UVR Exposure and Prevention of Street Construction Workers in Colombia and Germany
Abstract
1. Introduction
2. Materials and Methods
2.1. Participants and Locations
2.1.1. Colombian Subset
2.1.2. German Subset
2.2. Measurement Technology
2.3. Data Analysis and Extrapolation
3. Results
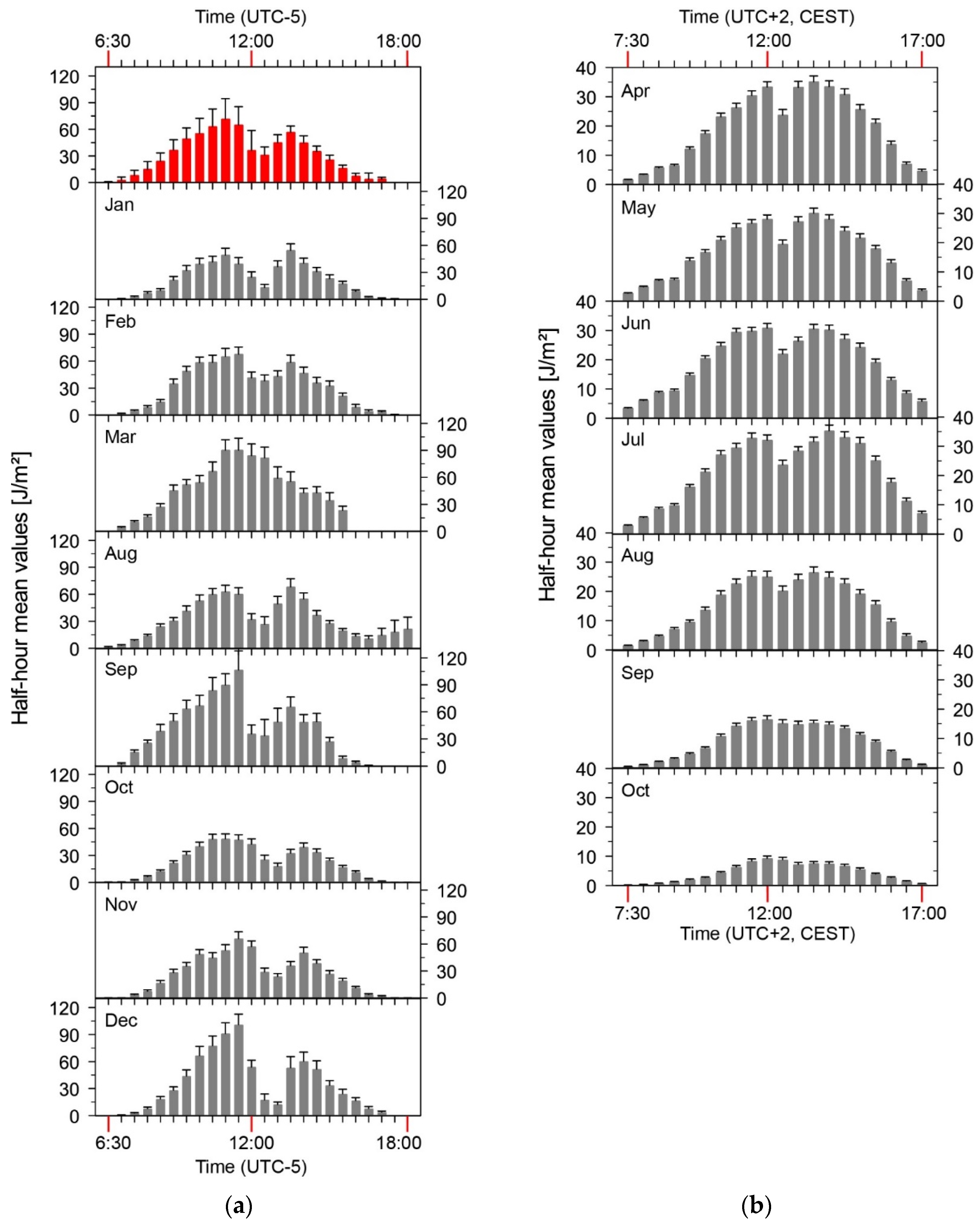
3.1. Tropical Zone: Colombia

3.2. Temperate Climate: Germany
3.3. Derived Findings
| Overall Quota of Values above Level Indicated | ||||||||||||
|---|---|---|---|---|---|---|---|---|---|---|---|---|
| >1 SED | >2 SED | >3 SED | >4 SED | >6 SED | >9 SED | |||||||
| CO | 0.95 | 0.89 | 0.79 | 0.68 | 0.49 | 0.24 | ||||||
| DE | 0.74 | 0.54 | 0.38 | 0.26 | 0.11 | 0.03 | ||||||
| Ratio CO/DE | 1.28 | 1.64 | 2.08 | 2.61 | 4.40 | 7.14 | ||||||
| Monthly Quota of Values > 3 SED of Road Construction Workers in Germany | ||||||||||||
| April | May | June | July | August | September | October | ||||||
| 0.48 | 0.46 | 0.51 | 0.57 | 0.37 | 0.18 | 0.04 | ||||||
| Seasonal Factor for Latitudes Like Germany | ||||||||||||
| Jan | Feb | Mar | Apr | May | Jun | Jul | Aug | Sep | Oct | Nov | Dez | Σ |
| 0.015 | 0.025 | 0.055 | 0.100 | 0.150 | 0.185 | 0.170 | 0.140 | 0.090 | 0.045 | 0.015 | 0.010 | 1.0 |

3.4. Detailed Analysis of the German Data
4. Discussion
4.1. General Findings
4.2. Prevention Concepts
4.3. Strenghts and Limitations
5. Conclusions
- Development of appropriate technical protective measures: The maximum possible level of protection can be used, adapted to the place of work. The less radiation that reaches the workers, the lower the risk;
- Implementation of suitable organisational protective measures: Adjustment of working hours, introduction of adequate occupational health measures, instruction and training at regular intervals;
- Development and introduction of personal protective measures: Not every item of clothing necessarily has to be certified. Often normal street clothes are sufficient. It is important that they cover the body. Particularly in the case of personal protective measures, such as clothing, care should be taken to ensure that they are designed to provide the required level of protection and that they do not promote other hazards, such as overheating.
Author Contributions
Funding
Institutional Review Board Statement
Informed Consent Statement
Data Availability Statement
Acknowledgments
Conflicts of Interest
References
- Bustamante, M.; Hernandez-Ferrer, C.; Tewari, A.; Sarria, Y.; Harrison, G.I.; Puigdecanet, E.; Nonell, L.; Kang, W.; Friedländer, M.R.; Estivill, X.; et al. Dose and time effects of solar-simulated ultraviolet radiation on the in vivo human skin transcriptome. Br. J. Dermatol. 2020, 182, 1458–1468. [Google Scholar] [CrossRef] [PubMed]
- Goodsell, D.S. The molecular perspective: Ultraviolet light and pyrimidine dimers. Oncology 2001, 6, 298–299. [Google Scholar]
- Kim, S.I.; Jin, S.G.; Pfeifer, G.P. Formation of cyclobutane pyrimidine dimers at dipyrimidines containing 5-hydroxymethylcytosine. Photochem. Photobiol. Sci. 2013, 12, 1409–1415. [Google Scholar] [CrossRef]
- Madan, V.; Lear, J.T.; Szeimies, R.M. Non-melanoma skin cancer. Lancet 2010, 375, 673–685. [Google Scholar] [CrossRef]
- Perea-Milla Lopez, E.; Minarro-Del Moral, R.M.; Martinez-Garcia, C.; Zanetti, R.; Rosso, S.; Serrano, S.; Aneiros, J.F.; Jimenez-Puente, A.; Redondo, M. Lifestyles, environmental and phenotypic factors associated with lip cancer: A case-control study in southern Spain. Br. J. Cancer 2003, 88, 1702–1707. [Google Scholar] [CrossRef] [PubMed]
- Aubry, F.; MacGibbon, B. Risk factors of squamous cell carcinoma of the skin. A case-control study in the Montreal region. Cancer 1985, 55, 907–911. [Google Scholar] [CrossRef]
- Fitzpatrick, T. The validity and practicality of sun-reactive skin types I through VI. Arch. Dermatol. 1988, 124, 869–871. [Google Scholar] [CrossRef]
- Armstrong, B.K.; Kricker, A. The epidemiology of UV induced skin cancer. J. Photochem. Photobiol. B Biol. 2001, 63, 8–18. [Google Scholar] [CrossRef]
- Schaefer, I.; Augustin, M.; Spehr, C.; Reusch, M.; Kornek, T. Prevanelce and risk factors of actinic keratoses in Germany—Analysis of multisource data. J. Eur. Acad. Dermatol. Venereol. 2013, 28, 309–313. [Google Scholar] [CrossRef]
- Flohill, S.C.; van der Leest, R.J.; Dowlatshahi, E.A.; Homan, A.; de Vries, E.; Nijsten, T. Prevalence of actinic keratosis and its risk factors in the general population: The Rotterdam Study. J. Investig. Dermatol. 2013, 133, 1971–1978. [Google Scholar] [CrossRef]
- Miller, S.J. Etiology and pathogenesis of basal cell carcinoma. Clin. Dermatol. 1995, 13, 527–536. [Google Scholar] [CrossRef]
- Fears, T.R.; Scotto, J.; Schneidermann, M.A. Mathematical models of age and ultraviolet effects on the incidence of skin cancer among whites in the United States. Am. J. Epidemiol. 1977, 105, 420–427. [Google Scholar] [CrossRef] [PubMed]
- Diepgen, T.L.; Mahler, V. The epidemiology of skin cancer. Br. J. Dermatol. 2002, 146 (Suppl. 61), 1–6. [Google Scholar] [CrossRef] [PubMed]
- Gray, D.T.; Suman, V.J.; Su, W.P.; Clay, R.P.; Harmsen, W.S.; Roenigk, R.K. Trends in the population-based incidence of squamous cell carcinoma of the skin first diagnosed between 1984 and 1992. Arch Dermatol. 1997, 133, 735–740. [Google Scholar] [CrossRef]
- Quinn, A.G. Ultraviolet radiation and skin carcinogenesis. Br. J. Hosp. Med. 1997, 58, 261–264. [Google Scholar]
- Alam, M.; Ratner, D. Cutaneous squamous-cell carcinoma. N. Engl. J. Med. 2001, 344, 975–983. [Google Scholar] [CrossRef]
- Geller, A.C.; Annas, G.D. Epidemiology of melanoma and nonmelanoma skin cancer. Semin. Oncol. Nurs. 2003, 19, 2–11. [Google Scholar] [CrossRef]
- Oberyszyn, T.M. Non-melanoma skin cancer: Importance of gender, immunosuppressive status and vitamin D. Cancer Lett. 2008, 261, 127–136. [Google Scholar] [CrossRef]
- Aiken, J.F.; Youlden, D.R.; Baade, P.D.; Soyer, H.P.; Green, A.C.; Smithers, B.M. Generational shift in melanoma incidence and mortality in Queensland, Australia, 1995–2014. Int. J. Cancer 2018, 142, 1528–1535. [Google Scholar] [CrossRef]
- Olsen, C.M.; Green, A.C.; Pandeya, N.; Whiteman, D.C. Trends in Melanoma Incidence Rates in Eight Susceptible Populations through 2015. J. Investig. Dermatol. 2019, 139, 1392–1395. [Google Scholar] [CrossRef]
- Sinclair, C.; Foley, P. Skin cancer prevention in Australia. Br. J. Dermatol. 2009, 161, 116–123. [Google Scholar] [CrossRef] [PubMed]
- Diffey, B.L. Personal ultraviolet radiation dosimetry with polysulphone film badges. Photo-Dermatology 1984, 1, 151–157. [Google Scholar] [PubMed]
- Diffey, B.L. Radiation Measurement in Photobiology, 1st ed.; Elsevier: Amsterdam, The Netherlands, 1989. [Google Scholar]
- Knuschke, P.; Unverricht, I.; Ott, G.; Janßen, M. Personenbezogene Messung der UV-Exposition von Arbeitnehmern im Freien (Forschung Projekt F 1777); Bundesanstalt für Arbeitsschutz und Arbeitsmedizin (BauA): Dortmund, Germany, 2007; p. 196. [Google Scholar]
- Knuschke, P.; Krins, A. UV-Personendosimetrie Teil B: Mit Verwendung des Polysulfonfilms als UV-Sensor. In Schlussbericht BMBF-Vorhaben 07UVB54B; Technische Informationsbibliothek Hannover: Welfengarten, Germany, 2000. [Google Scholar]
- Holman, C.; Gibson, I.; Stephenson, M.; Armstrong, B. Ultraviolet irradiation of human body sites in relation to occupation and outdoor activity: Field studies using personal UVR dosimeters. Clin. Exp. Dermatol. 1983, 8, 269–277. [Google Scholar] [CrossRef] [PubMed]
- Herlihy, E.; Gies, P.H.; Roy, C.R.; Jones, M. Personal dosimetry of solar UV radiation for different outdoor activities. Photochem. Photobiol. 1994, 60, 288–294. [Google Scholar] [CrossRef]
- Thieden, E.; Agren, A.S.; Wulf, H.C. The wrist is a reliable body site for personal dosimetry of ultraviolet radiation. Photodermatol. Photoimmunol. Photomed. 2000, 16, 57–61. [Google Scholar] [CrossRef]
- Thieden, E.; Agren, M.; Wulf, H. Solar UVR exposures of indoor workers in a Working and a Holiday Period assessed by personal dosimeters and sun exposure diaries. Photodermatol. Photoimmunol. Photomed. 2001, 17, 249–255. [Google Scholar] [CrossRef]
- Grandahl, K.; Eriksen, P.; Ibler, K.; Bonde, J.; Mortensen, O. Measurements of Solar Ultraviolet Radiation Exposure at Work and at Leisure in Danish Workers. Photochem. Photobiol. 2018, 94, 807–814. [Google Scholar] [CrossRef]
- Grandahl, K.; Mortensen, O.; Sherman, D.; Køster, B.; Lund, P.; Ibler, K.; Eriksen, P. Solar UV exposure among outdoor workers in Denmark measured with personal UV-B dosimeters: Technical and practical feasibility. Biomed. Eng. Online 2017, 16, 119. [Google Scholar] [CrossRef]
- Phillipson, R.; Tobi, S.; Morris, J.; McMillan, T. UV-A induces persistent genomic instability in human keratinocytes through an oxidative stress mechanism. Free Radic. Biol. Med. 2002, 32, 474–480. [Google Scholar] [CrossRef]
- Strehl, C.; Heepenstrick, T.; Knuschke, P.; Wittlich, M. Bringing Light into Darkness—Comparison of Different Personal Dosimeters for Assessment of Solar Ultraviolet Exposure. Int. J. Environ. Res. Public Health 2021, 18, 9071. [Google Scholar] [CrossRef]
- Heepenstrick, T.; Strehl, C.; Wittlich, M. Probing Different Approaches in Ultraviolet Radiation Personal Dosimetry—Ball Sports and Visiting Parks. Front. Public Health 2022, 10, 868853. [Google Scholar] [CrossRef] [PubMed]
- Diffey, B.; Roscoe, A. Exposure to solar ultraviolet radiation in flight. Aviat. Space Environ. Med. 1990, 61, 1032–1035. [Google Scholar] [PubMed]
- Serrano, M.A.; Canada, J.; Moreno, J.C. Solar UV exposure of primary schoolchildren in Valencia, Spain. Photochem. Photobiol. Sci. 2011, 10, 523–530. [Google Scholar] [CrossRef] [PubMed][Green Version]
- Vishvakarman, D.; Wong, J.; Boreham, B. Annual occupational exposure to ultraviolet radiation in central Queensland. Health Phys. Soc. 2001, 81, 536–544. [Google Scholar] [CrossRef]
- Downs, N.; Parisi, A.; Igoe, D. Measurements of occupational ultraviolet exposure and the implications of timetabled yard duty for school teachers in Queensland, Australia: Preliminary results. J. Photochem. Photobiol. B Biol. 2014, 131, 84–89. [Google Scholar] [CrossRef]
- Downs, N.J.; Harrison, S.L.; Garzon Chavez, D.R.; Parisi, A.V. Solar ultraviolet and the occupational radiant exposure of Queensland school teachers: A comparative study between teaching classifications and behavior patterns. J. Photochem. Photobiol. B Biol. 2016, 158, 105–112. [Google Scholar] [CrossRef]
- Siani, A.; Casale, G.; Sisto, R.; Colosimo, A.; Lang, C.; Kimlin, M. Occupational Exposures to Solar Ultraviolet Radiation of Vineyard Workers in Tuscany (Italy). Photochem. Photobiol. Sci. 2011, 87, 925–934. [Google Scholar] [CrossRef]
- Schmalwieser, A.; Cabaj, A.; Schauberger, G.; Rohn, H.; Maier, B.; Maier, H. Facial solar UV exposure of Austrian farmers during occupation. Photochem. Photobiol. 2010, 86, 1404–1413. [Google Scholar] [CrossRef]
- Bodekaer, M.; Harrison, G.I.; Philipsen, P.A.; Petersen, B.; Triguero-Mas, M.; Schmalwieser, A.W.; Rogowski-Tylman, M.; Davand, P.; Lesniak, A.; Narbutt, J.; et al. Personal UVR exposure of farming families in four European countries. J. Photochem. Photobil. B 2015, 153, 267–275. [Google Scholar] [CrossRef]
- Serrano, M.A.; Canada, J.; Moreno, J.C.; Group, V.S.R.R. Solar UV exposure in construction workers in Valencia, Spain. J. Expo Sci. Environ. Epidemiol. 2013, 23, 525–530. [Google Scholar] [CrossRef]
- Hammond, V.; Reeder, A.; Gray, A. Patterns of real-time occupational ultraviolet radiation exposure among a sample of outdoor workers in New Zealand. Public Health 2009, 123, 182–187. [Google Scholar] [CrossRef] [PubMed]
- Wolska, A. Occupational exposure to solar UVR of polish outdoor workers: Risk estimation method and criterion. Int. J. Occup. Saf. Ergon. (JOSE) 2013, 19, 107–116. [Google Scholar] [CrossRef][Green Version]
- Wittlich, M. Criteria for Occupational Health Prevention for Solar UVR Exposed Outdoor Workers-Prevalence, Affected Parties, and Occupational Disease. Front. Public Health 2022, 9, 772290. [Google Scholar] [CrossRef] [PubMed]
- Wittlich, M.; John, S.M.; Tiplica, G.S.; Sălăvăstru, C.M.; Butacu, A.I.; Modenese, A.; Paolucci, V.; D’Hauw, G.; Gobba, F.; Sartorelli, P.; et al. Personal solar ultraviolet radiation dosimetry in an occupational setting across Europe. J. Eur. Acad. Dermatol. Venereol. 2020, 34, 1835–1841. [Google Scholar] [CrossRef]
- Kovačić, J.; Wittlich, M.; John, S.M.; Macan, J. Personal ultraviolet radiation dosimetry and its relationship with environmental data: A longitudinal pilot study in Croatian construction workers. J. Photochem. Photobiol. B Biol. 2020, 207, 111866. [Google Scholar] [CrossRef] [PubMed]
- Moldovan, H.R.; Wittlich, M.; John, S.M.; Brans, R.; Tiplica, G.S.; Salavastru, C.; Voidazan, S.T.; Duca, R.C.; Fugulyan, E.; Horvath, G.; et al. Exposure to solar UV radiation in outdoor construction workers using personal dosimetry. Environ. Res. 2020, 181, 108967. [Google Scholar] [CrossRef]
- Baczynska, K.A.; Brown, S.; Chorley, A.C.; Lyachev, A.; Wittlich, M.; Khazova, M. Measurements of UV—A Exposure of Commercial Pilots Using Genesis-UV Dosimeters. Atmosphere 2020, 11, 475. [Google Scholar] [CrossRef]
- International Commission on Illumination (CIE), ISO/CIE 17166:2019(E): Erythema Reference Action Spectrum and Standard Erythema Dose. In ISO/TC 274, Light and Lighting; International Commission on Illumination (CIE): Vienna, Austria, 2019.
- Wittlich, M.; Westerhausen, S.; Kleinespel, P.; Rifer, G.; Stoppelmann, W. An approximation of occupational lifetime UVR exposure: Algorithm for retrospective assessment and current measurements. J. Eur. Acad. Dermatol. Venereol. 2016, 30 (Suppl. S3), 27–33. [Google Scholar] [CrossRef]
- Sanclemente, G.; Zapata, J.F.; García, J.J.; Gaviria, A.; Gómez, L.F.; Barrera, M. Lack of correlation between minimal erythema dose and skin phototype in a Colombian scholar population. Skin Res. Technol. 2008, 14, 403–409. [Google Scholar] [CrossRef]
- María Alejandra, G. Mortalidad por melanoma cutáneo en Colombia: Estudio de tendencias. Rev. Asoc. Colomb. Dermatol. Cirugía Derm. 2017, 25, 8–15. [Google Scholar]
- Bundesrespublik Deutschland, Beschluss des Bundesrates: Zweite Verordnung zur Änderung der Verordnung zur arbeitsmedizinischen Vorsorge. Bundesdrucksache 2019, 237, 1–21.
- Arbeitsmedizinische Regel (AMR) 13.3: Tätigkeiten im Freien mit intensiver Belastung durch natürliche UV-Strahlung von regelmäßig einer Stunde oder mehr je Tag. In Gemeinsames Minsterialblatt; Soziales, Bundesministerium für Arbeit und Soziales: Berlin, Germany, 2019; Volume 36, p. 697.
- Robert-Koch-Institut. Nicht-Melanotischer Hautkrebs (Heller Hautkrebs); RKI: Berlin, Germany, 2021. Available online: https://www.krebsdaten.de/Krebs/DE/Content/Krebsarten/Nicht-melanotischer-Hautkrebs/nicht-melanotischer-hautkrebs_node.html (accessed on 5 May 2021).
- Meijs, M.; Herrera, A.; Acosta, A.; de Vries, E. Burden of skin cancer in Colombia. Int. J. Dermatol. 2022. online ahead of print. [Google Scholar] [CrossRef] [PubMed]
- Wittlich, M.; Westerhausen, S.; Strehl, B.; Schmitz, M.; Stöppelmann, W.; Versteeg, H. IFA Report 4/2020—Exposition von Beschäftigten Gegenüber Solarer UV-Strahlung: Ergebnisse des Projekts Mit GENESIS-UV; Deutsche Gesetzliche Unfallversicherung e.V. (DGUV): Berlin, Germany, 2020. [Google Scholar]
- Peters, C.; Demers, P.; Kalia, S.; Nicol, A.; Koehoorn, M. Levels of occupational exposure to solar UVR in Vancouver, Canada. Ann. Occup. Hyg. 2016, 60, 825–835. [Google Scholar] [CrossRef]
- Serrano, M.; Canada, J.; Moreno, J. Erythemal Ultraviolet Exposure in Two Groups of Outdoor Workers in Valencia, Spain. Photochem. Photobiol. Sci. 2009, 85, 1468–1473. [Google Scholar] [CrossRef]
- Rosenthal, F.S.; Phoon, C.; Bakalian, A.E.; Taylor, H.R. The Ocular Dose of Ultraviolet Radiation to Outdoor Workers. Invest Ophthalmol. Vis. Sci. 1988, 29, 649–656. [Google Scholar] [PubMed]
- European Union, Directive 2006/25/EC of the European Parliament and of the Council of 5 April 2006 on the minimum health and safety requirements regarding the exposure of workers to risks arising from physical agents (artificial optical radiation) (19th individual Directive within the meaning of Article 16(1) of Directive 89/391/EEC). Off. J. Eur. Union 2006, L114, 38–59.
- ICNIRP, Statement on protection of workers against UVR. Health Phys. Soc. 2010, 99, 1–23.
- World Health Organization; World Meteorological Organization; United Nations Environment Programme; International Commission on Non-Ionizing Radiation Protection. Global Solar UV Index: A Practical Guide; World Health Organization: Geneva, Switzerland, 2002.
- Bentham, G. Depletion of the ozone layer: Consequences for non-infectious human diseases. Parasitology 1993, 106, S39–S46. [Google Scholar] [CrossRef]
- Kelfkens, G.; de Gruijl, F.; van der Leun, J. Ozone depletion and increase in annual carcinogenic ultraviolet dose. Photochem. Photobiol. 1990, 52, 819–823. [Google Scholar] [CrossRef]
- Willis, I.; Menter, J. Effect of varying dose of UV radiation on mammalian skin: Simulation of decreasing stratospheric ozone. J. Investig. Dermatol. 1983, 80, 416–419. [Google Scholar] [CrossRef]






| Jan. | Feb. | Mar. | Apr. | May | Jun. | Jul. | Aug. | Sep. | Oct. | Nov. | Dec. | |
|---|---|---|---|---|---|---|---|---|---|---|---|---|
| Germany | ||||||||||||
| Ø | - | - | - | 361.1 | 329.3 | 365.1 | 402.1 | 282.3 | 172.5 | 85.6 | - | - |
| Err | - | - | - | 19.7 | 15.7 | 14.6 | 18.0 | 17.5 | 9.5 | 6.7 | - | - |
| Colombia | ||||||||||||
| Ø | 479.5 | 723.3 | 889.8 | - | - | - | - | 686.7 | 798.4 | 519.1 | 586.0 | 766.9 |
| Err | 54.2 | 70.9 | 77.5 | - | - | - | - | 63.4 | 139.1 | 53.7 | 47.3 | 75.4 |
Publisher’s Note: MDPI stays neutral with regard to jurisdictional claims in published maps and institutional affiliations. |
© 2022 by the authors. Licensee MDPI, Basel, Switzerland. This article is an open access article distributed under the terms and conditions of the Creative Commons Attribution (CC BY) license (https://creativecommons.org/licenses/by/4.0/).
Share and Cite
Calvache Ruales, M.F.; Westerhausen, S.; Zapata Gallo, H.A.; Strehl, B.; Naza Guzman, S.D.; Versteeg, H.; Stöppelmann, W.; Wittlich, M. UVR Exposure and Prevention of Street Construction Workers in Colombia and Germany. Int. J. Environ. Res. Public Health 2022, 19, 7259. https://doi.org/10.3390/ijerph19127259
Calvache Ruales MF, Westerhausen S, Zapata Gallo HA, Strehl B, Naza Guzman SD, Versteeg H, Stöppelmann W, Wittlich M. UVR Exposure and Prevention of Street Construction Workers in Colombia and Germany. International Journal of Environmental Research and Public Health. 2022; 19(12):7259. https://doi.org/10.3390/ijerph19127259
Chicago/Turabian StyleCalvache Ruales, Mayra F., Stephan Westerhausen, Hernan A. Zapata Gallo, Benjamin Strehl, Sergio D. Naza Guzman, Helmut Versteeg, Wiho Stöppelmann, and Marc Wittlich. 2022. "UVR Exposure and Prevention of Street Construction Workers in Colombia and Germany" International Journal of Environmental Research and Public Health 19, no. 12: 7259. https://doi.org/10.3390/ijerph19127259
APA StyleCalvache Ruales, M. F., Westerhausen, S., Zapata Gallo, H. A., Strehl, B., Naza Guzman, S. D., Versteeg, H., Stöppelmann, W., & Wittlich, M. (2022). UVR Exposure and Prevention of Street Construction Workers in Colombia and Germany. International Journal of Environmental Research and Public Health, 19(12), 7259. https://doi.org/10.3390/ijerph19127259

