Characterization of Pedestrian Crossing Spatial Violations and Safety Impact Analysis in Advance Right-Turn Lane
Abstract
:1. Introduction
2. Literature Review
2.1. Pedestrian Crossing
2.2. Pedestrian–Vehicle Conflict
2.3. Advance Right-Turn Lane
3. Data Description
3.1. Pedestrian Crossing Path Classification
3.2. Data Collection and Processing
3.2.1. Data Collection
3.2.2. Data Processing
4. Methodology
4.1. Study on Pedestrian Crossing Behavior
4.2. Study on Pedestrian–Vehicle Conflict
4.2.1. Pedestrian–Vehicle Conflict Indicator
4.2.2. Pedestrian–Vehicle Conflict Severity Model
5. Result
5.1. Analysis of Pedestrian Crossing Behavior
5.1.1. Characterization of Pedestrian Crossing Paths
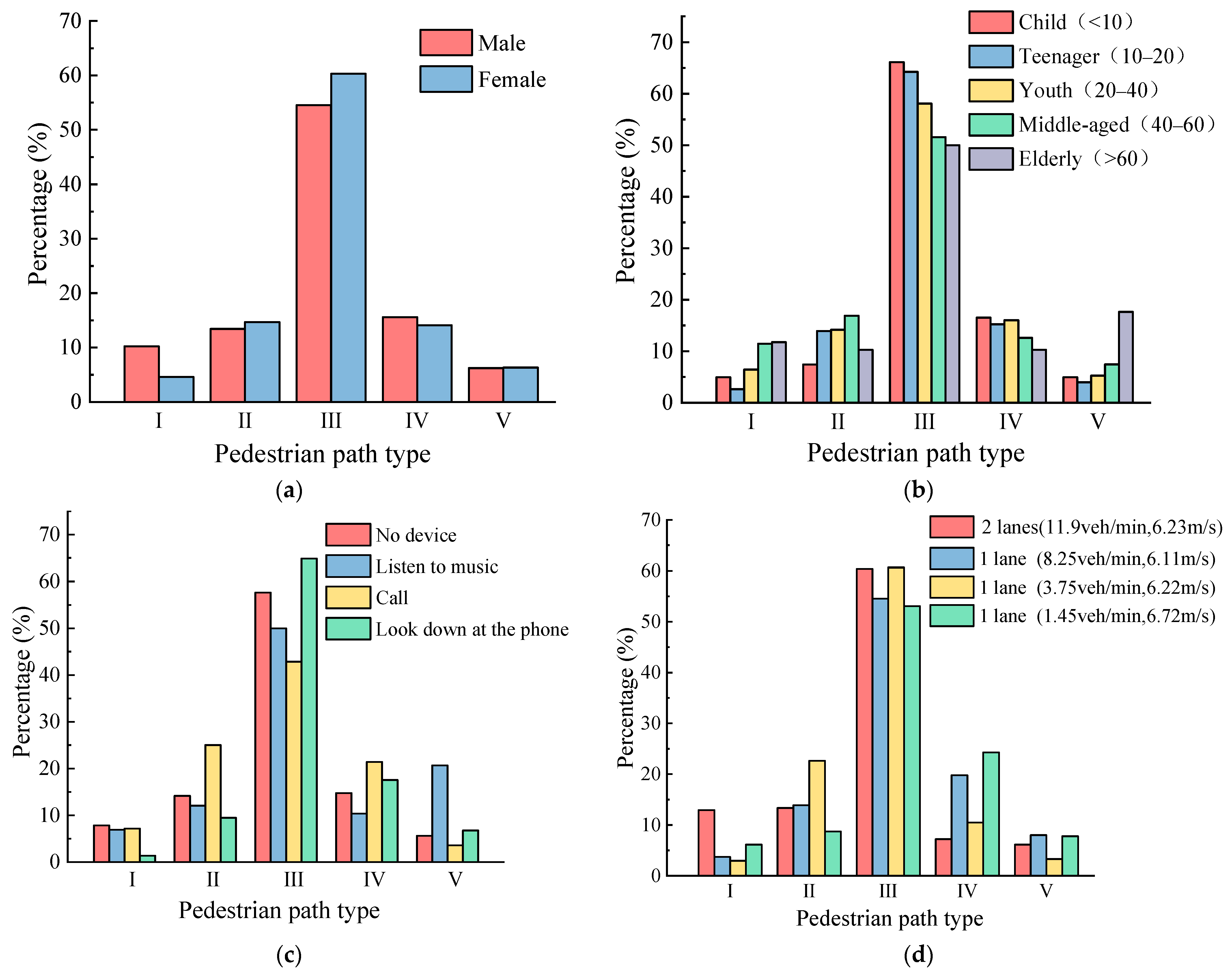
5.1.2. Analysis of Influencing Factors of Pedestrian Behavior
5.2. Pedestrian–Vehicle Conflict Analysis
5.2.1. Conflict Severity Grading
5.2.2. Correlation Analysis of Independent Variables
5.2.3. Analysis of Model Results
6. Discussion
7. Conclusions
- (1)
- There are significant differences in pedestrian behavior under different crossing paths. The overall pedestrian crossing speed showed a downward trend. Among them, the average speed of pedestrian crossing in path type V was the highest, which was approximately 10% higher than those of other types. When pedestrians do not use crosswalks at all, the probability of conflict with motor vehicles is the highest.
- (2)
- In the factor analysis of the severity of the pedestrian–vehicle conflict, it was concluded that vehicle speed (4.495) and vehicle arrival rate (0.451) were positively correlated with the severity of the class conflict. Excessive speed leads to shorter reaction times for traffic participants, and greatly increases the severity of conflicts, so measures to control the speed of vehicles pulling into the right turn lane are key to ensuring pedestrian safety. The elderly (>60) are the most exposed to serious conflicts out of all the age groups. Traffic management should enhance safety education for older adults and emphasize the dangers of spatial violations. Since conflict severity is significantly higher in areas with short crosswalk lengths, warning signs should be installed in relevant areas to limit pedestrian violations.
- (3)
- Regression analysis results show that spatial violations lead to an increase in the severity of pedestrian–vehicle conflicts, especially the irregular use of crosswalks to cross the street on the side close to the direction of traffic flow, which greatly increases the risk of crossing the street. The article obtains factors that significantly affect the severity of pedestrian–vehicle conflicts, which can be used as a theoretical basis for the implementation of regional traffic safety measures. It can also provide a reference for the establishment of pedestrian safety facilities. For example, the installation of guardrails on one side of the sidewalk to limit the starting position of pedestrians crossing the street and thus reduce space violations, etc.
Author Contributions
Funding
Data Availability Statement
Conflicts of Interest
References
- National Bureau of Statistics of China. China Statistical Yearbook; China Statistics Press: Beijing, China, 2021; Volume 24, p. 5.
- Gorrini, A.; Crociani, L.; Vizzari, G. Observation results on pedestrian-vehicle interactions at non-signalized intersections towards simulation. Transp. Res. Pt. F Traffic Psychol. Behav. 2018, 59, 269–285. [Google Scholar] [CrossRef]
- Alhajyaseen, W.K.M.; Iryo-Asano, M. Studying critical pedestrian behavioral changes for the safety assessment at signalized crosswalks. Saf. Sci. 2017, 91, 351–360. [Google Scholar] [CrossRef]
- World Health Organization. Global Status Report on Road Safety 2015: Supporting a Decade of Action; World Health Organization: Geneva, Switzerland, 2015. [Google Scholar]
- Qu, D.; Wang, S.; Liu, H.; Meng, Y. A Car-Following Model Based on Trajectory Data for Connected and Automated Vehicles to Predict Trajectory of Human-Driven Vehicles. Sustainability 2022, 14, 7045. [Google Scholar] [CrossRef]
- Autey, J.; Sayed, T.; Zaki, M.H. Safety evaluation of right-turn smart channels using automated traffic conflict analysis. Accid. Anal. Prev. 2012, 45, 120–130. [Google Scholar] [CrossRef] [PubMed]
- Bendak, S.; Alnaqbi, A.M.; Alzarooni, M.Y.; Aljanaahi, S.M.; Alsuwaidi, S.J. Factors affecting pedestrian behaviors at signalized crosswalks: An empirical study. J. Saf. Res. 2021, 76, 269–275. [Google Scholar] [CrossRef] [PubMed]
- Ariane, T.; Granié, M.-A. Gender differences in pedestrian rule compliance and visual search at signalized and unsignalized crossroads. Accid. Anal. Prev. 2011, 45, 1794–1801. [Google Scholar]
- Aghabayk, K.; Esmailpour, J.; Jafari, A.; Shiwakoti, N. Observational-based study to explore pedestrian crossing behaviors at signalized and unsignalized crosswalks. Accid. Anal. Prev. 2021, 151, 105990. [Google Scholar] [CrossRef]
- Mwakalonge, J.; Siuhi, S.; White, J. Distracted walking: Examining the extent to pedestrian safety problems. J. Traffic Transp. Eng.-Engl. Ed. 2015, 2, 327–337. [Google Scholar] [CrossRef] [Green Version]
- Hediyeh, H.; Sayed, T.; Zaki, M.H. The use of gait parameters to evaluate pedestrian behavior at scramble phase signalized intersections. J. Adv. Transp. 2015, 49, 523–534. [Google Scholar] [CrossRef]
- Iryo-Asano, M.; Alhajyaseen, W. Modeling pedestrian crossing speed profiles considering speed change behavior for the safety assessment of signalized intersections. Accid. Anal. Prev. 2017, 108, 332–342. [Google Scholar] [CrossRef]
- Liu, L.; Ye, X.; Wang, T.; Yan, X.; Chen, J.; Ran, B. Key Factors Analysis of Severity of Automobile to Two-Wheeler Traffic Accidents Based on Bayesian Network. Int. J. Environ. Res. Public Health 2022, 19, 6013. [Google Scholar] [CrossRef]
- Govinda, L.; Abhigna, D.; Nair, P.M. Comparative Study of Pedestrian Crossing Behaviour at Uncontrolled Intersection and Midblock Locations. Transp. Res. Pt. F-Traffic Psychol. Behav. 2020, 48, 698–706. [Google Scholar] [CrossRef]
- Palmeiro, A.R.; Sander, V.D.K.; Vissers, L. Interaction between pedestrians and automated vehicles: A Wizard of Oz experiment. Transp. Res. Pt. F-Traffic Psychol. Behav. 2018, 58, 1005–1020. [Google Scholar] [CrossRef] [Green Version]
- Wu, J.; Xu, H. Driver behavior analysis for right-turn drivers at signalized intersections using SHRP 2 naturalistic driving study data. J. Saf. Res. 2017, 63, 177–185. [Google Scholar] [CrossRef]
- Reish, L.; Carson, L.M.; Ray, A.F. Associations between social drinking events and pedestrian behavior—An observational study. J. Transp. Health 2021, 20, 101026. [Google Scholar] [CrossRef]
- Yuan, L.; Wang, J.Y.; Zhou, H.Y. Risk analysis of pedestrian-vehicle conflict at crosswalks without signal control. J. Traffic Transp. Eng. Inf. 2022, 23, 1–13. [Google Scholar]
- Zhang, Y.; Fricker, J.D. Incorporating conflict risks in pedestrian-motorist interactions: A game theoretical approach. Accid. Anal. Prev. 2021, 159, 106254. [Google Scholar] [CrossRef]
- Muley, D.; Ghanim, M.; Kharbeche, M. Prediction of Traffic Conflicts at Signalized Intersections using SSAM. Procedia Comput. Sci. 2018, 130, 255–262. [Google Scholar] [CrossRef]
- Peng, Y.; Jiang, P.; Sha, X.Y. Evaluation and Impact Analysis of Pedestrian-Vehicle Conflict Severity. J. Transp. Syst. Eng. Inf. Technol. 2019, 19, 175–181. [Google Scholar]
- Zhang, C.; Zhou, B.; Chen, G. Quantitative analysis of pedestrian safety at uncontrolled multi-lane mid-block crosswalks in China. Accid. Anal. Prev. 2017, 108, 19–26. [Google Scholar] [CrossRef]
- Jiang, C.; Qiu, R.; Fu, T.; Fu, L.; Xiong, B.; Lu, Z. Impact of Right-turn Channelization on Pedestrian Safety at Signalized Intersections. In Proceedings of the 99th Annual Meeting of Transportation Research Board, Washington, DC, USA, 12–16 January 2020. [Google Scholar]
- Chen, Y.H.; Liu, H.F. Analysis of conflict factors between pedestrians and right-turning vehicles at signalized intersections. J. Jilin Univ. Eng. Technol. Ed. 2018, 48, 1669–1676. [Google Scholar]
- Qu, Z.W.; Cao, N.B.; Chen, Y.H. Modeling of pedestrians’ crossing distribution considering violating pedestrians. J. Jilin Univ. Eng. Technol. Ed. 2017, 47, 744–750. [Google Scholar]
- Liu, X.C. Analysis and Optimization of Right-Turning Motor Vehicle-Pedestrian Conflicts at Signalized Intersections. Master’s Thesis, Jilin University, Jilin, China, 2017. [Google Scholar]
- Wei, Y.; Zhang, C.; Zhou, B. The mobile phone use behavior and its effect on pedestrian safety at signalized intersections in China. In Proceedings of the 2017 4th International Conference on Transportation Information and Safety (ICTIS), Banff, AB, Canada, 8–10 August 2017. [Google Scholar]
- Zhu, S.Y.; Jiang, R.X.; Wang, H. Review of research on traffic conflict techniques. China J. Highw. Transp. 2020, 33, 15–33. [Google Scholar]
- Glauz, W.D.; Migletz, D.J. Application of Traffic Conflict Analysis at Intersections; Transportation Research Board, National Research Council: Washington, DC, USA, 1980. [Google Scholar]
- Cunto, F.; Saccomanno, F.F. Calibration and validation of simulated vehicle safety performance at signalized intersections. Accid. Anal. Prev. 2008, 40, 1171–1179. [Google Scholar] [CrossRef] [PubMed]
- Wang, S.Q. Research on Intersection Safety Evaluation Method Based on Pedestrian Right-Turn Vehicle Conflict. Master’s Thesis, Beijing Jiaotong University, Beijing, China, 2019. [Google Scholar]
- Zhang, H.; Guo, Y.; Chen, Y.; Sun, Q.; Wang, C. Analysis of Pedestrian Street-Crossing Decision-Making Based on Vehicle Deceleration-Safety Gap. Int. J. Environ. Res. Public Health 2020, 17, 9247. [Google Scholar] [CrossRef] [PubMed]
- Malkhamah, S.; Tight, M.; Montgomery, F. The development of an automatic method of safety monitoring at Pelican crossings. Accid. Anal. Prev. 2005, 37, 938–946. [Google Scholar] [CrossRef] [PubMed] [Green Version]
- Almodfer, R.; Xiong, S.; Fang, Z.; Kong, X.; Zheng, S. Quantitative analysis of lane-based pedestrian-vehicle conflict at a non-signalized marked crosswalk. Transp. Res. F-Traffic Psychol. Behav. 2016, 42, 468–478. [Google Scholar] [CrossRef] [Green Version]
- Ahmed, T.; Tarek, S. Models to evaluate the severity of pedestrian-vehicle conflicts in five cities. Transportmetr. A 2018, 1, 354–357. [Google Scholar]








| Investigation Site | Crosswalk Length (m) | Crosswalk Width (m) | Surroundings | Number of Lanes | 
|---|---|---|---|---|
| 1 | 7.5 | 5 | Subway stations, shopping malls | 2 | 
| 2 | 6 | 5 | Subway stations, shopping malls | 1 | 
| 3 | 6.5 | 5 | Subway stations, scenic spots | 1 | 
| 4 | 6.5 | 5 | Subway stations, scenic spots | 1 | 
| Survey Variable | Description and Assignment | 
|---|---|
| Gender | 0: Male; 1: Female | 
| Age | 1: <10; 2: 10–20; 3: 20–40; 4: 40–60; 5: >60 | 
| Technological device | 0: No device; 1: Listen to music; 2: Call; 3: Look down at the phone | 
| Pedestrian crossing path | 1: I; 2: II; 3: III; 4: IV; 5: V | 
| Conflict with vehicles | 0: No; 1: Yes | 
| Pedestrian crossing speed | Calculation of path coordinates | 
| Vehicle speed | Calculation of path coordinates | 
| Vehicle arrival rates | Number of vehicles arriving per unit time (veh/min) | 
| Pedestrian arrival rates | Number of arrivals per unit time (person/min) | 
| Conflict Severity Level | Potential Conflicts | Minor Conflict | Serious Conflict | 
|---|---|---|---|
| Clustering Center (TTC, PET, DST) | (4.26, 5.71, 1.81) | (2.57, 3.02, 3.39) | (1.46, 1.72, 5.38) | 
| Sample size | 11 | 166 | 142 | 
| Variable | B | Standard Error | Wald | Degree of Freedom | Significance | OR | 
|---|---|---|---|---|---|---|
| Conflict severity (1) | 28.848 | 12.606 | 5.237 | 1 | 0.022 | _ | 
| Conflict severity (2) | 34.176 | 12.735 | 7.202 | 1 | 0.007 | _ | 
| Vehicle speed | 4.945 | 1.665 | 8.826 | 1 | 0.003 | 140.528 | 
| Vehicle arrival rate | 0.451 | 0.205 | 4.844 | 1 | 0.028 | 1.569 | 
| Pedestrian arrival rate | 0.657 | 2.571 | 3.454 | 1 | 0.154 | 1.214 | 
| Gender (0) | −0.001 | 0.291 | 0.000 | 1 | 0.997 | 0.999 | 
| Gender (1) | 0 a | 1 | ||||
| Age (1) | −0.664 | 1.038 | 0.409 | 1 | 0.522 | 0.515 | 
| Age (2) | −4.069 | 0.892 | 20.785 | 1 | 0.000 | 0.017 | 
| Age (3) | −1.367 | 0.741 | 3.401 | 1 | 0.065 | 0.255 | 
| Age (4) | −1.666 | 0.800 | 4.330 | 1 | 0.037 | 0.189 | 
| Age (5) | 0 a | 1 | ||||
| Technological device(0) | −0.322 | 0.663 | 0.236 | 1 | 0.627 | 0.725 | 
| Technological device(1) | 0.110 | 1.242 | 0.008 | 1 | 0.929 | 1.116 | 
| Technological device(2) | 1.127 | 1.350 | 0.697 | 1 | 0.404 | 3.087 | 
| Technological device(3) | 0 a | 1 | ||||
| Path type (1) | 1.432 | 0.578 | 6.127 | 1 | 0.013 | 4.185 | 
| Path type (2) | 0.636 | 0.518 | 1.508 | 1 | 0.219 | 1.888 | 
| Path type (3) | −2.527 | 0.478 | 28.014 | 1 | 0.000 | 0.080 | 
| Path type (4) | −1.468 | 0.610 | 5.795 | 1 | 0.016 | 0.230 | 
| Path type (5) | 0 a | 1 | ||||
| Number of lanes (1) | 3.940 | 1.562 | 6.361 | 1 | 0.012 | 51.396 | 
| Number of lanes (2) | 0 a | 0 | 1 | |||
| Model fitting information | ||||||
| Publisher’s Note: MDPI stays neutral with regard to jurisdictional claims in published maps and institutional affiliations. | 
© 2022 by the authors. Licensee MDPI, Basel, Switzerland. This article is an open access article distributed under the terms and conditions of the Creative Commons Attribution (CC BY) license (https://creativecommons.org/licenses/by/4.0/).
Share and Cite
Chen, Z.; Chen, X.; Wang, R.; Gao, M. Characterization of Pedestrian Crossing Spatial Violations and Safety Impact Analysis in Advance Right-Turn Lane. Int. J. Environ. Res. Public Health 2022, 19, 9134. https://doi.org/10.3390/ijerph19159134
Chen Z, Chen X, Wang R, Gao M. Characterization of Pedestrian Crossing Spatial Violations and Safety Impact Analysis in Advance Right-Turn Lane. International Journal of Environmental Research and Public Health. 2022; 19(15):9134. https://doi.org/10.3390/ijerph19159134
Chicago/Turabian StyleChen, Ziyu, Xiufeng Chen, Ruicong Wang, and Mengyuan Gao. 2022. "Characterization of Pedestrian Crossing Spatial Violations and Safety Impact Analysis in Advance Right-Turn Lane" International Journal of Environmental Research and Public Health 19, no. 15: 9134. https://doi.org/10.3390/ijerph19159134
APA StyleChen, Z., Chen, X., Wang, R., & Gao, M. (2022). Characterization of Pedestrian Crossing Spatial Violations and Safety Impact Analysis in Advance Right-Turn Lane. International Journal of Environmental Research and Public Health, 19(15), 9134. https://doi.org/10.3390/ijerph19159134
 
         
                                                
 
       