Gastronomic Tourism and Tourist Motivation: Exploring Northern Areas of Pakistan
Abstract
:1. Introduction
2. Literature Review
2.1. Self-Concept Theory
2.2. Tourists’ Motivations and Gastronomic Experiences
2.3. Gastronomic Experience and Destination Satisfaction
2.4. Destination Satisfaction and Destination Loyalty
2.5. Gastronomic Experience and Destination Loyalty
3. Materials and Methods
3.1. Population and Sampling
3.2. Measures
3.3. Demographics
3.4. Validity of Measurement Scales
3.5. Common Method Bias
3.6. Confirmatory Factor Analysis
4. Results and Discussion
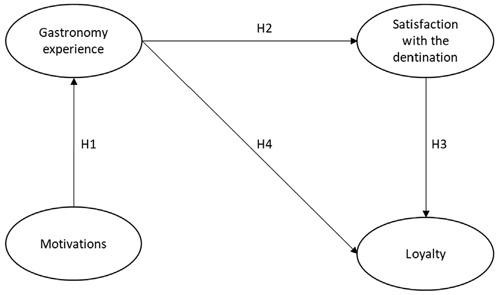
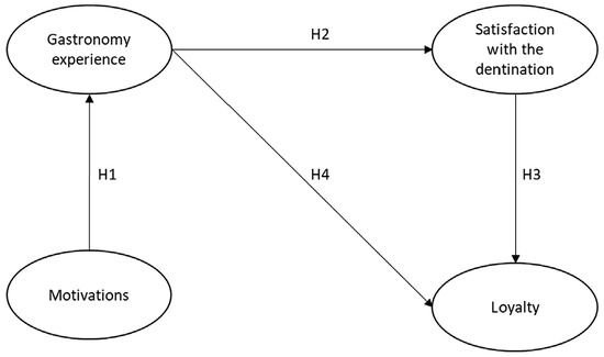
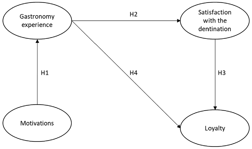
Hypothesis Testing
5. Conclusions
6. Implication
6.1. Theoretical Implication
6.2. Practical Implication
6.3. Limitation and Future Direction
Author Contributions
Funding
Institutional Review Board Statement
Informed Consent Statement
Data Availability Statement
Acknowledgments
Conflicts of Interest
Appendix A
| Items |
| Gastronomic Experience |
| Quality of the dishes |
| Price |
| Installations |
| Atmosphere of the establishment |
| Innovation and new flavors of the dishes |
| Service and hospitality |
| Experience with the traditional gastronomy |
| Offers genuine gastronomic products |
| Satisfaction with the destination |
| How important is gastronomy for you as a destination choice when traveling? |
| How important are gastronomic experiences for you when you choose a destination for your trip? |
| How important is gastronomy for you in relation with the satisfaction of your trip? |
| My level of satisfaction with the gastronomy has been significant |
| Motivation |
| To discover the flavor of the local food |
| To offer a unique opportunity of understanding local culture |
| To be able to transmit my experiences with the local food |
| It allows me to enjoy pleasant moments with family and/or friends |
| To advise other travelers about local gastronomic experiences |
| Nutritive |
| It contains a great quantity of fresh ingredients produced in a local area |
| Destination Loyalty |
| I tend to repeat a visit to a tourist destination if I fall in love with it |
| I’ll recommend this destination for its gastronomy and local products |
| After my experience, I think I’ll come back to northern areas to savor its gastronomy again” |
Appendix B. Northern Areas of Pakistan
References
- Berbel-Pineda, J.M.; Palacios-Florencio, B.; Ramírez-Hurtado, J.M.; Santos-Roldán, L. Gastronomic experience as a factor of motivation in the tourist movements. Int. J. Gastron. Food Sci. 2019, 18, 100171. [Google Scholar] [CrossRef]
- Testa, R.; Galati, A.; Schifani, G.; Di Trapani, A.M.; Migliore, G. Culinary tourism experiences in agri-tourism destinations and sustainable consumption—Understanding Italian tourists’ Motivations. Sustainability 2019, 11, 4588. [Google Scholar] [CrossRef] [Green Version]
- Zada, M.; Zada, S.; Ali, M.; Zhang, Y.; Begum, A.; Han, H.; Ariza-Montes, A.; Araya-Castillo, L. Contribution of Small-Scale Agroforestry to Local Economic Development and Livelihood Resilience: Evidence from Khyber Pakhtunkhwa Province (KPK), Pakistan. Land 2022, 11, 71. [Google Scholar] [CrossRef]
- Zada, M.; Zada, S.; Khan, J.; Saeed, I.; Zhang, Y.J.; Vega-Muñoz, A.; Salazar-Sepúlveda, G. Does servant leadership control psychological distress in crisis? Moderation and mediation mechanism. Psychol. Res. Behav. Manag. 2022, 15, 607. [Google Scholar] [CrossRef] [PubMed]
- Payandeh, E.; Allahyari, M.S.; Fontefrancesco, M.F.; Surujlale, J. Good vs. fair and clean: An analysis of slow food principles toward gastronomy tourism in Northern Iran. J. Culin. Sci. Technol. 2022, 20, 51–70. [Google Scholar] [CrossRef]
- Moral-Cuadra, S.; Acero de la Cruz, R.; Rueda Lopez, R.; Salinas Cuadrado, E. Relationship between consumer motivation and the gastronomic experience of olive oil tourism in Spain. Sustainability 2020, 12, 4178. [Google Scholar] [CrossRef]
- Zada, M.; Zada, S.; Ali, M.; Zhang, Y.; Begum, A.; Han, H.; Ariza-Montes, A.; Vega-Muñoz, A. Development of local economy through the strengthening of small-medium-sized forest enterprises in KPK, Pakistan. Sustainability 2021, 13, 10502. [Google Scholar] [CrossRef]
- Hernandez-Rojas, R.D.; Folgado-Fernandez, J.A.; Palos-Sanchez, P.R. Influence of the restaurant brand and gastronomy on tourist loyalty. A study in Córdoba (Spain). Int. J. Gastron. Food Sci. 2021, 23, 100305. [Google Scholar] [CrossRef]
- Agyeiwaah, E.; Otoo, F.E.; Suntikul, W.; Huang, W.-J. Understanding culinary tourist motivation, experience, satisfaction, and loyalty using a structural approach. J. Travel Tour. Mark. 2019, 36, 295–313. [Google Scholar] [CrossRef]
- Zada, M.; Shah, S.J.; Yukun, C.; Rauf, T.; Khan, N.; Shah, S.A.A. Impact of small-to-medium size forest enterprises on rural livelihood: Evidence from Khyber-Pakhtunkhwa, Pakistan. Sustainability 2019, 11, 2989. [Google Scholar] [CrossRef] [Green Version]
- Lai, M.Y.; Khoo-Lattimore, C.; Wang, Y. Food and cuisine image in destination branding: Toward a conceptual model. Tour. Hosp. Res. 2019, 19, 238–251. [Google Scholar] [CrossRef]
- Yang, F.X.; Wong, I.A.; Tan, X.S.; Wu, D.C.W. The role of food festivals in branding culinary destinations. Tour. Manag. Perspect. 2020, 34, 100671. [Google Scholar] [CrossRef]
- Santa-Cruz, F.G.; López-Guzmán, T. Culture, tourism and world heritage sites. Tour. Manag. Perspect. 2017, 24, 111–116. [Google Scholar] [CrossRef]
- Ullah, N.; Zada, S.; Siddique, M.A.; Hu, Y.; Han, H.; Vega-Muñoz, A.; Salazar-Sepúlveda, G. Driving Factors of the Health and Wellness Tourism Industry: A Sharing Economy Perspective Evidence from KPK Pakistan. Sustainability 2021, 13, 13344. [Google Scholar] [CrossRef]
- Kastenholz, E.; Carneiro, M.J.; Marques, C.P.; Lima, J. Understanding and managing the rural tourism experience—The case of a historical village in Portugal. Tour. Manag. Perspect. 2012, 4, 207–214. [Google Scholar] [CrossRef]
- Khan, J.; Saeed, I.; Fayaz, M.; Zada, M.; Jan, D. Perceived overqualification? Examining its nexus with cyberloafing and knowledge hiding behaviour: Harmonious passion as a moderator. J. Knowl. Manag. 2022. [Google Scholar] [CrossRef]
- Almeida-García, F.; Domigunez-Azcue, J.; Mercadé-Melé, P.; Pérez-Tapia, G. Can a destination really change its image? The roles of information sources, motivations, and visits. Tour. Manag. Perspect. 2020, 34, 100662. [Google Scholar] [CrossRef]
- Carvache-Franco, W.; Carvache-Franco, M.; Carvache-Franco, O.; Hernández-Lara, A.B. Motivation and segmentation of the demand for coastal and marine destinations. Tour. Manag. Perspect. 2020, 34, 100661. [Google Scholar] [CrossRef]
- Su, D.N.; Nguyen, N.A.N.; Nguyen, Q.N.T.; Tran, T.P. The link between travel motivation and satisfaction towards a heritage destination: The role of visitor engagement, visitor experience and heritage destination image. Tour. Manag. Perspect. 2020, 34, 100634. [Google Scholar] [CrossRef]
- Wondirad, A.; Kebete, Y.; Li, Y. Culinary tourism as a driver of regional economic development and socio-cultural revitalization: Evidence from Amhara National Regional State, Ethiopia. J. Destin. Mark. Manag. 2021, 19, 100482. [Google Scholar] [CrossRef]
- Çelebi, D.; GenÇ, S. Exploring the Slow Food Perception of Gastronomy and Culinary Arts Students. J. Tour. Gastron. Stud. 2021, 9, 99–110. [Google Scholar] [CrossRef]
- Seyfi, S.; Hall, C.M.; Rasoolimanesh, S.M. Exploring memorable cultural tourism experiences. J. Herit. Tour. 2020, 15, 341–357. [Google Scholar] [CrossRef]
- Zada, M.; Yukun, C.; Zada, S. Effect of financial management practices on the development of small-to-medium size forest enterprises: Insight from Pakistan. GeoJournal 2021, 86, 1073–1088. [Google Scholar] [CrossRef]
- Rojas-Rivas, E.; Urbine, A.; Zaragoza-Alonso, J.; Cuffia, F. Cross-cultural representations of gastronomy among consumers in two Latin American countries. Food Res. Int. 2021, 140, 109881. [Google Scholar] [CrossRef] [PubMed]
- Zada, M.; Zada, S.; Ali, M.; Jun, Z.Y.; Contreras-Barraza, N.; Castillo, D. How classy servant leader at workplace? Linking servant leadership and task performance during the COVID-19 crisis: A moderation and mediation approach. Front. Psychol. 2022, 13, 810227. [Google Scholar] [CrossRef]
- Bertran, F.A.; Wilde, D. Playing with food: Reconfiguring the gastronomic experience through play. In Experiencing Food, Designing Dialogue; Bonacho, R., de Sousa, A.P., Viegas, C., Martins, J.P., Pires, M.J., Estévão, S.V., Eds.; CRC Press: Boca Raton, FL, USA, 2018; pp. 3–6. [Google Scholar]
- Patwardhan, V.; Ribeiro, M.A.; Woosnam, K.M.; Payini, V.; Mallya, J. Visitors’ loyalty to religious tourism destinations: Considering place attachment, emotional experience and religious affiliation. Tour. Manag. Perspect. 2020, 36, 100737. [Google Scholar] [CrossRef]
- FITUR. International Tourism Trade Fair; FITUR: Madrid, Spain, 2018. [Google Scholar]
- Lunchaprasith, T. Gastronomic experience as a community development driver: The study of Amphawa Floating Market as community-based culinary tourism destination. Asian J. Tour. Res. 2017, 2, 84–116. [Google Scholar] [CrossRef]
- Intelligence, M. Tourism and Hotel Industry in Pakistan—Growth, Trends, COVID-19 Impact and Forecasts (2021–2026). Available online: https://www.mordorintelligence.com/industry-reports/market-entry-tourism-and-hotel-industry-in-pakistan (accessed on 12 November 2021).
- Sims, R. Food, place and authenticity: Local food and the sustainable tourism experience. J. Sustain. Tour. 2009, 17, 321–336. [Google Scholar] [CrossRef]
- Sirgy, M.J. The self-concept in relation to product preference and purchase intention. In Marketing Horizons: A 1980’s Perspective; Springer: Berlin/Heidelberg, Germany, 2015; pp. 350–354. [Google Scholar]
- He, L.; Mu, L.; Jean, J.A.; Zhang, L.; Wu, H.; Zhou, T.; Bu, H. Contributions and Challenges of Public Health Social Work Practice during the Initial 2020 COVID-19 Outbreak in China. Br. J. Soc. Work. 2022, bcac077. [Google Scholar] [CrossRef]
- Boksberger, P.; Dolnicar, S.; Laesser, C.; Randle, M. Self-congruity theory: To what extent does it hold in tourism? J. Travel Res. 2011, 50, 454–464. [Google Scholar] [CrossRef] [Green Version]
- Muskat, B.; Hörtnagl, T.; Prayag, G.; Wagner, S. Perceived quality, authenticity, and price in tourists’ dining experiences: Testing competing models of satisfaction and behavioral intentions. J. Vacat. Mark. 2019, 25, 480–498. [Google Scholar] [CrossRef] [Green Version]
- Goolaup, S.; Solér, C.; Nunkoo, R. Developing a theory of surprise from travelers’ extraordinary food experiences. J. Travel Res. 2018, 57, 218–231. [Google Scholar] [CrossRef] [Green Version]
- Singhapakdi, A.; Lee, D.-J.; Sirgy, M.J.; Senasu, K. The impact of incongruity between an organization’s CSR orientation and its employees’ CSR orientation on employees’ quality of work life. J. Bus. Res. 2015, 68, 60–66. [Google Scholar] [CrossRef]
- Chon, K.-S. Self-image/destination image congruity. Ann. Tour. Res. 1992, 19, 360–363. [Google Scholar] [CrossRef]
- Litvin, S.W.; Kar, G.H. Individualism/collectivism as a moderating factor to the self-image congruity concept. J. Vacat. Mark. 2004, 10, 23–32. [Google Scholar] [CrossRef]
- Sirgy, M.J.; Su, C. Destination image, self-congruity, and travel behavior: Toward an integrative model. J. Travel Res. 2000, 38, 340–352. [Google Scholar] [CrossRef]
- Beerli, A.; Meneses, G.D.; Gil, S.M. Self-congruity and destination choice. Ann. Tour. Res. 2007, 34, 571–587. [Google Scholar] [CrossRef]
- Gheorghe, G.; Tudorache, P.; Nistoreanu, P. Gastronomic tourism, a new trend for contemporary tourism. Cactus Tour. J. 2014, 9, 12–21. [Google Scholar]
- López-Guzmán, T.; Lotero, C.P.U.; Gálvez, J.C.P.; Rivera, I.R. Gastronomic festivals: Attitude, motivation and satisfaction of the tourist. Br. Food J. 2017, 119, 267–283. [Google Scholar] [CrossRef]
- Mengual-Recuerda, A.; Tur-Viñes, V.; Juárez-Varón, D. Neuromarketing in haute cuisine gastronomic experiences. Front. Psychol. 2020, 1772. [Google Scholar] [CrossRef]
- Saeed, I.; Khan, J.; Zada, M.; Ullah, R.; Vega-Muñoz, A.; Contreras-Barraza, N. Towards Examining the Link Between Workplace Spirituality and Workforce Agility: Exploring Higher Educational Institutions. Psychol. Res. Behav. Manag. 2022, 15, 31. [Google Scholar] [CrossRef] [PubMed]
- Zada, S.; Wang, Y.; Zada, M.; Gul, F. Effect of mental health problems on academic performance among university students in Pakistan. Int. J. Ment. Health Promot 2021, 23, 395–408. [Google Scholar] [CrossRef]
- Mohtar, M.; Thirumoorthi, T. Tourists’ perceptions and expectations for gastronomic experience. In The Routledge Handbook of Gastronomic Tourism; Routledge: London, UK, 2019; pp. 118–124. [Google Scholar]
- Dann, G.M. Tourist motivation an appraisal. Ann. Tour. Res. 1981, 8, 187–219. [Google Scholar] [CrossRef]
- Björk, P.; Kauppinen-Räisänen, H. Exploring the multi-dimensionality of travellers’ culinary-gastronomic experiences. Curr. Issues Tour. 2016, 19, 1260–1280. [Google Scholar] [CrossRef]
- Correia, A.; Moital, M.; Oliveira, N.; da Costa, C.F. Multidimensional segmentation of gastronomic tourists based on motivation and satisfaction. Int. J. Tour. Policy 2009, 2, 37–57. [Google Scholar] [CrossRef]
- López-Guzmán, T.; Torres Naranjo, M.; Perez-Galvez, J.C.; Carvache Franco, W. Gastronomic perception and motivation of a touristic destination: The City of Quito, Ecuador. GeoJ. Tour. Geosites 2018, 21, 61–73. [Google Scholar]
- Villagómez-Buele, C.; Carvache-Franco, M.; Carvache-Franco, O.; Carvache-Franco, W.; Villavicencio-Párraga, M. Gastronomic Experience as a Factor of Motivation and Satisfaction in Coastal Destinations. J. Environ. Manag. Tour. 2020, 11, 1328–1337. [Google Scholar] [CrossRef]
- Khan, J.; Saeed, I.; Zada, M.; Ali, A.; Contreras-Barraza, N.; Salazar-Sepúlveda, G.; Vega-Muñoz, A. Examining whistleblowing intention: The influence of rationalization on wrongdoing and threat of retaliation. Int. J. Environ. Res. Public Health 2022, 19, 1752. [Google Scholar] [CrossRef]
- Gálvez, J.C.P.; López-Guzmán, T.; Buiza, F.C.; Medina-Viruel, M.J. Gastronomy as an element of attraction in a tourist destination: The case of Lima, Peru. J. Ethn. Foods 2017, 4, 254–261. [Google Scholar] [CrossRef]
- Correia, A.; Moital, M.; Da Costa, C.F.; Peres, R. The determinants of gastronomic tourists’ satisfaction: A second-order factor analysis. J. Foodserv. 2008, 19, 164–176. [Google Scholar] [CrossRef]
- Cordova-Buiza, F.; Gabriel-Campos, E.; Castaño-Prieto, L.; García-García, L. The gastronomic experience: Motivation and satisfaction of the gastronomic tourist—The case of puno city (Peru). Sustainability 2021, 13, 9170. [Google Scholar] [CrossRef]
- Lin, M.-P.; Marine-Roig, E.; Llonch-Molina, N. Gastronomic experience (co) creation: Evidence from Taiwan and Catalonia. Tour. Recreat. Res. 2022, 47, 277–292. [Google Scholar] [CrossRef]
- Tong, X.F.; Tong, D.Y.K.; Tam, W.S. ood Tourism: The Melaka Gastronomic Experience. J. Emerg. Trends Mark. Manag. 2016, 1, 236–246. [Google Scholar]
- Rodríguez-Gutiérrez, P.; González Santa Cruz, F.; Pemberthy Gallo, L.S.; López-Guzmán, T. Gastronomic satisfaction of the tourist: Empirical study in the Creative City of Popayán, Colombia. J. Ethn. Foods 2020, 7, 1–12. [Google Scholar] [CrossRef] [Green Version]
- Folgado-Fernández, J.A.; Hernández-Mogollón, J.M.; Duarte, P. Destination image and loyalty development: The impact of tourists’ food experiences at gastronomic events. Scand. J. Hosp. Tour. 2017, 17, 92–110. [Google Scholar] [CrossRef]
- Agapito, D.; Pinto, P.; Mendes, J. Tourists’ memories, sensory impressions and loyalty: In loco and post-visit study in Southwest Portugal. Tour. Manag. 2017, 58, 108–118. [Google Scholar] [CrossRef]
- Saeed, I.; Khan, J.; Zada, M.; Zada, S.; Vega-Muñoz, A.; Contreras-Barraza, N. Linking Ethical Leadership to Followers’ Knowledge Sharing: Mediating Role of Psychological Ownership and Moderating Role of Professional Commitment. Front. Psychol. 2022, 13, 841590. [Google Scholar] [CrossRef]
- Almeida-Santana, A.; Moreno-Gil, S. Understanding tourism loyalty: Horizontal vs. destination loyalty. Tour. Manag. 2018, 65, 245–255. [Google Scholar] [CrossRef]
- Castro, C.B.; Armario, E.M.; Ruiz, D.M. The influence of market heterogeneity on the relationship between a destination’s image and tourists’ future behaviour. Tour. Manag. 2007, 28, 175–187. [Google Scholar] [CrossRef]
- Lv, X.; McCabe, S. Expanding theory of tourists’ destination loyalty: The role of sensory impressions. Tour. Manag. 2020, 77, 104026. [Google Scholar] [CrossRef]
- Khan, J.; Usman, M.; Saeed, I.; Ali, A.; Nisar, H. Does workplace spirituality influence knowledge-sharing behavior and work engagement in work? Trust as a mediator. Manag. Sci. Lett. 2022, 12, 51–66. [Google Scholar] [CrossRef]
- Khan, J.; Saeed, I.; Ali, A.; Nisar, H.G. The Mediating Role of Emotional Exhaustion in the Relationship between Abusive Supervision and Employee Cyberloafing Behaviour. J. Manag. Res. 2021, 8, 160–178. [Google Scholar]
- Raggiotto, F.; Scarpi, D. This must be the place: A destination-loyalty model for extreme sporting events. Tour. Manag. 2021, 83, 104254. [Google Scholar] [CrossRef]
- Marques, C.; da Silva, R.V.; Antova, S. Image, satisfaction, destination and product post-visit behaviours: How do they relate in emerging destinations? Tour. Manag. 2021, 85, 104293. [Google Scholar] [CrossRef]
- Tung, V.W.S.; Ritchie, J.B. Exploring the essence of memorable tourism experiences. Ann. Tour. Res. 2011, 38, 1367–1386. [Google Scholar] [CrossRef]
- Tussyadiah, I.P.; Wang, D.; Jung, T.H.; Tom Dieck, M.C. Virtual reality, presence, and attitude change: Empirical evidence from tourism. Tour. Manag. 2018, 66, 140–154. [Google Scholar] [CrossRef]
- Ullah, R.; Zada, M.; Saeed, I.; Khan, J.; Shahbaz, M.; Vega-Muñoz, A.; Salazar-Sepúlveda, G. Have you heard that—“GOSSIP”? Gossip spreads rapidly and influences broadly. Int. J. Environ. Res. Public Health 2021, 18, 13389. [Google Scholar] [CrossRef]
- Chen, H.; Rahman, I. Cultural tourism: An analysis of engagement, cultural contact, memorable tourism experience and destination loyalty. Tour. Manag. Perspect. 2018, 26, 153–163. [Google Scholar] [CrossRef]
- Kim, J.-H. The impact of memorable tourism experiences on loyalty behaviors: The mediating effects of destination image and satisfaction. J. Travel Res. 2018, 57, 856–870. [Google Scholar] [CrossRef]
- Kivela, J.; Crotts, J.C. Tourism and gastronomy: Gastronomy’s influence on how tourists experience a destination. J. Hosp. Tour. Res. 2006, 30, 354–377. [Google Scholar] [CrossRef]
- Comrey, A.L.; Lee, H.B. (Eds.) Interpretation and application of factor analytic results. In A First Course in Factor Analysis; Lawrence Eribaum Associates: Hillsdale, NJ, USA, 1992; p. 2. [Google Scholar]
- Jiménez Beltrán, J.; López-Guzmán, T.; Santa-Cruz, F.G. Gastronomy and tourism: Profile and motivation of international tourism in the city of Córdoba, Spain. J. Culin. Sci. Technol. 2016, 14, 347–362. [Google Scholar] [CrossRef]
- Purwanto, A.; Sudargini, Y. Partial Least Squares Structural Squation Modeling (PLS-SEM) Analysis for Social and Management Research: A Literature Review. J. Ind. Eng. Manag. Res. 2021, 2, 114–123. [Google Scholar]
- Hair Jr, J.F.; Sarstedt, M.; Hopkins, L.; Kuppelwieser, V.G. Partial least squares structural equation modeling (PLS-SEM): An emerging tool in business research. Eur. Bus. Rev. 2014, 26, 106–121. [Google Scholar] [CrossRef]
- Fornell, C.; Larcker, D.F. Evaluating structural equation models with unobservable variables and measurement error. J. Mark. Res. 1981, 18, 39–50. [Google Scholar] [CrossRef]
- Jordan, P.J.; Troth, A.C. Common method bias in applied settings: The dilemma of researching in organizations. Aust. J. Manag. 2020, 45, 3–14. [Google Scholar] [CrossRef]
- Schwarz, A.; Rizzuto, T.; Carraher-Wolverton, C.; Roldán, J.L.; Barrera-Barrera, R. Examining the impact and detection of the” urban legend” of common method bias. ACM SIGMIS Database DATABASE Adv. Inf. Syst. 2017, 48, 93–119. [Google Scholar] [CrossRef]
- Ali, M.; Puah, C.-H.; Ayob, N.; Raza, S.A. Factors influencing tourist’s satisfaction, loyalty and word of mouth in selection of local foods in Pakistan. Br. Food J. 2019, 122, 2021–2043. [Google Scholar] [CrossRef]
- Yao, L.; Li, X.; Zheng, R.; Zhang, Y. The Impact of Air Pollution Perception on Urban Settlement Intentions of Young Talent in China. Int. J. Environ. Res. Public Health 2022, 19, 1080. [Google Scholar] [CrossRef]
- Farid, T.; Iqbal, S.; Saeed, I.; Irfan, S.; Akhtar, T. Impact of Supportive Leadership during COVID-19 on Nurses’ Well-Being: The Mediating Role of Psychological Capital. Front. Psychol. 2021, 3694. [Google Scholar] [CrossRef]
- Khattak, S.R.; Saeed, I.; Rehman, S.U.; Fayaz, M. Impact of fear of COVID-19 pandemic on the mental health of nurses in Pakistan. J. Loss Trauma 2021, 26, 421–435. [Google Scholar] [CrossRef]
- Yao, L.; Shen, J.; Zhang, F.; Gu, X.; Jiang, S. Influence of environmental values on the typhoon risk perceptions of high school students: A case study in Ningbo, China. Sustainability 2021, 13, 4145. [Google Scholar] [CrossRef]
- Dillette, A.K.; Douglas, A.C.; Andrzejewski, C. Dimensions of holistic wellness as a result of international wellness tourism experiences. Curr. Issues Tour. 2021, 24, 794–810. [Google Scholar] [CrossRef]



| Demographic Variables | Frequency | Percentage (%) |
|---|---|---|
| Gender | ||
| Male | 196 | 63.8 |
| Female | 111 | 36.2 |
| Age (years) | ||
| 25–30 | 20 | 6.5 |
| 31–35 | 177 | 57.7 |
| 26–40 | 63 | 20.5 |
| Above 40 | 47 | 15.3 |
| Country | ||
| National | 286 | 93.2 |
| International | 21 | 6.8 |
| Profession | ||
| Student | 67 | 21.8 |
| Public Office Holder | 54 | 17.6 |
| Private Job | 93 | 30.3 |
| Businessman/women | 40 | 13.3 |
| Unemployed | 27 | 8.8 |
| Retired | 26 | 8.5 |
| Qualification | ||
| High School | 15 | 4.9 |
| Bachelor’s | 30 | 9.8 |
| Masters | 243 | 79.2 |
| PhD | 19 | 6 |
| Variables | Mean | SD | HTML Ratio | Correlation | ||||||||||
|---|---|---|---|---|---|---|---|---|---|---|---|---|---|---|
| 1 | 2 | 3 | 1 | 2 | 3 | 4 | 5 | 6 | 7 | 8 | 9 | |||
| 1. Gender | 1.3616 | 0.48124 | - | |||||||||||
| 2. Age | 2.4463 | 0.82815 | −0.078 | |||||||||||
| 3. Education | 2.8664 | 0.58165 | 0.021 | 0.063 | ||||||||||
| 4. Country | 1.0684 | 0.25285 | −0.07 | −0.006 | −0.182 ** | |||||||||
| 5. Profession | 2.9479 | 1.5158 | −0.028 | 0.003 | 0.014 | 0.06 | ||||||||
| 6. Gastronomic Experience | 3.8514 | 0.82641 | 0.022 | 0.039 | 0.086 | −0.184 ** | −0.038 | −0.87 | ||||||
| 7. Satisfaction with the Destination | 3.7638 | 0.67762 | 0.824 | 0.02 | 0.017 | 0.032 | −0.077 | −0.022 | 0.371 ** | −0.81 | ||||
| 8. Motivation | 4.0275 | −71,772 | 0.82 | 0.876 | 0.029 | 0.092 | 0.077 | −0.1 | −0.033 | 0.533 ** | 0.669 ** | −0.84 | ||
| 9. Loyalty | 4.0195 | 83,778 | 0.832 | 0.841 | 0.837 | −0.009 | 0.094 | 0.068 | −0.047 | −0.026 | 0.388 ** | 0.699 ** | 0.848 ** | −0.82 |
| Items | Loadings | CR | AVE |
|---|---|---|---|
| Gastronomic Experience | 0.92 | 0.59 | |
| 1 | 0.761 | ||
| 2 | 0.772 | ||
| 3 | 0.814 | ||
| 4 | 0.773 | ||
| 5 | 0.735 | ||
| 6 | 0.745 | ||
| 7 | 0.803 | ||
| 8 | 0.773 | ||
| Satisfaction with the destination | 0.87 | 0.63 | |
| 1 | 0.832 | ||
| 2 | 0.776 | ||
| 3 | 0.821 | ||
| 4 | 0.761 | ||
| Motivation | 0.90 | 0.58 | |
| 1 | 0.811 | ||
| 2 | 0.764 | ||
| 3 | 0.755 | ||
| 4 | 0.862 | ||
| 5 | 0.742 | ||
| 6 | 0.697 | ||
| 7 | 0.732 | ||
| Destination Loyalty | 0.85 | 0.66 | |
| 1 | 0.697 | ||
| 2 | 0.795 | ||
| 3 | 0.830 |
| Hypothesis | Suggested Effect | (Β) | T Value | Decision |
|---|---|---|---|---|
| H1: Motivations → Gastronomy experience | (+) | 0.284 *** | 10.995 | Supported |
| H2: Gastronomy experience → Satisfaction with the destination | (+) | 0.138 *** | 6.985 | Supported |
| H3: Satisfaction with destination → Loyalty | (+) | 0.489 *** | 17.068 | Supported |
| H4: Gastronomy experience → Loyalty | (+) | 0.151 *** | 7.355 | Supported |
| Model | X2 | df | TLI | CFI | RMSEA | SRMR |
|---|---|---|---|---|---|---|
| Hypothesized four-factor model | 3774 | 1245 | 0.90 | 0.91 | 0.02 | 0.03 |
| Three-factor model: | 5890 | 2278 | 0.75 | 0.71 | 0.18 | 0.16 |
| Two-factor model: | 3956 | 3247 | 0.63 | 0.52 | 0.27 | 0.18 |
| One-factor model: GE, SAT, MOT and LOY | 6447 | 4265 | 0.42 | 0.34 | 0.31 | 0.24 |
Publisher’s Note: MDPI stays neutral with regard to jurisdictional claims in published maps and institutional affiliations. |
© 2022 by the authors. Licensee MDPI, Basel, Switzerland. This article is an open access article distributed under the terms and conditions of the Creative Commons Attribution (CC BY) license (https://creativecommons.org/licenses/by/4.0/).
Share and Cite
Ullah, N.; Khan, J.; Saeed, I.; Zada, S.; Xin, S.; Kang, Z.; Hu, Y. Gastronomic Tourism and Tourist Motivation: Exploring Northern Areas of Pakistan. Int. J. Environ. Res. Public Health 2022, 19, 7734. https://doi.org/10.3390/ijerph19137734
Ullah N, Khan J, Saeed I, Zada S, Xin S, Kang Z, Hu Y. Gastronomic Tourism and Tourist Motivation: Exploring Northern Areas of Pakistan. International Journal of Environmental Research and Public Health. 2022; 19(13):7734. https://doi.org/10.3390/ijerph19137734
Chicago/Turabian StyleUllah, Nadeem, Jawad Khan, Imran Saeed, Shagufta Zada, Shanchao Xin, Zhihao Kang, and YiKe Hu. 2022. "Gastronomic Tourism and Tourist Motivation: Exploring Northern Areas of Pakistan" International Journal of Environmental Research and Public Health 19, no. 13: 7734. https://doi.org/10.3390/ijerph19137734
APA StyleUllah, N., Khan, J., Saeed, I., Zada, S., Xin, S., Kang, Z., & Hu, Y. (2022). Gastronomic Tourism and Tourist Motivation: Exploring Northern Areas of Pakistan. International Journal of Environmental Research and Public Health, 19(13), 7734. https://doi.org/10.3390/ijerph19137734

