A Model to Evaluate the Effectiveness of the Maritime Shipping Risk Mitigation System by Entropy-Based Capability Degradation Analysis
Abstract
:1. Introduction
1.1. Evaluation of Ship Risk Mitigation Status
1.2. Related Work
- (1)
- Exploration in entropy-based model to investigate the effectiveness of the risk mitigation system when defencing various risks, the results of which are able to benefit greatly the safety management.
- (2)
- Establishment a complete solution for the effectiveness assessment model for the ship risk mitigation system, which can be used to improve the risk management of the maritime transportation.
- (3)
- The performance of the proposed model is verified by a case study, which indicates the great application potential in the field of risk management.
1.3. Organization
2. Methodology
2.1. Comprehensive Defence System
2.2. Capability Degradation Analysis
2.2.1. Theoretical Basis of Degradation Analysis
2.2.2. Degradation Form Judgment and Indicator Selection
2.2.3. Degradation Regulation Analysis
2.3. Entropy of Capability Calculation
3. Model Establishment
3.1. Framework Reorganization of SRMS
3.1.1. System Analysis and Reorganization
- The bridge subsystem includes elements such as navigation operators, navigation monitoring and warning systems, and navigation communication equipment.
- The engine room subsystem includes elements such as marine engineers, engine room monitoring platforms, and engine room maintenance equipment.
- The cargo hold subsystem includes elements such as operators, monitoring systems, and emergency equipment.
- The deck subsystem mainly includes elements such as staff, protection equipment and ship rescue equipment.
- The living cabin mainly includes elements such as personal protective equipment and personnel health protection systems.
- Risk mitigation methods, including human-based behaviours, strategies, and measures.
- Risk mitigation equipment, including hardware-based equipment, signs, and facilities.
- Risk mitigation platforms, including technology-based perception models, monitoring software, and early warning systems.
3.1.2. System Description
- (1)
- Human defence subsystem
- Ship management unit. This is mainly composed of ship owners and ship controllers. It is responsible for the maintenance plan, personnel arrangement, financial support and other aspects of ship risk mitigation. This is the top-level design unit of the human defence subsystem of the SRMS.
- Post operation unit. This is mainly composed of operators and supplementary personnel in various positions, such as the bridge, engine room, and deck of the ship. They are responsible for the safe operation of specific positions and the handling and response of direct risks under the ship’s sailing state. This is the core response unit of the human defence subsystem of the SRMS.
- Shore-based assistance unit. This is mainly composed of shore-based ship dispatching, supervision and piloting personnel. It is responsible for real-time monitoring, regular inspections, and assistance in response to the ship navigational risk state from the shore. This is an important guaranteed part of the human defence subsystem of SRMS.
- (2)
- Physical defence subsystem
- Safety facility unit. This is mainly composed of protective equipment related to navigation safety and ship fire protection. It is the basic unit of passive ship risk mitigation.
- Prevention barrier unit. This is mainly composed of a safety valve, protective net, and explosion-proof door to delay and hinder risk diffusion. It is a supplementary unit for passive risk mitigation.
- Prompt identification unit. This is mainly composed of indicative signs such as reminder boards, safety boards, and restricted access signs set up at a fixed position. It is an important unit for ship safety protection.
- Personnel equipment unit. This is mainly composed of the necessary protection and inspection equipment for post personnel. It is the basic material guarantee to support post personnel to effectively deal with navigational risk.
- (3)
- Technical defence subsystem
- Navigation monitoring unit. This is mainly composed of modern information protection platforms such as bridge information monitoring, radar monitoring, and weather monitoring. It is the basic functional unit for the ship technical risk mitigation subsystem.
- Information assurance unit. This is mainly composed of information technology protection methods such as emergency communication platforms, network protection means, and ship–shore cooperative communication guarantees. It is the basic guarantee unit for the ship technical risk mitigation subsystem.
- Risk warning unit. This is mainly composed of specific risk mitigation technologies such as the identification of unsafe behaviours, the alarm of abnormal routes, and the fault tolerance of the warning system. It is the core application unit for the ship technical risk mitigation subsystem.
- Decision management unit. This is mainly composed of the specific safety risk treatment means of automatic collision avoidance route planning, ship automatic navigation and safety risk autonomous response systems. It is an important response unit for the realization of ship technical risk mitigation.
3.2. Indicator Design of SRMS
3.2.1. Human Defence Subsystem
3.2.2. Physical Defence Subsystem
3.2.3. Technical Defence Subsystem
3.3. Capability Degradation Analysis at Subsystem Level
3.3.1. Parameters Characterizing Degradation Process
3.3.2. Degradation Regulation Analysis
3.4. System Effectiveness Measurement Based on Entropy of Capability
3.4.1. Measurement Methodology Description
3.4.2. Comprehensive Effectiveness Aggregation
- (1)
- Indicator data pre-processing
- (2)
- Effectiveness calculation based on entropy of capability
- (3)
- Subsystem performance integration
4. Case Study
4.1. Case Selection and Results Output
- Ship departure. In the departure stage, ships go through the process of unberthing and leaving port. Ship risk mitigation mainly involves unberthing safety, sailing in narrow waters, and route planning.
- Ship sailing. In the sailing stage, ships go through the process of multiple navigation areas and intersection navigation. Ship risk mitigation mainly involves the unberthing safety of navigation monitoring, ship–shore communications, and collision avoidance decisions.
- Ship arrival. In the arrival stage, ships go through the process of entering ports and berthing. Ship risk mitigation mainly involves the unberthing safety of sailing in narrow water navigation monitoring, ship–shore collaboration, and berthing safety.
4.2. Degradation Regulation Analysis
4.2.1. Volatility Analysis
4.2.2. Degradation Trend Analysis
4.3. Evaluation Accuracy Analysis
4.3.1. Traditional Effectiveness Evaluation Method Based on the Accident Probability Algorithm
- (1)
- Priori data generation
- (2)
- Effectiveness calculation
4.3.2. Effectiveness Evaluation Based on Entropy of Capability
4.4. Model Comprehensive Analysis
5. Conclusions
Author Contributions
Funding
Institutional Review Board Statement
Informed Consent Statement
Conflicts of Interest
Appendix A
| Measuring Point | |||||
|---|---|---|---|---|---|
| No. | A | B | C | D | E |
| 1 | 0.8391 | 0.6974 | 0.6594 | 0.5592 | 0.2120 |
| 2 | 0.9384 | 0.8478 | 0.5649 | 0.5294 | 0.4729 |
| 3 | 0.8379 | 0.8522 | 0.7103 | 0.6203 | 0.4478 |
| 4 | 0.8703 | 0.7315 | 0.4412 | 0.7127 | 0.4023 |
| 5 | 0.8707 | 0.8663 | 0.6254 | 0.7512 | 0.4270 |
| 6 | 0.8711 | 0.7033 | 0.7773 | 0.3460 | 0.0617 |
| 7 | 0.9021 | 0.6102 | 0.5402 | 0.2764 | 0.0851 |
| 8 | 0.9036 | 0.7963 | 0.6985 | 0.6960 | 0.1030 |
| 9 | 0.8745 | 0.8565 | 0.5982 | 0.5420 | 0.1075 |
| 10 | 0.8644 | 0.8100 | 0.4676 | 0.7394 | 0.1164 |
| 11 | 0.7668 | 0.7593 | 0.7084 | 0.7379 | 0.1424 |
| 12 | 0.8291 | 0.7409 | 0.6503 | 0.4661 | 0.1439 |
| 13 | 0.8609 | 0.8498 | 0.5687 | 0.3949 | 0.1590 |
| 14 | 0.9309 | 0.9190 | 0.5668 | 0.5098 | 0.1792 |
| 15 | 0.8237 | 0.7734 | 0.7143 | 0.6633 | 0.2009 |
| 16 | 0.8458 | 0.8108 | 0.6283 | 0.6321 | 0.2117 |
| 17 | 0.8937 | 0.7654 | 0.6725 | 0.7123 | 0.2146 |
| 18 | 0.9565 | 0.7869 | 0.6178 | 0.4223 | 0.2302 |
| 19 | 0.8140 | 0.7685 | 0.6697 | 0.2976 | 0.2306 |
| 20 | 0.7942 | 0.8126 | 0.6127 | 0.5642 | 0.2336 |
| 21 | 0.9210 | 0.7344 | 0.5143 | 0.3587 | 0.2527 |
| 22 | 0.8804 | 0.8790 | 0.5853 | 0.2102 | 0.2693 |
| 23 | 0.8521 | 0.8002 | 0.7439 | 0.3512 | 0.2759 |
| 24 | 0.8285 | 0.8194 | 0.5719 | 0.5576 | 0.2782 |
| 25 | 0.9026 | 0.7211 | 0.6795 | 0.5268 | 0.2833 |
| 26 | 0.9549 | 0.6461 | 0.6949 | 0.6361 | 0.2948 |
| 27 | 0.7840 | 0.8311 | 0.6678 | 0.5609 | 0.2968 |
| 28 | 0.8603 | 0.6932 | 0.4904 | 0.7278 | 0.3077 |
| 29 | 0.9508 | 0.6928 | 0.6641 | 0.5784 | 0.3135 |
| 30 | 0.7970 | 0.7655 | 0.6260 | 0.5313 | 0.3248 |
| 31 | 0.8902 | 0.7720 | 0.7052 | 0.6178 | 0.3249 |
| 32 | 0.7986 | 0.7189 | 0.6204 | 0.5189 | 0.3260 |
| 33 | 0.9204 | 0.8061 | 0.6792 | 0.5250 | 0.3265 |
| 34 | 0.7768 | 0.9134 | 0.8175 | 0.6866 | 0.3279 |
| 35 | 0.9328 | 0.6730 | 0.6323 | 0.6304 | 0.3359 |
| 36 | 0.8006 | 0.7506 | 0.6828 | 0.5681 | 0.3371 |
| 37 | 0.8776 | 0.8154 | 0.7687 | 0.5183 | 0.3427 |
| 38 | 0.8201 | 0.8535 | 0.7814 | 0.4163 | 0.3482 |
| 39 | 0.8682 | 1.0605 | 0.6847 | 0.5678 | 0.3505 |
| 40 | 0.8592 | 0.8109 | 0.6653 | 0.3909 | 0.3520 |
| 41 | 0.9198 | 0.9039 | 0.7692 | 0.6995 | 0.3529 |
| 42 | 0.7837 | 0.9366 | 0.6159 | 0.5111 | 0.3670 |
| 43 | 0.9335 | 0.8583 | 0.6148 | 0.4931 | 0.3701 |
| 44 | 0.8544 | 0.7028 | 0.6198 | 0.5098 | 0.3713 |
| 45 | 0.8985 | 0.7782 | 0.8660 | 0.3880 | 0.3802 |
| 46 | 0.8701 | 0.7549 | 0.8222 | 0.4128 | 0.3905 |
| 47 | 0.9218 | 0.8847 | 0.6488 | 0.4143 | 0.3957 |
| 48 | 0.7911 | 0.7433 | 0.6493 | 0.4241 | 0.3977 |
| 49 | 0.8958 | 0.9377 | 0.5884 | 0.6364 | 0.4097 |
| 50 | 0.9106 | 0.7670 | 0.7441 | 0.5996 | 0.4245 |
| 51 | 0.8611 | 0.8096 | 0.7291 | 0.5450 | 0.4284 |
| 52 | 0.9174 | 0.5932 | 0.5876 | 0.5070 | 0.4293 |
| 53 | 0.8435 | 0.7579 | 0.7765 | 0.5608 | 0.4393 |
| 54 | 0.9145 | 0.5724 | 0.4839 | 0.4098 | 0.4403 |
| 55 | 0.8094 | 0.7319 | 0.6638 | 0.4618 | 0.4411 |
| 56 | 0.9575 | 0.8281 | 0.5304 | 0.4935 | 0.4439 |
| 57 | 0.7559 | 0.8113 | 0.5684 | 0.6182 | 0.4490 |
| 58 | 0.8491 | 0.7390 | 0.5851 | 0.4698 | 0.4528 |
| 59 | 0.9012 | 0.7700 | 0.4691 | 0.5980 | 0.4536 |
| 60 | 0.7732 | 0.8782 | 0.8094 | 0.7257 | 0.4611 |
| 61 | 0.9742 | 0.8253 | 0.7633 | 0.5825 | 0.4639 |
| 62 | 0.8126 | 0.8150 | 0.7508 | 0.4587 | 0.4673 |
| 63 | 0.8038 | 0.8805 | 0.7091 | 0.5191 | 0.4736 |
| 64 | 0.8607 | 0.6704 | 0.6676 | 0.5793 | 0.4742 |
| 65 | 0.8252 | 0.6852 | 0.7492 | 0.5011 | 0.4807 |
| 66 | 0.8794 | 0.7796 | 0.5635 | 0.5550 | 0.4807 |
| 67 | 0.8448 | 0.7211 | 0.4240 | 0.2733 | 0.4840 |
| 68 | 0.8643 | 0.7700 | 0.6542 | 0.8711 | 0.4916 |
| 69 | 0.8940 | 0.8325 | 0.8280 | 0.5851 | 0.5045 |
| 70 | 0.8580 | 0.7925 | 0.6938 | 0.5080 | 0.5071 |
| 71 | 0.8776 | 0.8564 | 0.5644 | 0.6017 | 0.5106 |
| 72 | 0.8949 | 0.9481 | 0.5197 | 0.5476 | 0.5310 |
| 73 | 0.8635 | 0.8040 | 0.6829 | 0.4294 | 0.5335 |
| 74 | 0.8096 | 0.7257 | 0.6860 | 0.3197 | 0.5387 |
| 75 | 0.8417 | 0.6556 | 0.7715 | 0.5232 | 0.5434 |
| 76 | 0.7894 | 0.8058 | 0.6380 | 0.4989 | 0.5436 |
| 77 | 0.8688 | 0.8785 | 0.6934 | 0.3564 | 0.5641 |
| 78 | 0.8177 | 0.8232 | 0.5792 | 0.3576 | 0.5670 |
| 79 | 0.8303 | 0.7066 | 0.4359 | 0.6065 | 0.5690 |
| 80 | 0.8742 | 0.8831 | 0.8536 | 0.5693 | 0.5848 |
| 81 | 0.8607 | 0.8243 | 0.6520 | 0.5435 | 0.6022 |
| 82 | 0.8631 | 0.6688 | 0.6309 | 0.4911 | 0.6053 |
| 83 | 0.8238 | 0.7859 | 0.5267 | 0.5056 | 0.6219 |
| 84 | 0.8769 | 0.9313 | 0.7072 | 0.5173 | 0.6440 |
| 85 | 0.9091 | 0.7117 | 0.6057 | 0.4514 | 0.6468 |
| 86 | 0.8247 | 0.8343 | 0.8250 | 0.5721 | 0.6491 |
| 87 | 0.8749 | 0.7508 | 0.6782 | 0.3212 | 0.6532 |
| 88 | 0.8545 | 0.8360 | 0.6717 | 0.4938 | 0.6721 |
| 89 | 0.8769 | 0.7596 | 0.4661 | 0.3898 | 0.6785 |
| 90 | 0.8761 | 0.7957 | 0.8612 | 0.3539 | 0.6888 |
| 91 | 0.9207 | 0.7886 | 0.6808 | 0.6370 | 0.6984 |
| 92 | 0.8761 | 0.6975 | 0.6561 | 0.6324 | 0.7075 |
| 93 | 0.9156 | 0.7478 | 0.6618 | 0.4353 | 0.7398 |
| 94 | 0.8662 | 0.9523 | 0.6346 | 0.5729 | 0.7544 |
| 95 | 0.8537 | 0.7791 | 0.6319 | 0.3826 | 0.7801 |
| 96 | 0.8551 | 0.8267 | 0.6805 | 0.4172 | 0.7900 |
| 97 | 0.8489 | 0.7948 | 0.6703 | 0.3107 | 0.7915 |
| 98 | 0.8902 | 0.7321 | 0.7572 | 0.3015 | 0.4525 |
| 99 | 0.8392 | 0.7604 | 0.6329 | 0.2570 | 0.8633 |
| 100 | 0.8935 | 0.7772 | 0.6009 | 0.4320 | 0.8319 |
References
- Xue, J.; Wu, C.; Chen, Z.; van Gelder, P.H.A.J.M.; Yan, X. Modeling Human-like Decision-Making for Inbound Smart Ships Based on Fuzzy Decision Trees. Expert. Syst. Appl. 2019, 115, 172–188. [Google Scholar] [CrossRef]
- Galieriková, A. The Human Factor and Maritime Safety. Transp. Res. Procedia 2019, 40, 1319–1326. [Google Scholar] [CrossRef]
- Qiao, W.; Liu, Y.; Ma, X.; Liu, Y. A Methodology to Evaluate Human Factors Contributed to Maritime Accident by Mapping Fuzzy FT into ANN Based on HFACS. Ocean. Eng. 2020, 197, 106892. [Google Scholar] [CrossRef]
- Kaptan, M.; Sarıalïoğlu, S.; Uğurlu, Ö.; Wang, J. The Evolution of the HFACS Method Used in Analysis of Marine Accidents: A Review. Int. J. Ind. Ergonom. 2021, 86, 103225. [Google Scholar] [CrossRef]
- Kayisoglu, G.; Gunes, B.; Besikci, E.B. SLIM Based Methodology for Human Error Probability Calculation of Bunker Spills in Maritime Operations. Reliab. Eng. Syst. Saf. 2022, 217, 108052. [Google Scholar] [CrossRef]
- Shi, X.; Zhuang, H.; Xu, D. Structured Survey of Human Factor-Related Maritime Accident Research. Ocean. Eng. 2021, 237, 109561. [Google Scholar] [CrossRef]
- Guo, Y.; Lu, Y.; Guo, Y.; Liu, R.W.; Chui, K.T. Intelligent Vision-Enabled Detection of Water-Surface Targets for Video Surveillance in Maritime Transportation. J. Adv. Transp. 2021, 2021, 9470895. [Google Scholar] [CrossRef]
- Olba, X.B.; Daamen, W.; Vellinga, T.; Hoogendoorn, S.P. Risk Assessment Methodology for Vessel Traffic in Ports by Defining the Nautical Port Risk Index. J. Mar. Sci. Eng. 2020, 8, 10. [Google Scholar] [CrossRef] [Green Version]
- Zolich, A.; Palma, D.; Kansanen, K.; Fjørtoft, K.; Sousa, J.; Johansson, K.H.; Jiang, Y.; Dong, H.; Johansen, T.A. Survey on Communication and Networks for Autonomous Marine Systems. J. Intell. Robot. Syst. 2019, 95, 789–813. [Google Scholar] [CrossRef] [Green Version]
- Wang, D.; Li, D.; Sun, L.; Zhang, Z.; Cheng, J.; Yu, M. Fuzzy Comprehensive Evaluation of Maritime Boundary Delimitation Schemes Based on AHP-Entropy Weight Method. J. Intell. Fuzzy Syst. 2022, 2022, 2757779. [Google Scholar] [CrossRef]
- Sur, J.M.; Kim, D.J. Comprehensive Risk Estimation of Maritime Accident Using Fuzzy Evaluation Method—Focusing on Fishing Vessel Accident in Korean Waters. Asian J. Shipp. Log. 2020, 36, 127–135. [Google Scholar] [CrossRef]
- Wang, L.; Liu, Q.; Dong, S.; Guedes Soares, C. Effectiveness Assessment of Ship Navigation Safety Countermeasures Using Fuzzy Cognitive Maps. Saf. Sci. 2019, 117, 352–364. [Google Scholar] [CrossRef]
- Fan, S.; Yang, Z.; Blanco-Davis, E.; Zhang, J.; Yan, X. Analysis of Maritime Transport Accidents Using Bayesian Networks. Proc. Inst. Mech. Eng. Part O J. Risk Reliab. 2020, 234, 439–454. [Google Scholar] [CrossRef]
- Xie, T.H.; Lin, Y.; Chi, W.; Yang, Z.Y. Intelligent Identification of Fires in Ship Compartments Using a Bayesian Network. J. Mar. Sci. Tech.-Jpn. 2016, 24, 842–850. [Google Scholar] [CrossRef]
- Fan, S.; Blanco-Davis, E.; Yang, Z.; Zhang, J.; Yan, X. Incorporation of Human Factors into Maritime Accident Analysis Using a Data-Driven Bayesian Network. Reliab. Eng. Syst. Saf. 2020, 203, 107070. [Google Scholar] [CrossRef]
- Jia, X.; Zhang, D. Prediction of Maritime Logistics Service Risks Applying Soft Set Based Association Rule: An Early Warning Model. Reliab. Eng. Syst. Saf. 2021, 207, 107339. [Google Scholar] [CrossRef]
- Yu, Q.; Teixeira, Â.P.; Liu, K.; Rong, H.; Guedes Soares, C. An Integrated Dynamic Ship Risk Model Based on Bayesian Networks and Evidential Reasoning. Reliab. Eng. Syst. Saf. 2021, 216, 107993. [Google Scholar] [CrossRef]
- Nasiri, M.; Ukko, J.; Saunila, M.; Rantala, T.; Rantanen, H. Digital-Related Capabilities and Financial Performance: The Mediating Effect of Performance Measurement Systems. Technol. Anal. Strateg. 2020, 32, 1393–1406. [Google Scholar] [CrossRef]
- Li, X.; Lin, M.; Shu, Z.; Liu, G.; Wang, T.; Wang, W. Synthesized Capability-Effectiveness Evaluation Method of Contribution Ratio to System-of-Systems. J. Simul. 2018, 12, 4520–4528. [Google Scholar] [CrossRef]
- Bettauer, R.J. The Convention on the Physical Protection of Nuclear Material. Am. J. Int. Law. 1980, 74, 205–206. [Google Scholar] [CrossRef]
- Garcia, M.L. Design and Evaluation of Physical Protection Systems; Butterworth-Heinemann: Oxford, UK, 2007. [Google Scholar]
- Chatzimichailidou, M.M.; Dokas, I.M. The Risk Situation Awareness Provision Capability and Its Degradation in the Überlingen Accident over Time. Procedia Eng. 2015, 128, 44–53. [Google Scholar] [CrossRef] [Green Version]
- Chen, C.H.; Chou, C.Y.; Kan, C.C.; Khoo, M.B.C. Production Quantity and Specification Limits Settings by Considering Specified Process Capability Value. J. Ind. Eng. Chem. 2014, 31, 229–237. [Google Scholar] [CrossRef]
- Gao, H.; Cui, L.; Kong, D. Reliability Analysis for a Wiener Degradation Process Model under Changing Failure Thresholds. Reliab. Eng. Syst. Saf. 2018, 171, 1–8. [Google Scholar] [CrossRef]
- Fotr, J.; Špaček, M.; Souček, I.; Vacík, E. Scenarios, Their Concept, Elaboration and Application. Balt. J. Manag. 2015, 10, 73–97. [Google Scholar] [CrossRef]
- Aslett, L.J.M.; Nagapetyan, T.; Vollmer, S.J. Multilevel Monte Carlo for Reliability Theory. Reliab. Eng. Syst. Saf. 2017, 165, 188–196. [Google Scholar] [CrossRef] [Green Version]
- Paté-Cornell, M.E. Organizational Aspects of Engineering System Safety: The Case of Offshore Platforms. Science 1990, 250, 1210–1217. [Google Scholar] [CrossRef] [Green Version]
- Shannon, C.E. A Mathematical Theory of Communication. Bell. System. Tech. J. 1948, 27, 379–423. [Google Scholar] [CrossRef] [Green Version]
- Ornstein, D.S. Ergodic Theory, Randomness, and “Chaos”. Science 1989, 243, 182–187. [Google Scholar] [CrossRef] [Green Version]
- König, R.; Renner, R.; Schaffner, C. The Operational Meaning of Min- and Max-Entropy. IEEE Trans. Inf. Theory 2009, 55, 4337–4347. [Google Scholar] [CrossRef] [Green Version]
- Łosiewicz, Z.; Nikończuk, P.; Pielka, D. Application of Artificial Intelligence in the Process of Supporting the Ship Owner’s Decision in the Management of Ship Machinery Crew in the Aspect of Shipping Safety. Procedia Comput. Sci. 2019, 159, 2197–2205. [Google Scholar] [CrossRef]
- Knox, B.J.; Lugo, R.G.; Sütterlin, S. Cognisance as a Human Factor in Military Cyber Defence Education. IFAC-Pap. OnLine 2019, 52, 163–168. [Google Scholar] [CrossRef]
- Li, J.; Liu, Y.; Chen, T.; Xiao, Z.; Li, Z.; Wang, J. Adversarial Attacks and Defenses on Cyber-Physical Systems: A Survey. IEEE Int. Things J. 2020, 7, 5103–5115. [Google Scholar] [CrossRef]
- Tam, K.; Moara-Nkwe, K.; Jones, K. The Use of Cyber Ranges in the Maritime Context: Assessing Maritime-Cyber Risks, Raising Awareness, and Providing Training. Marit. Technol. Res. 2020, 3, 16–30. [Google Scholar] [CrossRef]
- Roesler, E.; Manzey, D.; Onnasch, L. A Meta-Analysis on the Effectiveness of Anthropomorphism in Human-Robot Interaction. Sci. Robot. 2021, 6, 5425. [Google Scholar] [CrossRef]
- Wang, W.; di Maio, F.; Zio, E. Adversarial Risk Analysis to Allocate Optimal Defense Resources for Protecting Cyber–Physical Systems from Cyber Attacks. Risk. Anal. 2019, 39, 2766–2785. [Google Scholar] [CrossRef] [Green Version]
- Perera, L.P.; Ferrari, V.; Santos, F.P.; Hinostroza, M.A.; Soares Guedes, C. Experimental Evaluations on Ship Autonomous Navigation and Collision Avoidance by Intelligent Guidance. IEEE J. Ocean. Eng. 2014, 40, 374–387. [Google Scholar] [CrossRef]
- Ma, X.; Shen, J.; Liu, Y.; Qiao, W. A Methodology to Evaluate the Effectiveness of Intelligent Ship Navigational Information Monitoring System. IEEE. Access. 2020, 8, 193544–193559. [Google Scholar] [CrossRef]
- Song, X.; Wang, S.; Hu, Z.; Li, H. A Hybrid Rayleigh and Weibull Distribution Model for the Short-Term Motion Response Prediction of Moored Floating Structures. Ocean. Eng. 2019, 182, 126–136. [Google Scholar] [CrossRef]
- Khamkanya, A.; Cho, B.R.; Goethals, P.L. Integrating Customer Perception into Process Capability Measures. Qual. Reliab. Eng. Int. 2016, 32, 1331–1345. [Google Scholar] [CrossRef]
- Lewis, H.F.; Lock, K.A.; Sexton, T.R. Organizational Capability, Efficiency, and Effectiveness in Major League Baseball: 1901-2002. Eur. J. Oper. Res. 2009, 197, 731–740. [Google Scholar] [CrossRef]
- Liu, J.; Zhang, H.; Zhen, L. Blockchain Technology in Maritime Supply Chains: Applications, Architecture and Challenges. Int. J. Prod. Res. 2021, 2021, 1–17. [Google Scholar] [CrossRef]
- Akyuz, E. Quantitative Human Error Assessment during Abandon Ship Procedures in Maritime Transportation. Ocean. Eng. 2016, 120, 21–29. [Google Scholar] [CrossRef]
- Dong, D.T.; Cai, W. A Comparative Study of Life Cycle Assessment of a Panamax Bulk Carrier in Consideration of Lightship Weight. Ocean. Eng. 2019, 172, 583–598. [Google Scholar] [CrossRef]
- Razali, N.M.; Wah, Y.B. Power Comparisons of Shapiro-Wilk, Kolmogorov-Smirnov, Lilliefors and Anderson-Darling Tests. J. Stat. Modeling Anal. 2011, 2, 21–33. [Google Scholar] [CrossRef] [Green Version]
- Fam, M.L.; Konovessis, D.; He, X.H.; Ong, L.S. Data Learning and Expert Judgment in a Bayesian Belief Network for Aiding Human Reliability Assessment in Offshore Decommissioning Risk Assessment. IEEE J. Ocean. Eng. 2021, 6, 170–184. [Google Scholar] [CrossRef]
















| Composition | A collection of human-centred risk mitigation standards, measures and behaviours. |
| objective | From the perspective of human risk mitigation, fully mobilize people’s subjective initiative, timely identify, accurately judge and efficiently deal with potential safety risks to ensure the normal operation of risk mitigation subjects. |
| function | Based on people’s subjective initiative, give play to the role of independent decision-making, flexible interaction, and experience dependence of human defence. |
| characteristic | Advantage: strong individual dependence (experience, capability), strong autonomy (self-judgement), strong interaction (flexible), strong adaptability (changing with the environment). |
| Disadvantage: poor uniformity (judgement criteria, operation mode), poor driver (unable to standardize the program), poor persistence (human characteristics). |
| Composition | A collection of hardware-based risk mitigation instruments, signs and facilities. |
| objective | From the perspective of physical risk mitigation, giving full play to the passive resistance of objects, reducing, delaying and avoiding possible risks, and then improving the effectiveness of water traffic risk mitigation. |
| function | Based on the characteristics of a physical object, playing the role of barrier, identification, and damage resistance of physical prevention. |
| characteristic | Advantage: good damage resistance (compared to humans), high permanence (24 h on duty), excellent economy (compared with personal injury), strong replaceability (replaceable after damage), strong objectivity (fixed attributes). |
| Disadvantage: poor autonomy (no self-awareness), poor flexibility (almost no interaction), poor lifting performance (cured performance). |
| Composition | A collection of technology-based risk mitigation methods, application software, and integrated systems. |
| objective | From the perspective of technical risk mitigation, giving full play to the effectiveness of technical activities, using information technology to discover, analyse, and deal with potential risks, then improving the effectiveness of water traffic risk mitigation. |
| function | Based on the inherent characteristics of technology, playing the role of identification, early warning, analysis, and monitoring in technical prevention. |
| characteristic | Advantage: strong methodology (with technical support), strong adaptability (fast perception speed), strong interactivity (link people and things), high integration (diversified constituent elements), good relevance and responsiveness (completely from actual demand). |
| Disadvantage: high external dependence (cannot run alone), high technical threshold (not easy to achieve), faster stacking speed (as demand changes). |
| Basic Personnel Support Capability | The Certificate Status |
| Ship Manning Situation | |
| Stability of personnel on board | average time on board |
| proportion of leader layer in half a year | |
| proportion of operation layer in half a year | |
| proportion of support layer in half a year | |
| Familiarity of decision-makers with ships | the ship’s captain continuous on-board time |
| the ship’s chief mate continuous on-board time | |
| average cumulative time of officers on similar ships | |
| Risk mitigation exercise situation | completeness of types of ship exercises |
| frequency of key project exercises | |
| record times of basic exercise training | |
| Working language on board | proportion of native language crew |
| proportion of crew nationality differentiation | |
| Crew safety training | average annual class hours of organizations |
| average annual training hours for crew enterprises | |
| Crew handover situation | proportion of crew handover records |
| Implementation of pre shift meeting system | pre shift meeting record |
| statistics of on-board operation accidents | |
| Discussion on on-board safety risk events | number of participants |
| frequency of discussion | |
| Health status of on-board personnel | frequency of crew medical examination |
| proportion of chronic occupational diseases | |
| frequency of psychological relief | |
| Operation conditions on board | continuous monitoring under closed operation |
| frequency of on-board operation |
| Anti-piracy capability | safe house |
| frequency of safety house inspections | |
| Mobile firefighting capability | quota quantity |
| instrument pressure (bar) | |
| inspection cycle | |
| Closed space gas detection capability | alarm concentration |
| number of false-positives | |
| Video collection capability | definition (image resolution) |
| signal-to-noise ratio (dB) | |
| Bilge emergency pump discharge capability | lift (m) |
| flow (m3/h) | |
| cavitation indicator | |
| Safety warning capability | vent prompt bar |
| smoking warning signs | |
| warehouse warning signs | |
| Safe operation support capability | tag and lock off |
| Fuel safety protection capability | inspection frequency of quick closing valve |
| Personal protective equipment configuration capability | protective rope |
| protective cap | |
| protective clothing | |
| gas protection equipment | |
| protective earplugs | |
| Fixed fire extinguishing capability | trigger response value (mg/l) |
| number of false-positives (times/month) | |
| gas emission rate (l/min) | |
| Ship self-rescue capability | number of lifeboats |
| number of life rafts | |
| number of lifebuoys | |
| number of life jackets | |
| Fire isolation capability | airtightness of fire door |
| alarm device | |
| Water inlet alarm capability | alarm value of water inlet (mm) |
| number of false-positives |
| Ship’s automatic navigation capability | electronic chart update (times/month) |
| GPS accuracy | |
| Bridge information monitoring capability | coverage of monitoring indicators |
| effective information fusion rate | |
| Radar monitoring capability | determination accuracy |
| anti-interference rate | |
| Emergency communication capability | information fidelity |
| channel capability (kb) | |
| communication delay (ms) | |
| Route abnormal alarm capability | alarm value (deviation degree) |
| number of alarms (times/day) | |
| Automatic collision avoidance capability | accuracy of generation |
| probability of scheme adoption | |
| Meteorological monitoring capability | accuracy within 1 year |
| Fault tolerance of risk alarm system | fault tolerance degree |
| Network protection capability | protection software and hardware |
| network paralysis response plan | |
| Video surveillance coverage capability | coverage |
| Unsafe behaviour recognition capability | intelligent recognition rate |
| Ship–shore cooperative monitoring capability | VTS visibility in the jurisdiction |
| visualization degree of remote sensing information | |
| sum of GNSS delay error and inherent error (ms) | |
| LRIT information protection mechanism | |
| GMDSS false alarm rate |
| Total Length | 116 m | Gross Tonnage | 6000 t |
|---|---|---|---|
| width | 18 m | speed | 18 nm/h |
| depth | 8.35 m | voyage | 10,000 nm |
| design draft | 5.4 m | construction date | 2008 |
| A | B | C | D | E | |
|---|---|---|---|---|---|
| Count | 100 | 100 | 100 | 100 | 100 |
| Mean | 0.863755 | 0.788881 | 0.653696 | 0.513926 | 0.431334 |
| Std | 0.054391 | 0.081878 | 0.097234 | 0.126745 | 0.180557 |
| Min | 0.75591 | 0.572405 | 0.424012 | 0.210193 | 0.061739 |
| 25% | 0.81945 | 0.737842 | 0.59573 | 0.421013 | 0.321971 |
| 50% | 0.862128 | 0.78775 | 0.660608 | 0.518999 | 0.434303 |
| 75% | 0.899203 | 0.832973 | 0.707531 | 0.588304 | 0.539868 |
| Max | 0.974195 | 1.060506 | 0.86603 | 0.87106 | 0.863276 |
| Capability Indicators | Characteristic Value | Improved Characteristic Value | Loss Factor | Entropy of Capability | Subsystem Effectiveness | Informatization Degree | Route Safety Factor | System Effectiveness | |
|---|---|---|---|---|---|---|---|---|---|
| physical defence | Anti-piracy capability | 0.8000 | 1.288 | 1.92% | 0.0248 | 0.9421 | 39% | 0.96 | 0.8485 |
| Mobile firefighting capability | 0.4705 | 0.299 | 3.85% | 0.0115 | |||||
| Closed space gas detection capability | 0.8333 | 1.493 | 5.77% | 0.0862 | |||||
| Video collection capability | 0.7680 | 1.122 | 7.70% | 0.0864 | |||||
| Bilge emergency pump discharge capability | 0.7147 | 0.896 | 9.62% | 0.0862 | |||||
| Safety warning capability | 1.0000 | 2.000 | 11.54% | 0.2309 | |||||
| Safe operation support capability | 1.0000 | 2.000 | 13.47% | 0.2694 | |||||
| Fuel safety protection capability | 0.9333 | 2.528 | 15.39% | 0.3891 | |||||
| Personal protective equipment configuration capability | 1.0000 | 2.000 | 17.32% | 0.3463 | |||||
| Fixed fire extinguishing capability | 0.5457 | 0.431 | 1.92% | 0.0083 | |||||
| Ship self-rescue capability | 0.7680 | 1.122 | 1.92% | 0.0216 | |||||
| Fire isolation capability | 0.8000 | 1.288 | 3.85% | 0.0495 | |||||
| Water inlet alarm capability | 0.5514 | 0.442 | 5.77% | 0.0255 | |||||
| technical defence | Ship’s automatic navigation capability | 0.6267 | 0.617 | 6.25% | 0.0386 | 0.8294 | 27% | ||
| Bridge information monitoring capability | 0.6618 | 0.717 | 7.81% | 0.0560 | |||||
| Radar monitoring capability | 0.6333 | 0.635 | 9.38% | 0.0596 | |||||
| Emergency communication capability | 0.7467 | 1.025 | 10.94% | 0.1121 | |||||
| Automatic collision avoidance capability | 0.4267 | 0.237 | 12.50% | 0.0297 | |||||
| Meteorological monitoring capability | 0.5973 | 0.5434 | 14.06% | 0.0764 | |||||
| Fault tolerance of risk alarm system | 0.8360 | 1.5111 | 15.63% | 0.2361 | |||||
| Network protection capability | 0.8000 | 1.2876 | 1.56% | 0.0201 | |||||
| Video surveillance coverage capability | 1.0000 | 2.0000 | 3.13% | 0.0625 | |||||
| Unsafe behaviour recognition capability | 0.8360 | 1.5111 | 4.69% | 0.0708 | |||||
| Ship–shore cooperative monitoring capability | 0.8100 | 1.3452 | 6.25% | 0.0841 | |||||
| Ship’s automatic navigation capability | 0.1960 | 0.0428 | 7.81% | 0.0033 | |||||
| human defence | Basic personnel support capability | 1.0000 | 2.0000 | 8.86% | 0.1772 | 0.8604 | 34% | ||
| Familiarity of decision-makers with ships | 0.1851 | 0.0379 | 10.34% | 0.0039 | |||||
| Risk mitigation Exercise situation | 0.4642 | 0.2897 | 11.82% | 0.0342 | |||||
| Working language on board | 0.3698 | 0.1707 | 13.29% | 0.0227 | |||||
| Crew safety training | 0.4949 | 0.3381 | 1.48% | 0.0050 | |||||
| Crew handover situation | 0.7200 | 0.9165 | 2.95% | 0.0271 | |||||
| Implementation of pre-shift meeting system | 0.8000 | 1.2876 | 4.43% | 0.0570 | |||||
| Discussion on on-board safety risk events | 0.8000 | 1.2876 | 5.91% | 0.0761 | |||||
| Health status of on-board personnel | 0.8000 | 1.2876 | 7.38% | 0.0951 | |||||
| Operation conditions on board | 0.2880 | 0.0978 | 8.86% | 0.0087 | |||||
| Stability of personnel on board | 0.5333 | 0.4065 | 23.63% | 0.0961 |
| Distribution Form | Feature | Flag (0.05) | Statistic | Critical Values | Signification Level |
|---|---|---|---|---|---|
| Normal distribution | A | + | 0.262144011 | [0.555 0.632 0.759 0.885 1.053] | [15. 10. 5. 2.5 1.] |
| B | + | 0.240336575 | [0.555 0.632 0.759 0.885 1.053] | [15. 10. 5. 2.5 1.] | |
| C | + | 0.447665853 | [0.555 0.632 0.759 0.885 1.053] | [15. 10. 5. 2.5 1.] | |
| D | + | 0.341666108 | [0.555 0.632 0.759 0.885 1.053] | [15. 10. 5. 2.5 1.] | |
| E | + | 0.30482838 | [0.555 0.632 0.759 0.885 1.053] | [15. 10. 5. 2.5 1.] | |
| Exponential Distribution | A | - | 41.12834048 | [0.917 1.072 1.333 1.596 1.945] | [15. 10. 5. 2.5 1.] |
| B | - | 37.26900374 | [0.917 1.072 1.333 1.596 1.945] | [15. 10. 5. 2.5 1.] | |
| C | - | 33.61289887 | [0.917 1.072 1.333 1.596 1.945] | [15. 10. 5. 2.5 1.] | |
| D | - | 26.24084953 | [0.917 1.072 1.333 1.596 1.945] | [15. 10. 5. 2.5 1.] | |
| E | - | 14.97244258 | [0.917 1.072 1.333 1.596 1.945] | [15. 10. 5. 2.5 1.] |
| Feature | Flag | Statistic | Critical Values | Signification Level |
|---|---|---|---|---|
| Exponential | - | 61.50365 | [0.921 1.075 1.338 1.602 1.952] | [15. 10. 5. 2.5 1.] |
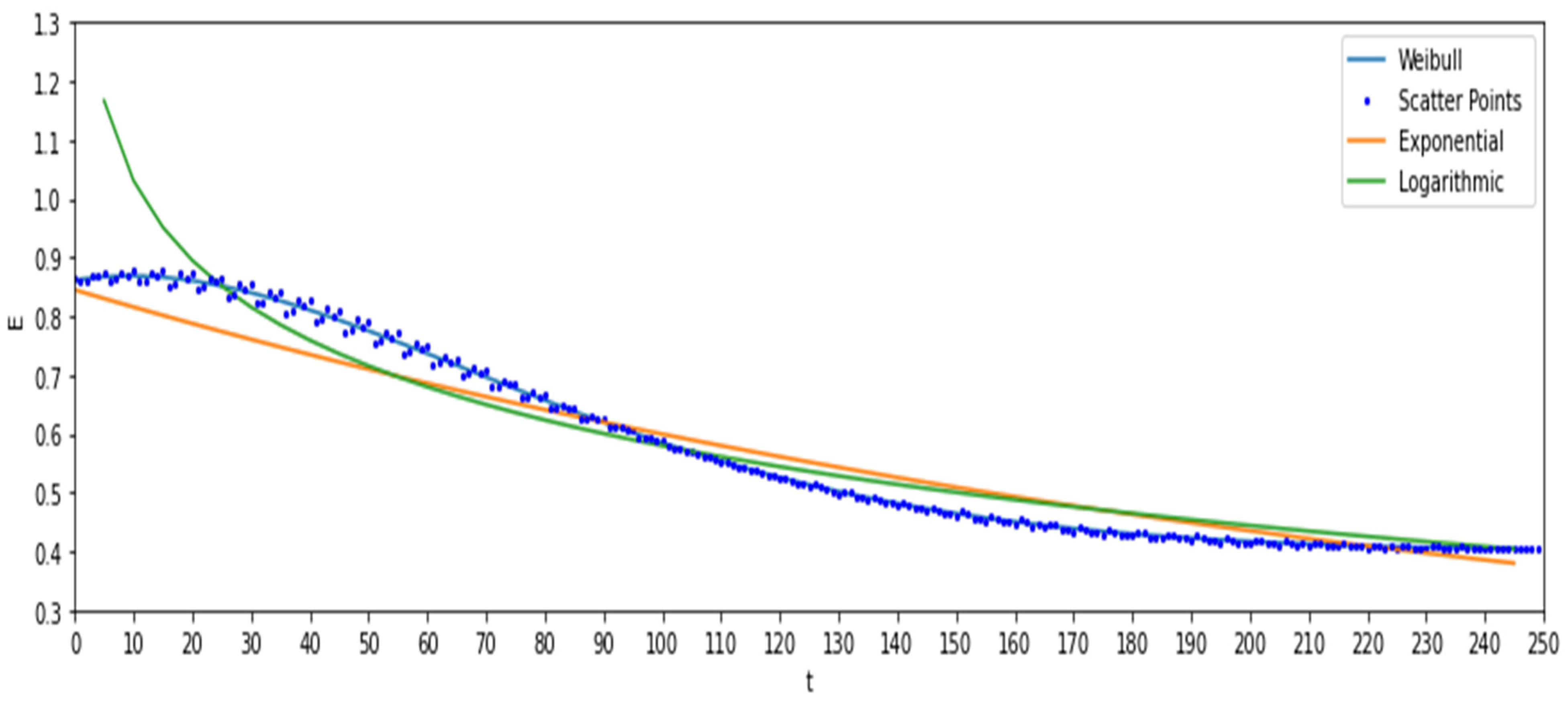
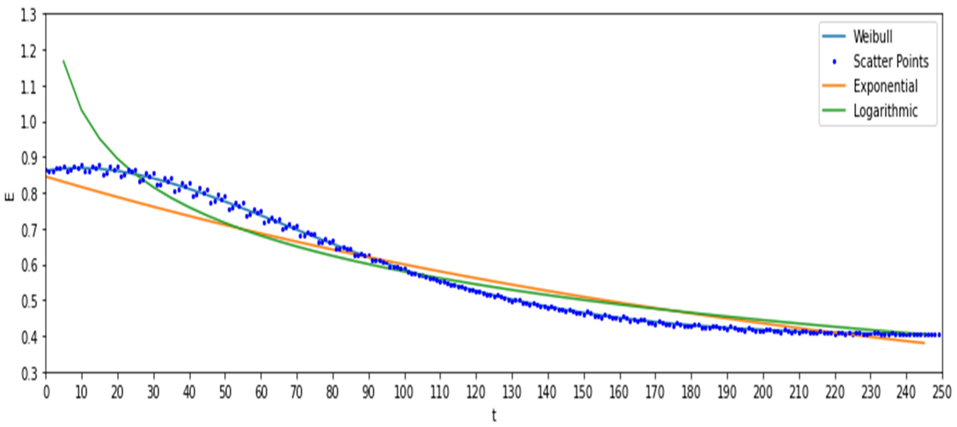
| Logarithmic | - | 12.30670 | [0.426 0.562 0.659 0.768 0.905 1.009] | [25. 10. 5. 2.5 1. 0.5] |
| Weibull | + | 0.447665 | [0.362 0.395 0.427 0.462 0.506] | [15. 10. 5. 2.5 1.] |
| Subject | Distribution Type | Number | Total | All | Weights |
|---|---|---|---|---|---|
| bridge subsystem | navigation operators | 2694 | 5786 | 16,146 | 16.69% |
| navigation monitoring and warning | 2076 | 12.86% | |||
| navigation communication equipment | 1016 | 6.29% | |||
| engine room subsystem | marine engineer | 1519 | 3461 | 9.41% | |
| engine room monitoring platform | 777 | 4.81% | |||
| maintenance equipment | 1165 | 7.22% | |||
| cargo hold subsystem | operators | 1032 | 2643 | 6.39% | |
| monitoring system | 1032 | 6.39% | |||
| emergency equipment | 579 | 3.59% | |||
| deck subsystem | staff | 2321 | 3256 | 14.37% | |
| protection equipment | 381 | 2.36% | |||
| ship rescue equipment | 554 | 3.43% | |||
| living cabin subsystem | personal protective equipment | 536 | 1000 | 3.32% | |
| personnel health protection unit | 464 | 2.88% |
| Subject | Distribution Type | Failure | Criterion | Sailing Times | Sailing Time Correction Factor | Probability |
|---|---|---|---|---|---|---|
| bridge subsystem | navigation operators | 16 | 6 | 55 | 100/270 | 0.9695 |
| navigation monitoring and warning | 7 | 4 | 0.9800 | |||
| navigation communication equipment | 4 | 2 | 0.9771 | |||
| engine room subsystem | marine engineer | 12 | 4 | 0.9657 | ||
| engine room monitoring platform | 9 | 2 | 0.9485 | |||
| maintenance equipment | 5 | 3 | 0.9809 | |||
| cargo hold subsystem | operators | 6 | 4 | 0.9828 | ||
| monitoring system | 13 | 4 | 0.9628 | |||
| emergency equipment | 6 | 2 | 0.9657 | |||
| deck subsystem | staff | 12 | 6 | 0.9771 | ||
| protection equipment | 1 | 1 | 0.9828 | |||
| ship rescue equipment | 3 | 1 | 0.9657 | |||
| living cabin subsystem | personal protective equipment | 3 | 1 | 0.9657 | ||
| personnel health protection unit | 2 | 1 | 0.9771 |
| Subject | Effectiveness | Weights | Total | |
|---|---|---|---|---|
| common framework of SRMS based on spatial distribution | bridge subsystem | 0.9283 | 35.84% | 0.9202 |
| engine room subsystem | 0.8984 | 21.44% | ||
| cargo hold subsystem | 0.9138 | 16.37% | ||
| deck subsystem | 0.9273 | 20.17% | ||
| living cabin subsystem | 0.9435 | 6.19% |
| Subject | Effectiveness | Total | |
|---|---|---|---|
| SRMS based on capability construction | human defence subsystem | 0.8604 | 0.8485 |
| physical defence subsystem | 0.9421 | ||
| technical defence subsystem | 0.8294 |
Publisher’s Note: MDPI stays neutral with regard to jurisdictional claims in published maps and institutional affiliations. |
© 2022 by the authors. Licensee MDPI, Basel, Switzerland. This article is an open access article distributed under the terms and conditions of the Creative Commons Attribution (CC BY) license (https://creativecommons.org/licenses/by/4.0/).
Share and Cite
Shen, J.; Ma, X.; Qiao, W. A Model to Evaluate the Effectiveness of the Maritime Shipping Risk Mitigation System by Entropy-Based Capability Degradation Analysis. Int. J. Environ. Res. Public Health 2022, 19, 9338. https://doi.org/10.3390/ijerph19159338
Shen J, Ma X, Qiao W. A Model to Evaluate the Effectiveness of the Maritime Shipping Risk Mitigation System by Entropy-Based Capability Degradation Analysis. International Journal of Environmental Research and Public Health. 2022; 19(15):9338. https://doi.org/10.3390/ijerph19159338
Chicago/Turabian StyleShen, Jun, Xiaoxue Ma, and Weiliang Qiao. 2022. "A Model to Evaluate the Effectiveness of the Maritime Shipping Risk Mitigation System by Entropy-Based Capability Degradation Analysis" International Journal of Environmental Research and Public Health 19, no. 15: 9338. https://doi.org/10.3390/ijerph19159338
APA StyleShen, J., Ma, X., & Qiao, W. (2022). A Model to Evaluate the Effectiveness of the Maritime Shipping Risk Mitigation System by Entropy-Based Capability Degradation Analysis. International Journal of Environmental Research and Public Health, 19(15), 9338. https://doi.org/10.3390/ijerph19159338

