Beckley, T.M.; McFarlane, B.L.; Nadeau, S. Rural-urban differences in environmental concern in Canada. Rural. Sociol. 2009, 74, 309–329. [Google Scholar] [CrossRef]
- Hartwick, J.; Barki, H. Explaining the role of user participation in information system use. Manag. Sci. 1994, 40, 440–465. [Google Scholar] [CrossRef]
- Bagozzi, R.P.; Yi, Y. On the evaluation of structural equation models. J. Acad. Mark. Sci. 1988, 16, 74–94. [Google Scholar] [CrossRef]
- Nunnally, J.C. Psychometric Theory, 2nd ed.; Mcgraw Hill Book Company: New York, NY, USA, 1978. [Google Scholar]
- Fornell, C.; Larcker, D.F. Evaluating structural equation models with unobservable variables and measurement error. J. Mark. Res. 1981, 18, 39–50. [Google Scholar] [CrossRef]
- Cohen, J. A power primer. Psychol. Bull. 1992, 112, 155. [Google Scholar] [CrossRef]
- Righetti, F.; Luchies, L.B.; van Gils, S.; Slotter, E.B.; Witcher, B.; Kumashiro, M. The prosocial versus proself power holder: How power influences sacrifice in romantic relationships. Personal. Soc. Psychol. Bull. 2015, 41, 779–790. [Google Scholar] [CrossRef]
- Alonso, J.M.; Andrews, R.; Clifton, J.; Diaz-Fuentes, D. Factors influencing citizens’ co-production of environmental outcomes: A multi-level analysis. Public Manag. Rev. 2019, 21, 1620–1645. [Google Scholar] [CrossRef] [Green Version]

| Constructs with Items | Source | |
|---|---|---|
| Perceived Social Values | ||
| PSV1 | Pro-environmental behavior is beneficial for social well-being. | Adapted from Twizeyimana and Andersson (2019) [56] |
| PSV2 | Pro-environmental will create additional values for family, community, and other relationships. | |
| PSV3 | Pro-environmental is good for the environmental capability building against risk. | |
| PSV4 | Pro-environmental will protect our future generation to have equal rights for the environment. | |
| Perceived Personal Values | ||
| PPV1 | Devoting time to pro-environmental activity can improve my overall competence | Adapted from Shafiei and Maleksaeidi (2020), Twizeyimana and Andersson (2019) [56] |
| PPV2 | Devoting time to pro-environmental activity can increase my self-efficacy | |
| PPV3 | Participating in Pro-environmental activity can be beneficial for future career | |
| PPV4 | Participating in Pro-environmental activity can obtain new knowledge, contributing to better academic performance | |
| Perceived Ease of Participation | ||
| PE1 | Participating in Pro-environmental activity is easy. | Adapted from Davis et al. (1989) [51] |
| PE2 | It is easy to become proficient in Pro-environmental activity. | |
| PE3 | I can follow all the instructions in Pro-environmental activity easily | |
| PE4 | Interacting with peers in Pro-environmental activity is easy | |
| Behavior Intention | ||
| BI1 | I intend to continue participating in Pro-environmental activities in the future. | Adapted from Davis et al. (1989) [51] |
| BI2 | I will enjoy participating in Pro-environmental activities in the future. | |
| BI2 | I will strongly recommend that others participate in Pro-environmental activity | |
| Items | N | % | Mean | S.D. |
|---|---|---|---|---|
| Gender | ||||
| Female = 1 | 143 | 58.37% | ||
| Male | 102 | 41.63% | ||
| Home Location | ||||
| Urban Area = 1 | 113 | 46.12% | ||
| Rural Area | 132 | 53.88% | ||
| Academic Disciplines | ||||
| Science or Engineering = 1 | 164 | 66.94% | ||
| Business or Management | 74 | 33.06% | ||
| Age (age 18) | 245 | 18.72 | 0.72 | |
| Perceived Social Values | 245 | 4.14 | 1.04 | |
| Perceived Personal Values | 245 | 2.88 | 1.11 | |
| Perceived Ease of Participation | 245 | 4.17 | 1.06 | |
| Behavior Intention | 245 | 4.13 | 1.05 |
| Model Fit Indices | Results | Recommended Value (Hair, 2009; Hartwick and Barki, 1994) [58,61] |
|---|---|---|
| 2.878 | ≤5 | |
| CFI | 0.978 | ≥0.9 |
| IFI | 0.978 | ≥0.9 |
| GFI | 0.947 | ≥0.8 |
| NFI | 0.967 | ≥0.9 |
| RMSEA | 0.061 | ≤0.08 |
| Constructs | Items | Factor Loading | CR | α | AVE |
|---|---|---|---|---|---|
| Perceived Social Values (PSV) | PSV1 | 0.925 | 0.956 | 0.955 | 0.843 |
| PSV2 | 0.897 | ||||
| PSV3 | 0.921 | ||||
| PSV4 | 0.903 | ||||
| Perceived Personal Values (PSV) | PPV1 | 0.881 | 0.952 | 0.951 | 0.831 |
| PPV2 | 0.939 | ||||
| PPV3 | 0.919 | ||||
| PPV4 | 0.933 | ||||
| Perceived Ease of participation (PEP) | PEP1 | 0.884 | 0.934 | 0.938 | 0.779 |
| PEP2 | 0.886 | ||||
| PEP3 | 0.841 | ||||
| PEP4 | 0.918 | ||||
| Behavior intention (BI) | BI1 | 0.947 | 0.936 | 0.946 | 0.831 |
| BI2 | 0.914 | ||||
| BI3 | 0.872 |
| Constructs | 1 | 2 | 3 | 4 |
|---|---|---|---|---|
| Perceived Social Values (1) | 0.918 | |||
| Perceived Personal Values (2) | −0.854 | 0.912 | ||
| Perceived Ease of participation (3) | 0.906 | −0.812 | 0.883 | |
| Behavior Intention (4) | 0.786 | −0.786 | 0.773 | 0.912 |
Publisher’s Note: MDPI stays neutral with regard to jurisdictional claims in published maps and institutional affiliations. |
© 2022 by the authors. Licensee MDPI, Basel, Switzerland. This article is an open access article distributed under the terms and conditions of the Creative Commons Attribution (CC BY) license (https://creativecommons.org/licenses/by/4.0/).
Share and Cite
Song, Y.; Bao, H.; Shen, S. Understanding the Influence of Initial Values of College Students in Shaping Pro-Environmental Behavioral Intention. Int. J. Environ. Res. Public Health 2022, 19, 9730. https://doi.org/10.3390/ijerph19159730
Song Y, Bao H, Shen S. Understanding the Influence of Initial Values of College Students in Shaping Pro-Environmental Behavioral Intention. International Journal of Environmental Research and Public Health. 2022; 19(15):9730. https://doi.org/10.3390/ijerph19159730
Chicago/Turabian StyleSong, Yanqing, Han Bao, and Shan Shen. 2022. "Understanding the Influence of Initial Values of College Students in Shaping Pro-Environmental Behavioral Intention" International Journal of Environmental Research and Public Health 19, no. 15: 9730. https://doi.org/10.3390/ijerph19159730
APA StyleSong, Y., Bao, H., & Shen, S. (2022). Understanding the Influence of Initial Values of College Students in Shaping Pro-Environmental Behavioral Intention. International Journal of Environmental Research and Public Health, 19(15), 9730. https://doi.org/10.3390/ijerph19159730

