Use of Generalized Weighted Quantile Sum Regressions of Tumor Necrosis Factor Alpha and Kidney Function to Explore Joint Effects of Multiple Metals in Blood
Abstract
:1. Introduction
2. Materials and Methods
2.1. Study Population
2.2. Biomarkers of Multiple Metals and Inflammation
2.3. Statistical Analysis
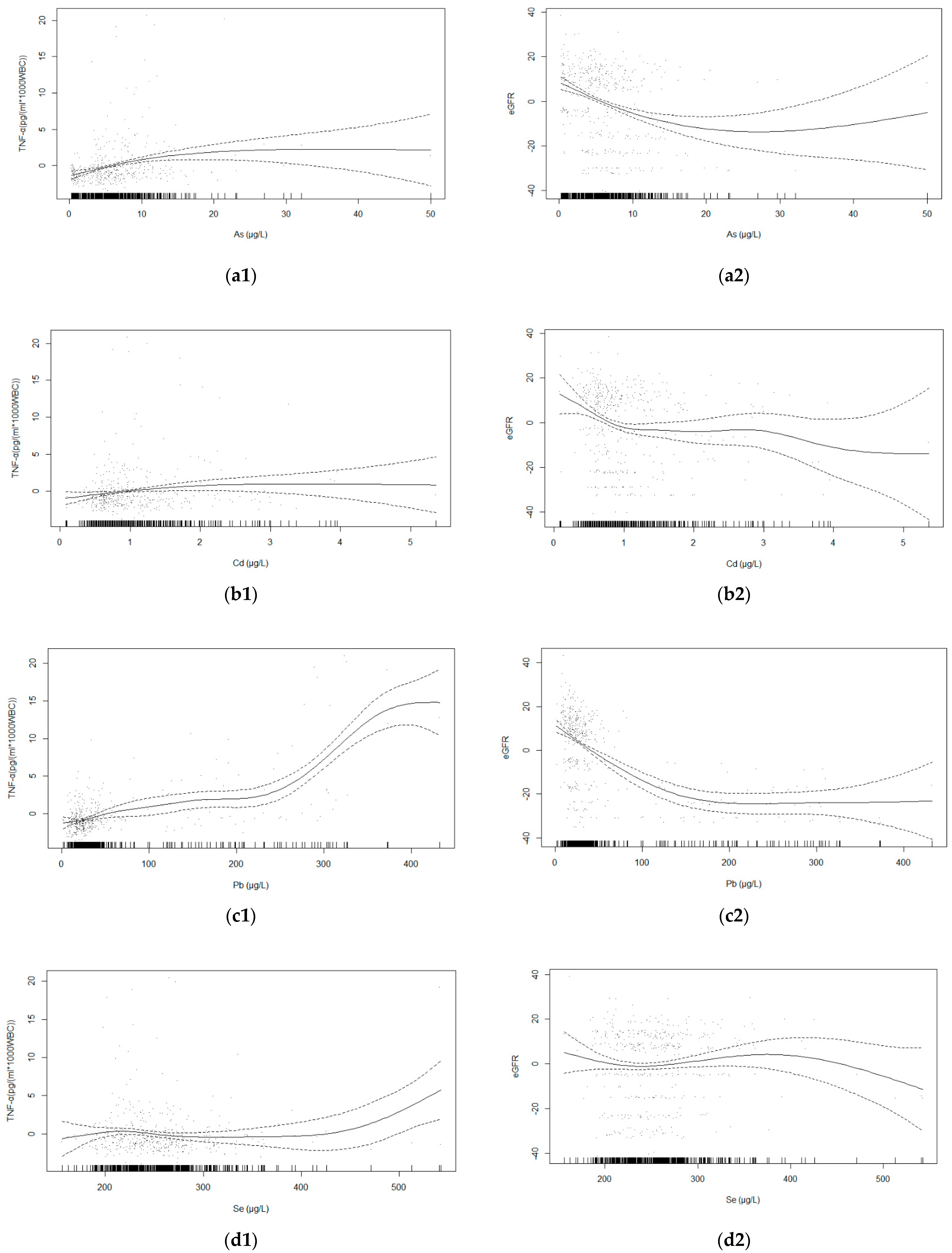
3. Results
3.1. Association between Blood Metals/Metalloids and TNF-α
3.2. GAM Model to Explore the Association between Blood Metals/Metalloids and the Ratio of TNF-α and WBC
3.3. WQS Regression to Examine the Association between Blood Metals/Metalloids and TNF-α
3.4. WQS Regression to Examine the Association between Blood Metals/Metalloids and Health Outcomes
3.5. Group WQS Regression to Examine the Association between Blood Metals/Metalloids and TNF-α, and Health Outcomes
4. Discussion
5. Conclusions
Supplementary Materials
Author Contributions
Funding
Institutional Review Board Statement
Informed Consent Statement
Data Availability Statement
Acknowledgments
Conflicts of Interest
References
- Rahman, Z.; Singh, V.P. The relative impact of toxic heavy metals (THMs) (arsenic (As), cadmium (Cd), chromium (Cr)(VI), mercury (Hg), and lead (Pb)) on the total environment: An overview. Environ. Monit. Assess. 2019, 191, 419. [Google Scholar] [CrossRef] [PubMed]
- International Agency for Research on Cancer. IARC Monographs on the Identification of Carcinogenic Hazards to Humans; Agents Classified by the IARC Monographs, Volumes 1–129; International Agency for Research on Cancer: Lyon, France, 2022. [Google Scholar]
- Tong, S.; von Schirnding, Y.E.; Prapamontol, T. Environmental lead exposure: A public health problem of global dimensions. Bull. World Health Organ. 2000, 78, 1068–1077. [Google Scholar] [PubMed]
- Argos, M.; Ahsan, H.; Graziano, J.H. Arsenic and human health: Epidemiologic progress and public health implications. Rev. Environ. Health 2012, 27, 191–195. [Google Scholar] [CrossRef] [Green Version]
- Wang, W.; Schaumberg, D.A.; Park, S.K. Cadmium and lead exposure and risk of cataract surgery in U.S. adults. Int. J. Hyg. Environ. Health 2016, 219, 850–856. [Google Scholar] [CrossRef] [Green Version]
- Harari, F.; Barregard, L.; Östling, G.; Sallsten, G.; Hedblad, B.; Forsgard, N.; Borné, Y.; Fagerberg, B.; Engström, G. Blood Lead Levels and Risk of Atherosclerosis in the Carotid Artery: Results from a Swedish Cohort. Environ. Health Perspect. 2019, 127, 127002. [Google Scholar] [CrossRef] [PubMed]
- Hu, Y.; Xiao, T.; Zhang, A. Associations between and risks of trace elements related to skin and liver damage induced by arsenic from coal burning. Ecotoxicol. Environ. Saf. 2021, 208, 111719. [Google Scholar] [CrossRef] [PubMed]
- Yu, C.G.; Yang, W.Y.; Saenen, N.; Wei, F.F.; Zhang, Z.Y.; Mujaj, B.; Thijs, L.; Feng, Y.M.; Nawrot, T.S.; Staessen, J.A. Neurocognitive function in relation to blood lead among young men prior to chronic occupational exposure. Scand. J. Work. Environ. Health 2019, 45, 298–307. [Google Scholar] [CrossRef] [Green Version]
- Kasperczyk, A.; Dobrakowski, M.; Czuba, Z.P.; Horak, S.; Kasperczyk, S. Environmental exposure to lead induces oxidative stress and modulates the function of the antioxidant defense system and the immune system in the semen of males with normal semen profile. Toxicol. Appl. Pharmacol. 2015, 284, 339–344. [Google Scholar] [CrossRef]
- Tutkun, L.; Gunduzoz, M.; Turksoy, V.A.; Deniz, S.; Oztan, O.; Cetintepe, S.P.; Iritas, S.B.; Yilmaz, F.M. Arsenic-induced inflammation in workers. Mol. Biol. Rep. 2019, 46, 2371–2378. [Google Scholar] [CrossRef]
- Bonaventura, P.; Lamboux, A.; Albarède, F.; Miossec, P. Regulatory effects of zinc on cadmium-induced cytotoxicity in chronic inflammation. PLoS ONE 2017, 12, e0180879. [Google Scholar] [CrossRef] [Green Version]
- Zoroddu, M.A.; Aaseth, J.; Crisponi, G.; Medici, S.; Peana, M.; Nurchi, V.M. The essential metals for humans: A brief overview. J. Inorg. Biochem. 2019, 195, 120–129. [Google Scholar] [CrossRef]
- Tracey, D.; Klareskog, L.; Sasso, E.H.; Salfeld, J.G.; Tak, P.P. Tumor necrosis factor antagonist mechanisms of action: A comprehensive review. Pharmacol. Ther. 2008, 117, 244–279. [Google Scholar] [CrossRef] [PubMed]
- Bazzoni, F.; Beutler, B. The tumor necrosis factor ligand and receptor families. N. Engl. J. Med. 1996, 334, 1717–1725. [Google Scholar] [CrossRef] [PubMed]
- Jang, D.-i.; Lee, A.-H.; Shin, H.-Y.; Song, H.-R.; Park, J.-H.; Kang, T.-B.; Lee, S.-R.; Yang, S.-H. The Role of Tumor Necrosis Factor Alpha (TNF-α) in Autoimmune Disease and Current TNF-α Inhibitors in Therapeutics. Int. J. Mol. Sci. 2021, 22, 2719. [Google Scholar] [CrossRef] [PubMed]
- Croft, M.; Siegel, R.M. Beyond TNF: TNF superfamily cytokines as targets for the treatment of rheumatic diseases. Nature reviews. Rheumatology 2017, 13, 217–233. [Google Scholar] [CrossRef] [Green Version]
- Varfolomeev, E.; Vucic, D. Intracellular regulation of TNF activity in health and disease. Cytokine 2018, 101, 26–32. [Google Scholar] [CrossRef]
- Maria, B.; Koizumi, S.; Jonai, H. Cytokine Production by Human Peripheral Blood Mononuclear cells after Exposure to Heavy Metals. J. Health Sci. 2000, 46, 358–362. [Google Scholar] [CrossRef] [Green Version]
- Singhirunnusorn, P.; Moolmuang, B.; Lirdprapamongkol, K.; Ruchirawat, M. Arsenite exposure potentiates apoptosis-inducing effects of tumor necrosis factor-alpha- through reactive oxygen species. J. Toxicol. Sci. 2018, 43, 159–169. [Google Scholar] [CrossRef] [Green Version]
- Larson-Casey, J.L.; Gu, L.; Fiehn, O.; Carter, A.B. Cadmium-mediated lung injury is exacerbated by the persistence of classically activated macrophages. J. Biol. Chem. 2020, 295, 15754–15766. [Google Scholar] [CrossRef]
- Di Lorenzo, L.; Vacca, A.; Corfiati, M.; Lovreglio, P.; Soleo, L. Evaluation of tumor necrosis factor-alpha and granulocyte colony-stimulating factor serum levels in lead-exposed smoker workers. Int. J. Immunopathol. Pharmacol. 2007, 20, 239–247. [Google Scholar] [CrossRef]
- Turksoy, V.A.; Tutkun, L.; Iritas, S.B.; Gunduzoz, M.; Deniz, S. The effects of occupational lead exposure on selected inflammatory biomarkers. Arh. Za Hig. Rada I Toksikol. 2019, 70, 36–41. [Google Scholar] [CrossRef] [PubMed] [Green Version]
- Ahmed, S.; Moore, S.E.; Kippler, M.; Gardner, R.; Hawlader, M.D.; Wagatsuma, Y.; Raqib, R.; Vahter, M. Arsenic exposure and cell-mediated immunity in pre-school children in rural Bangladesh. Toxicol. Sci. Off. J. Soc. Toxicol. 2014, 141, 166–175. [Google Scholar] [CrossRef] [PubMed] [Green Version]
- Dutta, K.; Prasad, P.; Sinha, D. Chronic low level arsenic exposure evokes inflammatory responses and DNA damage. Int. J. Hyg. Environ. Health 2015, 218, 564–574. [Google Scholar] [CrossRef]
- Yücesoy, B.; Turhan, A.; Ure, M.; Imir, T.; Karakaya, A. Effects of occupational lead and cadmium exposure on some immunoregulatory cytokine levels in man. Toxicology 1997, 123, 143–147. [Google Scholar] [CrossRef]
- Akyuva, Y.; Nazıroğlu, M.; Yıldızhan, K. Selenium prevents interferon-gamma induced activation of TRPM2 channel and inhibits inflammation, mitochondrial oxidative stress, and apoptosis in microglia. Metab. Brain Dis. 2021, 36, 285–298. [Google Scholar] [CrossRef]
- Guo, C.H.; Wang, C.L. Effects of zinc supplementation on plasma copper/zinc ratios, oxidative stress, and immunological status in hemodialysis patients. Int. J. Med. Sci. 2013, 10, 79–89. [Google Scholar] [CrossRef] [Green Version]
- Liu, L.; Geng, X.; McDermott, J.; Shen, J.; Corbin, C.; Xuan, S.; Kim, J.; Zuo, L.; Liu, Z. Copper Deficiency in the Lungs of TNF-α Transgenic Mice. Front. Physiol. 2016, 7, 234. [Google Scholar] [CrossRef] [PubMed] [Green Version]
- Obeng-Gyasi, E. Sources of lead exposure in various countries. Rev. Environ. Health 2019, 34, 25–34. [Google Scholar] [CrossRef]
- Rehman, K.; Fatima, F.; Waheed, I.; Akash, M.S.H. Prevalence of exposure of heavy metals and their impact on health consequences. J. Cell. Biochem. 2018, 119, 157–184. [Google Scholar] [CrossRef]
- Santra, A.; Maiti, A.; Das, S.; Lahiri, S.; Charkaborty, S.K.; Mazumder, D.N. Hepatic damage caused by chronic arsenic toxicity in experimental animals. J. Toxicology. Clin. Toxicol. 2000, 38, 395–405. [Google Scholar] [CrossRef]
- Al Olayan, E.M.; Aloufi, A.S.; AlAmri, O.D.; El-Habit, O.H.; Abdel Moneim, A.E. Protocatechuic acid mitigates cadmium-induced neurotoxicity in rats: Role of oxidative stress, inflammation and apoptosis. Sci. Total Environ. 2020, 723, 137969. [Google Scholar] [CrossRef]
- Fan, Y.; Zhao, X.; Yu, J.; Xie, J.; Li, C.; Liu, D.; Tang, C.; Wang, C. Lead-induced oxidative damage in rats/mice: A meta-analysis. J. Trace Elem. Med. Biol. Organ Soc. Miner. Trace Elem. 2020, 58, 126443. [Google Scholar] [CrossRef] [PubMed]
- Garla, R.; Sharma, N.; Kaushal, N.; Garg, M.L. Effect of Zinc on Hepatic and Renal Tissues of Chronically Arsenic Exposed Rats: A Biochemical and Histopathological Study. Biol. Trace Elem. Res. 2021, 199, 4237–4250. [Google Scholar] [CrossRef] [PubMed]
- Javorac, D.; Đorđević, A.B.; Anđelković, M.; Tatović, S.; Baralić, K.; Antonijević, E.; Kotur-Stevuljević, J.; Đukić-Ćosić, D.; Antonijević, B.; Bulat, Z. Redox and essential metal status in the brain of Wistar rats acutely exposed to a cadmium and lead mixture. Arh. Za Hig. Rada I Toksikol. 2020, 71, 197–204. [Google Scholar] [CrossRef]
- Czarnota, J.; Gennings, C.; Wheeler, D.C. Assessment of weighted quantile sum regression for modeling chemical mixtures and cancer risk. Cancer Inform. 2015, 14, 159–171. [Google Scholar] [CrossRef] [PubMed] [Green Version]
- Carrico, C.; Gennings, C.; Wheeler, D.C.; Factor-Litvak, P. Characterization of Weighted Quantile Sum Regression for Highly Correlated Data in a Risk Analysis Setting. J. Agric. Biol. Environ. Stat. 2015, 20, 100–120. [Google Scholar] [CrossRef] [PubMed]
- Levey, A.S.; Stevens, L.A.; Schmid, C.H.; Zhang, Y.L.; Castro, A.F., 3rd; Feldman, H.I.; Kusek, J.W.; Eggers, P.; Van Lente, F.; Greene, T.; et al. A new equation to estimate glomerular filtration rate. Ann. Intern. Med. 2009, 150, 604–612. [Google Scholar] [CrossRef]
- Wood, S.; Wood, M.S. Package ‘mgcv’. In R Package Version 1.8-40; R Core Team: Vienna, Austria, 2022. [Google Scholar]
- Renzetti, S.; Curtin, P.; Just, A.; Bello, G.; Gennings, C. gWQS: Generalized weighted quantile sum regression. R Package Version 0.0.3. 2021, 1, 1–9. [Google Scholar]
- Wheeler, D.; Carli, M. GroupWQS: Grouped Weighted Quantile Sum Regression. In R Package Version 0.0.3; R Core Team: Vienna, Austria, 2016. [Google Scholar]
- Barany, E.; Bergdahl, I.A.; Schütz, A.; Skerfving, S.; Oskarsson, A. Inductively coupled plasma mass spectrometry for directmulti-element analysis of diluted human blood andserum. J. Anal. At. Spectrom. 1997, 12, 1005–1009. [Google Scholar] [CrossRef]
- Orr, S.E.; Bridges, C.C. Chronic Kidney Disease and Exposure to Nephrotoxic Metals. Int. J. Mol. Sci. 2017, 18, 1039. [Google Scholar] [CrossRef] [Green Version]
- Ajeel, M.A.; Ajeel, A.A.; Nejres, A.M.; Salih, R.A. Assessment of Heavy Metals and Related Impacts on Antioxidants and Physiological Parameters in Oil Refinery Workers in Iraq. J. Health Pollut. 2021, 11, 210907. [Google Scholar] [CrossRef] [PubMed]
- Wyparło-Wszelaki, M.; Wąsik, M.; Machoń-Grecka, A.; Kasperczyk, A.; Bellanti, F.; Kasperczyk, S.; Dobrakowski, M. Blood Magnesium Level and Selected Oxidative Stress Indices in Lead-Exposed Workers. Biol. Trace Elem. Res. 2021, 199, 465–472. [Google Scholar] [CrossRef] [PubMed]
- Hengstler, J.G.; Bolm-Audorff, U.; Faldum, A.; Janssen, K.; Reifenrath, M.; Götte, W.; Jung, D.; Mayer-Popken, O.; Fuchs, J.; Gebhard, S.; et al. Occupational exposure to heavy metals: DNA damage induction and DNA repair inhibition prove co-exposures to cadmium, cobalt and lead as more dangerous than hitherto expected. Carcinogenesis 2003, 24, 63–73. [Google Scholar] [CrossRef] [PubMed] [Green Version]
- Goyer, R. Issue Paper on the Human Health Effects of Metals; US Environmental Protection Agency: Washington, WA, USA, 2004.
- Nouioui, M.A.; Araoud, M.; Milliand, M.L.; Bessueille-Barbier, F.; Amira, D.; Ayouni-Derouiche, L.; Hedhili, A. Evaluation of the status and the relationship between essential and toxic elements in the hair of occupationally exposed workers. Environ. Monit. Assess. 2018, 190, 731. [Google Scholar] [CrossRef] [PubMed]
- Wu, C.C.; Sung, F.C.; Chen, Y.C. Arsenic, Cadmium and Lead Exposure and Immunologic Function in Workers in Taiwan. Int. J. Environ. Res. Public Health 2018, 15, 683. [Google Scholar] [CrossRef] [Green Version]
- Karri, V.; Schuhmacher, M.P.; Kumar, V. A systems toxicology approach to compare the heavy metal mixtures (Pb, As, MeHg) impact in neurodegenerative diseases. Food Chem. Toxicol. Int. J. Publ. Br. Ind. Biol. Res. Assoc. 2020, 139, 111257. [Google Scholar] [CrossRef]
- Turksoy, V.A.; Tutkun, L.; Gunduzoz, M.; Oztan, O.; Deniz, S.; Iritas, S.B. Changing levels of selenium and zinc in cadmium-exposed workers: Probable association with the intensity of inflammation. Mol. Biol. Rep. 2019, 46, 5455–5464. [Google Scholar] [CrossRef]
- Sanders, A.P.; Mazzella, M.J.; Malin, A.J.; Hair, G.M.; Busgang, S.A.; Saland, J.M.; Curtin, P. Combined exposure to lead, cadmium, mercury, and arsenic and kidney health in adolescents age 12-19 in NHANES 2009-2014. Environ. Int. 2019, 131, 104993. [Google Scholar] [CrossRef]
- Jain, R.B. Co-exposures to toxic metals cadmium, lead, and mercury and their impact on unhealthy kidney function. Environ. Sci. Pollut. Res. Int. 2019, 26, 30112–30118. [Google Scholar] [CrossRef]
- Luo, J.; Hendryx, M. Metal mixtures and kidney function: An application of machine learning to NHANES data. Environ. Res. 2020, 191, 110126. [Google Scholar] [CrossRef]
- Schanz, M.; Schaaf, L.; Dippon, J.; Biegger, D.; Fritz, P.; Alscher, M.D.; Kimmel, M. Renal effects of metallothionein induction by zinc in vitro and in vivo. BMC Nephrol. 2017, 18, 91. [Google Scholar] [CrossRef] [Green Version]
- Satarug, S.; C Gobe, G.; A Vesey, D.; Phelps, K.R. Cadmium and Lead Exposure, Nephrotoxicity, and Mortality. Toxics 2020, 8, 86. [Google Scholar] [CrossRef] [PubMed]
- Tsaih, S.W.; Korrick, S.; Schwartz, J.; Amarasiriwardena, C.; Aro, A.; Sparrow, D.; Hu, H. Lead, diabetes, hypertension, and renal function: The normative aging study. Environ. Health Perspect. 2004, 112, 1178–1182. [Google Scholar] [CrossRef] [PubMed]
- Goyal, T.; Mitra, P.; Singh, P.; Ghosh, R.; Lingeswaran, M.; Sharma, S.; Sharma, P. Alterations in Th17 and Treg Lymphocyte Subset in Workers Occupationally Exposed to Lead. Biol. Trace Elem. Res. 2021, 199, 1693–1700. [Google Scholar] [CrossRef] [PubMed]
- Goyal, T.; Mitra, P.; Singh, P.; Ghosh, R.; Lingeswaran, M.; Sharma, S.; Purohit, P.; Sharma, P. Estimation of lymphocyte subsets and cytokine levels in workers occupationally exposed to cadmium. J. Trace Elem. Med. Biol. Organ Soc. Miner. Trace Elem. 2021, 64, 126681. [Google Scholar] [CrossRef] [PubMed]
- Huang, H.; Chen, J.; Sun, Q.; Liu, Y.; Tang, Y.; Teng, X. NLRP3 inflammasome is involved in the mechanism of mitigative effect of selenium on lead-induced inflammatory damage in chicken kidneys. Environ. Sci. Pollut. Res. Int. 2021, 28, 10898–10908. [Google Scholar] [CrossRef] [PubMed]
- López-Vanegas, N.C.; Hernández, G.; Maldonado-Vega, M.; Calderón-Salinas, J.V. Leukocyte apoptosis, TNF-α concentration and oxidative damage in lead-exposed workers. Toxicol. Appl. Pharmacol. 2020, 391, 114901. [Google Scholar] [CrossRef]
- Lozano, M.; Murcia, M.; Soler-Blasco, R.; Casas, M.; Zubero, B.; Riutort-Mayol, G.; Gil, F.; Olmedo, P.; Grimalt, J.O.; Amorós, R.; et al. Exposure to metals and metalloids among pregnant women from Spain: Levels and associated factors. Chemosphere 2021, 286, 131809. [Google Scholar] [CrossRef]
- Tsai, J.; Homa, D.M.; Neff, L.J.; Sosnoff, C.S.; Wang, L.; Blount, B.C.; Melstrom, P.C.; King, B.A. Trends in Secondhand Smoke Exposure, 2011-2018: Impact and Implications of Expanding Serum Cotinine Range. Am. J. Prev. Med. 2021, 61, e109–e117. [Google Scholar] [CrossRef]




| Characteristics | Mean ± SD | Min–Max | 
|---|---|---|
| Gender | ||
| Male | 333 (79.1%) | |
| Female | 88 (20.9%) | |
| Cigarette smoking | ||
| Yes | 129 (30.6%) | |
| No | 292 (69.4%) | |
| Alcohol consumption | ||
| Yes | 7 (1.7%) | |
| No | 414 (98.3%) | |
| Age (years) | 39.8 ± 8.2 | 23.0–79.9 | 
| BMI (kg/m2) | 24.8 ± 3.5 | 17.1–35.0 | 
| White blood cells (103/µL) | 6.8 ± 1.6 | 2.7–13.2 | 
| Serum creatinine (mg/dL) | 0.9 ± 0.2 | 0.3–1.3 | 
| TNF-α (pg/mL) | 23.8 ± 22.6 | 7.8–170.8 | 
| Arsenic (μg/L) | 6.4 ± 5.2 | 0.2–50.0 | 
| Cadmium (μg/L) | 1.1 ± 0.7 | 0.1–5.4 | 
| Lead (μg/L) | 56.0 ± 76.4 | 1.9–432.0 | 
| Selenium (μg/L) | 255.6 ± 49.9 | 155.9–542.2 | 
| Cobalt (μg/L) | 0.5 ± 0.3 | 0.2–2.9 | 
| Copper (μg/L) | 921.7 ± 171.1 | 494.2–2224.7 | 
| Zinc (μg/L) | 7625.3 ± 1992.4 | 3928.7–21,106.3 | 
| eGFR (mL/min/1.73 m2) | 99.5 ± 17.9 | 61.8–139.6 | 
| Toxic Metals | ||||
|---|---|---|---|---|
| Outcomes | Estimates (95% CI) | p-Value | Metal/Metalloids with Weight | Components Weight | 
| TNF-α | 0.314 (0.241, 0.387) | <0.001 | Pb, As | 63%, 37% | 
| White blood cells | 0.023 (−0.010, 0.056) | 0.168 | n/a | n/a | 
| TNF-α/WBC | 0.279 (0.120, 0.358) | <0.001 | Pb, As | 52%, 48% | 
| Serum creatinine | 0.094 (0.070, 0.118) | <0.001 | Pb, As, Cd | 87%, 10%, 3% | 
| eGFR | −0.087 (−0.108, −0.066) | <0.001 | Pb, As, Cd | 90%, 8%, 2% | 
| Essential Metals | ||||
| Outcomes | Estimates (95% CI) | p-Value | Metal/Metalloids with Weight | Components Weight | 
| TNF-α | 0.217 (0.136, 0.298) | <0.001 | Zn, Co, Cu, Se | 63%, 26%, 7%, 4% | 
| White blood cells (WBC) | 0.019 (−0.010, 0.049) | 0.201 | n/a | n/a | 
| TNF-α/WBC | 0.194 (0.084, 0.304) | 0.001 | Zn, Se, Co, Cu | 32%, 29%, 28%, 11% | 
| Serum creatinine | 0.099 (0.075, 0.123) | <0.001 | Zn, Co | 79%, 21% | 
| eGFR | −0.093 (−0.115, −0.072) | <0.001 | Zn, Co | 77%, 23% | 
| Outcome | Model 1 | Model 2 * | ||||||
|---|---|---|---|---|---|---|---|---|
| Estimates (95% CI) | p-Value | Metal/Metalloids with Weight | Components Weight | Estimates (95% CI) | p-Value | Metal/Metalloids with Weight | Components Weight | |
| TNF-α | 0.368 (0.289, 0.448) | <0.001 | Pb, As, Zn | 42%, 37%, 15% | 0.352 (0.270, 0.433) | <0.001 | Pb, As, Zn | 50%, 31%, 15% | 
| WBC | 0.034 (−0.001, 0.069) | 0.062 | n/a | n/a | 0.018 (−0.017, 0.053) | 0.307 | n/a | n/a | 
| TNF-α/WBC | 0.318 (0.231, 0.406) | <0.001 | As, Pb, Co | 51%, 30%, 15% | 0.287 (0.199, 0.373) | <0.001 | Pb, As, Se | 48%, 41%, 10% | 
| Creatinine | 0.143 (0.116, 0.171) | <0.001 | Zn, Pb, As | 55%, 42%, 7% | 0.124 (0.098, 0.150) | <0.001 | Zn, Pb, Co | 61%, 25%, 9% | 
| eGFR | −0.122 (−0.146, −0.098) | <0.001 | Zn, Pb, Co | 56%, 30%, 12% | −0.115 (−0.138, −0.092) | <0.001 | Zn, Pb, Co | 61%, 24%, 11% | 
| Outcome | Essential Metals Estimates (95% CI) | p-Value | Toxic Metals Estimates (95% CI) | p-Value | 
|---|---|---|---|---|
| TNF-α | −0.091 (−0.153, −0.030) | 0.004 | 0.270 (0.214, 0.326) | <0.001 | 
| White blood cells | 0.030 (0.005, 0.054) | 0.018 | 0.026 (0.004, 0.048) | 0.019 | 
| TNF-α/WBC | −0.079 (−0.146, −0.011) | 0.027 | 0.257 (0.198, 0.316) | <0.001 | 
| Serum creatinine | 0.086 (0.066, 0.105) | <0.001 | 0.098 (0.077, 0.119) | <0.001 | 
| eGFR | −0.046 (−0.061, −0.030) | <0.001 | −0.066 (−0.084, −0.048) | <0.001 | 
| Publisher’s Note: MDPI stays neutral with regard to jurisdictional claims in published maps and institutional affiliations. | 
© 2022 by the authors. Licensee MDPI, Basel, Switzerland. This article is an open access article distributed under the terms and conditions of the Creative Commons Attribution (CC BY) license (https://creativecommons.org/licenses/by/4.0/).
Share and Cite
Luo, K.-H.; Tu, H.-P.; Yang, C.-H.; Yang, C.-C.; Chen, T.-H.; Chuang, H.-Y. Use of Generalized Weighted Quantile Sum Regressions of Tumor Necrosis Factor Alpha and Kidney Function to Explore Joint Effects of Multiple Metals in Blood. Int. J. Environ. Res. Public Health 2022, 19, 7399. https://doi.org/10.3390/ijerph19127399
Luo K-H, Tu H-P, Yang C-H, Yang C-C, Chen T-H, Chuang H-Y. Use of Generalized Weighted Quantile Sum Regressions of Tumor Necrosis Factor Alpha and Kidney Function to Explore Joint Effects of Multiple Metals in Blood. International Journal of Environmental Research and Public Health. 2022; 19(12):7399. https://doi.org/10.3390/ijerph19127399
Chicago/Turabian StyleLuo, Kuei-Hau, Hung-Pin Tu, Cheng-Hong Yang, Chen-Cheng Yang, Tzu-Hua Chen, and Hung-Yi Chuang. 2022. "Use of Generalized Weighted Quantile Sum Regressions of Tumor Necrosis Factor Alpha and Kidney Function to Explore Joint Effects of Multiple Metals in Blood" International Journal of Environmental Research and Public Health 19, no. 12: 7399. https://doi.org/10.3390/ijerph19127399
APA StyleLuo, K.-H., Tu, H.-P., Yang, C.-H., Yang, C.-C., Chen, T.-H., & Chuang, H.-Y. (2022). Use of Generalized Weighted Quantile Sum Regressions of Tumor Necrosis Factor Alpha and Kidney Function to Explore Joint Effects of Multiple Metals in Blood. International Journal of Environmental Research and Public Health, 19(12), 7399. https://doi.org/10.3390/ijerph19127399
 
         
                                                



 
       