Changes in Long-Term Functional Independence in Patients with Moderate and Severe Ischemic Stroke: Comparison of the Responsiveness of the Modified Barthel Index and the Functional Independence Measure
Abstract
:1. Introduction
2. Materials and Methods
2.1. The Korean Stroke Cohort for Functioning and Rehabilitation (KOSCO)
2.2. Study Population
2.3. Stroke Severity and Functional Assessments
2.4. Statistical Analysis
3. Results
3.1. Patients Characteristics
3.2. Changes in NIHSS Scores in the Moderate and Severe Groups
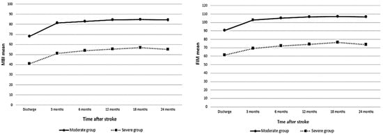
3.3. Long-Term Changes in Functional Independence in the Moderate and Severe Groups
3.4. Comparison of MBI and FIM Scores at Each Time Point in the Moderate and Severe Groups
4. Discussion
5. Conclusions
Author Contributions
Funding
Institutional Review Board Statement
Informed Consent Statement
Data Availability Statement
Conflicts of Interest
References
- Naghavi, M.; Abajobir, A.A.; Abbafati, C.; Abbas, K.M.; Abd-Allah, F.; Abera, S.F.; Fischer, F. Global, regional, and national age-sex specific mortality for 264 causes of death, 1980–2016: A systematic analysis for the Global Burden of Disease Study 2016. Lancet 2017, 390, 1151–1210. [Google Scholar] [CrossRef] [Green Version]
- Brott, T.; Bogousslavsky, J. Treatment of acute ischemic stroke. N. Engl. J. Med. 2000, 343, 710–722. [Google Scholar] [CrossRef] [PubMed]
- Thorvaldsen, P.; Kuulasmaa, K.; Rajakangas, A.M.; Rastenyte, D.; Sari, C.; Wilhelmsen, L. Stroke trends in the WHO MONICA project. Stroke 1997, 28, 500–506. [Google Scholar] [CrossRef]
- Wallace, J.B. Researchers document troubling rise in strokes in young adults, starting at age 25. The Washington Post, 11 May 2016. [Google Scholar]
- Miller, E.L.; Murray, L.; Richards, L.; Zorowitz, R.D.; Bakas, T.; Clark, P.; Billinger, S.A. Comprehensive overview of nursing and interdisciplinary rehabilitation care of the stroke patient: A scientific statement from the American Heart Association. Stroke 2010, 41, 2402–2448. [Google Scholar] [CrossRef] [Green Version]
- Ostwald, S.K.; Swank, P.R.; Khan, M.M. Predictors of functional independence and stress level of stroke survivors at discharge from inpatient rehabilitation. J. Cardiovasc. Nurs. 2008, 23, 371–377. [Google Scholar] [CrossRef] [PubMed] [Green Version]
- Jaracz, K.; Grabowska-Fudala, B.; Gorna, K.; Kozubski, W. Consequences of stroke in the light of objective and subjective indices: A review of recent literature. Neurol Neurochir. Pol. 2014, 48, 280–286. [Google Scholar] [CrossRef]
- Wood, J.P.; Connelly, D.M.; Maly, M.R. Getting back to real living’: A qualitative study of the process of community reintegration after stroke. Clin. Rehabil. 2010, 24, 1045–1056. [Google Scholar] [CrossRef] [PubMed]
- Wade, D.T.; Hewer, R.L. Functional abilities after stroke: Measurement, natural history and prognosis. J. Neurol. Neurosurg. Psychiatry 1987, 50, 177–182. [Google Scholar] [CrossRef] [Green Version]
- Duncan, P.W.; Lai, S.M.; Keighley, J. Defining post-stroke recovery: Implications for design and interpretation of drug trials. Neuropharmacology 2000, 39, 835–841. [Google Scholar] [CrossRef]
- Au-Yeung, S.S.; Hui-Chan, C.W. Predicting recovery of dextrous hand function in acute stroke. Disabil. Rehabil. 2009, 31, 394–401. [Google Scholar] [CrossRef]
- Kwakkel, G.; Kollen, B.; Lindeman, E. Understanding the pattern of functional recovery after stroke: Facts and theories. Restor. Neurol. Neu-Rosci. 2004, 22, 281–299. [Google Scholar]
- Lee, K.B.; Lim, S.H.; Kim, K.H.; Kim, K.J.; Kim, Y.R.; Chang, W.N.; Hwang, B.Y. Six-month functional recovery of stroke patients: A multi-time-point study. International journal of rehabilitation research. Internationale Zeitschrift fur Rehabilitationsforschung. Rev. Int. De Rech. De Readapt. 2015, 38, 173. [Google Scholar]
- Verheyden, G.; Nieuwboer, A.; De Wit, L.; Thijs, V.; Dobbelaere, J.; Devos, H. Time course of trunk, arm, leg, and functional recovery after ischemic stroke. Neurorehabil. Neural Repair 2008, 22, 173–179. [Google Scholar] [CrossRef] [PubMed]
- Wabl, R.; Williamson, C.A.; Pandey, A.S.; Rajajee, V. Long-term and delayed functional recovery in patients with severe cerebrovascular and traumatic brain injury requiring tracheostomy. J. Neurosurg. 2018, 131, 114–121. [Google Scholar] [CrossRef]
- Dhamoon, M.S.; Moon, Y.P.; Paik, M.C.; Boden-Albala, B.; Rundek, T.; Sacco, R.L. Long-term functional recovery after first ischemic stroke: The Northern Manhattan Study. Stroke 2009, 40, 2805–2811. [Google Scholar] [CrossRef] [Green Version]
- Feigin, V.L.; Barker-Collo, S.; Parag, V.; Senior, H.; Lawes, C.M.; Ratnasabapathy, Y. ASTRO study group. Auckland Stroke Outcomes Study. Part 1: Gender, stroke types, ethnicity, and functional outcomes 5 years post stroke. Neurology 2010, 75, 1597–1607. [Google Scholar] [CrossRef]
- Kwakkel, G.; Kollen, B.J. Predicting activities after stroke: What is clinically relevant? Int. J. Stroke 2013, 8, 25–32. [Google Scholar] [CrossRef]
- Ullberg, T.; Zia, E.; Petersson, J.; Norrving, B. Changes in functional outcome over the first year after stroke: An observational study from the Swedish stroke register. Stroke 2015, 46, 389–394. [Google Scholar] [CrossRef] [Green Version]
- Sennfält, S.; Norrving, B.; Petersson, J.; Ullberg, T. Long-term survival and function after stroke: A longitudinal observational study from the Swedish Stroke Register. Stroke 2019, 50, 53–61. [Google Scholar] [CrossRef]
- Duncan, P. Clinical and measurement issues in selecting stroke outcome measures in clinical trials. In Restorative Neurology. Advances in the Pharmacotherapy of Recovery after Stroke; Goldstein, L., Ed.; Wiley-Blackwell: Mt. Kisco, NY, USA, 1998. [Google Scholar]
- Pedersen, P.M.; Jorgensen, H.S.; Nakayama, H.; Raaschou, H.O.; Olsen, T.S. Comprehensive assessment of activities of daily living in stroke. The Copenhagen Stroke Study. Arch. Phys. Med. Rehabil. 1997, 78, 161–165. [Google Scholar] [CrossRef]
- Jørgensen, H.S.; Nakayama, H.; Raaschou, H.O.; Vive-Larsen, J.; Støier, M.; Olsen, T.S. Outcome and time course of recovery in stroke. Part I: Outcome. The Copenhagen Stroke Study. Arch. Phys. Med. Rehabil. 1995, 76, 399–405. [Google Scholar] [CrossRef]
- Jørgensen, H.S.; Nakayama, H.; Reith, J.; Raaschou, H.O.; Olsen, T.S. Acute stroke with atrial fibrillation. The Copenhagen stroke study. Stroke 1996, 10, 1765–1769. [Google Scholar] [CrossRef] [PubMed]
- Jørgensen, H.S.; Nakayama, H.; Raaschou, H.O.; Olsen, T.S. Intracerebral hemorrhage versus infarction: Stroke severity, risk factors and prognosis. Ann. Neurol. 1995, 38, 45–50. [Google Scholar] [CrossRef] [PubMed]
- Ancheta, J.; Husband, M.; Law, D.; Reding, M. Initial functional independence measure score and interval post stroke help assess outcome, length of hospitalization, and quality of care. Neurorehabil. Neural Repair 2000, 14, 127–134. [Google Scholar] [CrossRef]
- Ween, J.E.; Mernoff, S.T.; Alexander, M.P. Recovery rates after stroke and their impact on outcome prediction. Neurorehabil. Neural Repair 2000, 14, 229–235. [Google Scholar] [CrossRef] [PubMed]
- Jiminez, J.; Morgan, P.P. Predicting improvement in stroke patients referred for inpatient rehabilitation. Can. Med. Assoc. J. 1979, 121, 1481–1484. [Google Scholar]
- Feigenson, J.S.; McDowell, F.H.; Meese, P.; McCarthy, M.L.; Greenberg, S.D. Factors influencing outcome and length and stay in a stroke rehabilitation unit. Stroke 1977, 8, 651–656. [Google Scholar] [CrossRef] [Green Version]
- Stern, P.H.; McDowell, F.; Miller, S.M.; Robinson, M. Factors influencing stroke rehabilitation. Stroke 1971, 3, 213–218. [Google Scholar] [CrossRef]
- Duncan, P.W.; Lai, S.M.; van Culin, V.; Huang, L.; Clausen, D.; Wallace, D. Development of a comprehensive assessment toolbox for stroke. Clin. Geriatr. Med. 1999, 15, 885–916. [Google Scholar] [CrossRef]
- Kidd, D.; Stewart, G.; Baldry, J.; Johnson, J.; Rossiter, D.; Petruckevitch, A.; Thompson, A.J. The Functional Independence Measure: A comparative validity and reliability study. Disabil. Rehabil. 1995, 17, 10–14. [Google Scholar] [CrossRef]
- Shah, S.; Vanclay, F.; Cooper, B. Improving the sensitivity of the Barthel Index for stroke rehabilitation. J. Clin. Epidemiol. 1989, 42, 703–709. [Google Scholar] [CrossRef]
- Glowinski, S.; Blazejewski, A. Spider as a rehabilitation tool for patients with neurological disabilities: The preliminary research. J. Pers. Med. 2020, 10, 33. [Google Scholar] [CrossRef] [PubMed]
- Shah, S.; Vanclay, F.; Cooper, B. Predicting discharge status at commencement of stroke rehabilitation. Stroke 1989, 20, 766–769. [Google Scholar] [CrossRef] [PubMed] [Green Version]
- Keith, R.A. Observations in the rehabilitation hospital: Twenty years of research. Arch. Phys. Med. Rehabil. 1988, 69, 625–631. [Google Scholar] [PubMed]
- Sandhaug, M.; Andelic, N.; Vatne, A.; Seiler, S.; Mygland, A. Functional level during sub-acute rehabilitation after traumatic brain injury: Course and predictors of outcome. Brain Inj. 2010, 24, 740–747. [Google Scholar] [CrossRef] [Green Version]
- Murie-Fernández, M.; Marzo, M.M. Predictors of Neurological and Functional Recovery in Patients with Moderate to Severe Ischemic Stroke: The EPICA Study. Stroke Res. Treat. 2020, 2020, 1–13. [Google Scholar] [CrossRef]
- Hankey, G.J. Long-term outcome after ischaemic stroke/transient ischaemic attack. Cereb. Dis 2003, 16, 14–19. [Google Scholar] [CrossRef]
- Wouters, A.; Nysten, C.; Thijs, V.; Lemmens, R. Prediction of outcome in patients with acute ischemic stroke based on initial severity and improvement in the first 24 h. Front. Neurol. 2018, 9, 308. [Google Scholar] [CrossRef] [Green Version]
- Teasell, R.W.; Foley, N.C.; Bhogal, S.K.; Speechley, M.R. An evidence-based review of stroke rehabilitation. Top. Stroke Rehabil. 2003, 10, 29–58. [Google Scholar] [CrossRef]
- Voss, P.; Thomas, M.E.; Cisneros-Franco, J.M.; de Villers-Sidani, É. Dynamic brains and the changing rules of neuroplasticity: Implications for learning and recovery. Front. Psychol. 2017, 8, 1657. [Google Scholar] [CrossRef] [Green Version]
- Lin, M.P.; Liebeskind, D.S. Imaging of ischemic stroke. Contin. Lifelong Learn. Neurol. 2016, 22, 1399. [Google Scholar] [CrossRef] [PubMed] [Green Version]
- Richards, C.L.; Malouin, F.; Nadeau, S. Stroke rehabilitation: Clinical picture, assessment, and therapeutic challenge. Prog. Brain Res. 2015, 218, 253–280. [Google Scholar] [PubMed]
- Teasell, R.; Foley, N.; Salter, K.; Bhogal, S.; Jutai, J.; Speechley, M. Evidence-based review of stroke rehabilitation: Executive summary. Top. Stroke Rehabil. 2009, 16, 463–488. [Google Scholar] [CrossRef]
- Hinkle, J.L. The use of the FIM™ instrument in the post stroke population. Top. Stroke Rehabil. 2000, 7, 47–66. [Google Scholar] [CrossRef]
- Hsueh, I.P.; Lin, J.H.; Jeng, J.S.; Hsieh, C.L. Comparison of the psychometric characteristics of the functional independence measure, 5 item Barthel index, and 10 item Barthel index in patients with stroke. J. Neurol. Neurosurg. Psychiatry 2002, 73, 188–190. [Google Scholar] [CrossRef]
- Hobart, J.C.; Thompson, A.J. The five item Barthel index. J. Neurol. Neurosurg. Psychiatry 2001, 71, 225–230. [Google Scholar] [CrossRef] [Green Version]
- Wang, Z.C.; Zhang, S.P.; Yuen, P.C.; Chan, K.W.; Chan, Y.Y.; Cheung, C.H.; Zhang, X. Intra-rater and inter-rater reliability of tongue coating diagnosis in traditional chinese medicine using smartphones: Quasi-delphi study. JMIR Mhealth Uhealth 2020, 8, e16018. [Google Scholar] [CrossRef] [PubMed]


| Moderate Group (n = 673) | Severe Group (n = 125) | ||
|---|---|---|---|
| Age (mean ± SD) | 65.98 ± 12.25 | 69.35 ± 10.81 | |
| Sex (%) | Male | 411 (61.1) | 62 (49.6) |
| Female | 262 (38.9) | 63 (50.4) | |
| Education (%) | Uneducated | 90 (13.4) | 20 (16.0) |
| 6 years | 140 (20.8) | 23 (18.4) | |
| 9 years | 128 (19.0) | 28 (22.4) | |
| 12 years | 196 (29.1) | 30 (24.0) | |
| Over 14 years | 90 (13.4) | 20 (16.0) | |
| N/A | 29 (4.3) | 4 (3.2) | |
| Ischemic Type (%) | Large artery atherosclerosis | 376 (55.9) | 65 (52.0) |
| Small vessel occlusion | 105 (15.6) | 12 (9.6) | |
| Cardio-embolism | 99 (14.7) | 32 (25.6) | |
| Other determined | 33 (4.9) | 7 (5.6) | |
| Undetermined ischemic stroke | 60 (8.9) | 9 (7.2) | |
| NIHSS at the time of hospitalization (mean ± SD) | 8.14 ± 2.99 | 19.47 ± 3.60 | |
| K-MMSE at the time of hospitalization (mean ± SD) | 20.19 ± 9.11 | 14.09 ± 11.33 | |
| Time (I) | Time (J) | MD (I-J) | SE | p Value | 95% CI | |
|---|---|---|---|---|---|---|
| Moderate group (n = 673) | Discharge | 3 months | 1.218 * | 0.117 | 0.000 * | 0.988–1.449 |
| 3 months | 6 months | 0.229 * | 0.083 | 0.006 * | 0.065–0.397 | |
| 6 months | 12 months | 0.080 | 0.096 | 0.405 | −0.109–0.269 | |
| 12 months | 18 months | 0.131 | 0.076 | 0.085 | −0.018–0.280 | |
| 18 months | 24 months | −0.083 | 0.072 | 0.250 | −0.225–0.059 | |
| Severe group (n = 125) | Discharge | 3 months | 1.312 * | 0.383 | 0.001 * | 0.554–2.070 |
| 3 months | 6 months | 0.376 | 0.286 | 0.191 | −0.190–0.942 | |
| 6 months | 12 months | −0.096 | 0.357 | 0.789 | −0.804–0.612 | |
| 12 months | 18 months | −0.008 | 0.311 | 0.979 | −0.623–0.607 | |
| 18 months | 24 months | −0.448 | 0.276 | 0.107 | −0.994–0.098 |
| Time | MBI | FIM | ||
|---|---|---|---|---|
| Moderate Group (n = 673) | Severe Group (n = 125) | Moderate Group (n = 673) | Severe Group (n = 125) | |
| Mean ± SD | Mean ± SD | Mean ± SD | Mean ± SD | |
| Discharge | 68.07 ± 28.04 | 40.74 ± 35.62 | 90.39 ± 28.02 | 61.33 ± 36.33 |
| 3 months | 81.28 ± 26.94 | 51.04 ± 38.09 | 102.93 ± 28.32 | 69.1 ± 38.88 |
| 6 months | 82.85 ± 26.90 | 53.94 ± 37.76 | 105.04 ± 28.05 | 72.20 ± 38.22 |
| 12 months | 84.48 ± 27.00 | 55.26 ± 38.94 | 106.57 ± 28.42 | 74.10 ± 39.33 |
| 18 months | 84.79 ± 27.52 | 56.95 ± 39.45 | 107.02 ± 28.77 | 76.27 ± 40.33 |
| 24 months | 84.21 ± 28.65 | 55.10 ± 40.22 | 106.80 ± 29.74 | 73.67 ± 41.24 |
| Time (I) | Time (J) | MD (J-I) | SE | p Value | 95% CI | ||
|---|---|---|---|---|---|---|---|
| Moderate group (n = 673) | MBI | Discharge | 3 months | 13.214 * | 0.812 | 0.000 * | 11.6202–14.808 |
| 3 months | 6 months | 1.571 * | 0.405 | 0.000 * | 0.776–2.365 | ||
| 6 months | 12 months | 1.630 * | 0.440 | 0.000 * | 0.766–2.494 | ||
| 12 months | 18 months | 0.308 | 0.367 | 0.402 | 0.413–1.028 | ||
| 18 months | 24 months | −0.579 | 0.386 | 0.134 | −1.338–0.179 | ||
| FIM | Discharge | 3 months | 12.535 * | 0.817 | 0.000 * | 10.930–14.140 | |
| 3 months | 6 months | 2.108 * | 0.435 | 0.000 * | 1.255–2.962 | ||
| 6 months | 12 months | 1.533 * | 0.450 | 0.001 * | 0.649–2.418 | ||
| 12 months | 18 months | 0.447 | 0.381 | 0.241 | −0.300–1.195 | ||
| 18 months | 24 months | −0.214 | 0.374 | 0.568 | −0.949–0.521 | ||
| Severe group (n = 125) | MBI | Discharge | 3 months | 10.296 * | 1.467 | 0.000 * | 7.393–13.199 |
| 3 months | 6 months | 2.896 * | 1.351 | 0.034 * | 0.221–5.571 | ||
| 6 months | 12 months | 1.328 | 1.106 | 0.232 | −0.861–3.517 | ||
| 12 months | 18 months | 1.688 | 1.067 | 0.116 | −0.423–3.799 | ||
| 18 months | 24 months | −1.856 | 1.135 | 0.105 | −4.103–0.391 | ||
| FIM | Discharge | 3 months | 7.792 * | 1.461 | 0.000 * | 4.900–10.684 | |
| 3 months | 6 months | 3.080 * | 1.276 | 0.017 * | 0.555–5.605 | ||
| 6 months | 12 months | 1.896 | 1.080 | 0.082 | −0.241–4.033 | ||
| 12 months | 18 months | 2.176 * | 1.006 | 0.032 * | 0.185–4.167 | ||
| 18 months | 24 months | −2.600 * | 0.900 | 0.005 * | −4.381–−0.819 | ||
Publisher’s Note: MDPI stays neutral with regard to jurisdictional claims in published maps and institutional affiliations. |
© 2022 by the authors. Licensee MDPI, Basel, Switzerland. This article is an open access article distributed under the terms and conditions of the Creative Commons Attribution (CC BY) license (https://creativecommons.org/licenses/by/4.0/).
Share and Cite
Lee, E.Y.; Sohn, M.K.; Lee, J.M.; Kim, D.Y.; Shin, Y.I.; Oh, G.J.; Lee, Y.S.; Lee, S.Y.; Song, M.K.; Han, J.H.; et al. Changes in Long-Term Functional Independence in Patients with Moderate and Severe Ischemic Stroke: Comparison of the Responsiveness of the Modified Barthel Index and the Functional Independence Measure. Int. J. Environ. Res. Public Health 2022, 19, 9612. https://doi.org/10.3390/ijerph19159612
Lee EY, Sohn MK, Lee JM, Kim DY, Shin YI, Oh GJ, Lee YS, Lee SY, Song MK, Han JH, et al. Changes in Long-Term Functional Independence in Patients with Moderate and Severe Ischemic Stroke: Comparison of the Responsiveness of the Modified Barthel Index and the Functional Independence Measure. International Journal of Environmental Research and Public Health. 2022; 19(15):9612. https://doi.org/10.3390/ijerph19159612
Chicago/Turabian StyleLee, Eun Young, Min Kyun Sohn, Jong Min Lee, Deog Young Kim, Yong Il Shin, Gyung Jae Oh, Yang Soo Lee, So Young Lee, Min Keun Song, Jun Hee Han, and et al. 2022. "Changes in Long-Term Functional Independence in Patients with Moderate and Severe Ischemic Stroke: Comparison of the Responsiveness of the Modified Barthel Index and the Functional Independence Measure" International Journal of Environmental Research and Public Health 19, no. 15: 9612. https://doi.org/10.3390/ijerph19159612
APA StyleLee, E. Y., Sohn, M. K., Lee, J. M., Kim, D. Y., Shin, Y. I., Oh, G. J., Lee, Y. S., Lee, S. Y., Song, M. K., Han, J. H., Ahn, J. H., Lee, Y. H., Chang, W. H., Choi, S. M., Lee, S. K., Joo, M. C., & Kim, Y. H. (2022). Changes in Long-Term Functional Independence in Patients with Moderate and Severe Ischemic Stroke: Comparison of the Responsiveness of the Modified Barthel Index and the Functional Independence Measure. International Journal of Environmental Research and Public Health, 19(15), 9612. https://doi.org/10.3390/ijerph19159612

