Abstract
Maintenance of positive psychological conditioning can be a key factor in eliciting high human performance. In particular, perception of error forms a causal relationship with challenges regarding task performance. Therefore, this study aimed to investigate the mediation effect of expectancy value in the relationship between the perception of error and challenge using the Phantom Model through quantitative research. This study analyzed the causal relationship between perception of error, expectancy value, and challenge in 423 young Taekwondo athletes. Frequency analysis, confirmatory factor analysis, correlation analysis, and structural equation modeling were performed on the collected data using Jamovi 1.0.1 and AMOS 23.0 statistical programs to verify the hypothesis. The challenge demonstrated a significant difference in relation to the perception of error. These results demonstrated that the perception of error not only directly affected one’s challenge but also explained the increased challenge by mediating expectations for success and subjective values. Hence, the positive perception of error increased the athletes’ expectancy value and challenge.
1. Introduction
Mistakes are perceived negatively because they cause negative emotions that require continuous adjustment []. Recently, mistakes were reported as a concomitant process for future growth, and the importance of attitudes toward mistakes and the method of interpreting mistakes were highlighted [,,]. Perception of error, which is presented as a multidimensional concept (cognitive, emotional, behavioral), refers to an individual’s cognitive and motivational tendency to perceive and accept mistakes []. According to the error-driven learning theory, mistakes are inevitable in the learning process [,], although using them positively can improve learning outcomes. Moreover, evidence supporting the justification for error perception in sports is presented [,].
Mistakes that occur in sports have been suggested to directly or indirectly affect the players’ cognitive and physical anxiety, negative emotions, and optimal level of arousal []. Where a negative perception of error causes burnout in athletes, positive acceptance of mistakes is mentioned as a major factor that increases grit [], which refers to a person’s perseverance and enthusiasm for overcoming adversity []. However, accumulated data on how the role and characteristics of perception of error affect athletes are lacking. Thus, continuously considering the causal model for the perception of error is necessary [].
The expectancy-value theory can be embedded in this context as a specific variable explained by the perception of error [,]. This theory describes the increases in the probability of achievement of individual behavioral characteristics and goals [], which directly affect one’s motivation for achievement and performance, as well as task selection []. This expectancy value is a belief about how well an individual performs a given task. Thus, it is represented by the “expectation” for success, which refers to an individual’s cognitive motivation for the present and future, and “value,” which refers to characteristics that satisfy various needs, such as fun and pleasure, the importance of success, and sacrifice that accompanies training []. Furthermore, it is an important factor that promotes the desire and challenge for task performance and changes not only the motivational aspect but also the cognitive and behavioral disposition of an individual [,,].
Immersion and a positive psychological state are formed when the perceived levels of challenge and skill that an individual experiences in a specific activity or task are balanced []. This challenge is important because it is closely related to the achievement of goals, expectations of results, and grit. Thus, the challenge acts as a mechanism to promote the attributes related to personal success [,].
Siong et al. [] emphasized expectancy value as an important factor in promoting confidence, challenge, and motivation. Considering this theoretical background, perception of error may have a direct effect on expectancy value and the challenge, and expectancy value may also have a direct effect on the challenge. However, since most existing studies analyzing the relationship between error perception, expectancy value, and challenge reported only a one-dimensional relationship between independent and dependent variables to which regression analysis was applied, cases in which three variables are simultaneously set in the model and analyzed are limited.
Taekwondo athletes are required to select various offensive and defensive playing skills and tactics, and the psychological burden becomes an important factor in the training process for performance improvement and tactical preparation. There is a particularly large room for individual differences in error perception due to the psychological atrophy experienced by young Taekwondo athletes as their performances lead to their future careers. Thus, examining how the perception of error changes the expectancy value and challenge is meaningful, as it can be used as basic data for tactical preparation to improve the psychological and behavioral skills of young Taekwondo athletes.
Accordingly, this study aimed to derive a causal model in which three variables were simultaneously controlled while utilizing the advantages of latent variables by applying structural equation modeling (SEM) []. In the investigation of the causal relationship between the three variables, research on the perception of error has focused mainly on the importance of the latter in the field of education, so research in the field of sports is insufficient. Therefore, this study investigated whether error perception could be applied as an antecedent variable for improving athletes’ expectations and challenges. We hypothesized that perception of error would affect the expectancy value and challenge and that the expectancy value would function as a mediating variable in the model.
2. Materials and Methods
2.1. Participants
This study complied with the STROBE (Strengthening the Reporting of Observational Studies in Epidemiology) checklist. The participants of our study involved middle and high school Taekwondo athletes who participated in the domestic Taekwondo competition in the Republic of Korea. Data were collected from 450 people using convenience sampling. The survey was conducted for nine days, from 10 to 18 May 2020. Of these 450 individuals, data from 423 athletes were used in the final analysis after excluding 27 whose responses were deemed insincere or partially omitted. Prior to the study initiation, informed consent was obtained from all the participants, and the study design was approved by the institutional review board. All procedures and protocols were performed in accordance with ethical standards in studies involving human participants. Additionally, all questionnaire data in this study were processed anonymously for ethical reasons, and the study complied with all coronavirus disease guidelines. The specific demographic characteristics of the participants are listed in Table 1.

Table 1.
Characteristics of the participants.
2.2. Measurement Tools
A structured questionnaire was used as a measurement tool. The detailed questionnaire consisted of 35 questions across four areas as follows: three questions on the demographic characteristics of the participants, seventeen on the perception of error, eight on expectancy value, and seven on challenge. Here, content validity was reviewed by a group of experts (one professor each from a Taekwondo major, a measurement evaluation, and a high school Taekwondo coach). Subsequently, to present evidence of construct validity and internal consistency of each scale, a confirmatory factor analysis (CFA) using maximum likelihood (ML) estimation and reliability analysis using Cronbach’s ɑ coefficient was performed, as summarized in Table 2. The index of fit of the CFA model was determined using the χ2 test, Tucker–Lewis Index (TLI, >0.90), comparative fit index (CFI, >0.90), root mean square error of approximation (RMSEA, <0.08), and standardized root mean square residual (SRMR, <0.08) [], and the responses of all scales were evaluated on a five-point Likert scale.

Table 2.
Confirmatory factor analysis and reliability analysis of perception of errors, expectancy value, and challenge.
2.2.1. Perception of Error
In order to measure perception of error, four questions about learning about mistakes, four about challenging mistakes, four about the burden of mistakes, and five about reviewing mistakes were devised based on the Error Orientation Questionnaire developed by Rybowiak et al. [], which was adapted specifically for young Taekwondo athletes and verified for its quality and validity by Seo et al. []. Furthermore, four items (#9, #10, #11, #12) on the burden of mistakes as a subfactor of perception of error were reverse-coded (R). After performing a CFA for perception of error, the fit indices were χ2 = 144, df = 62, TLI = 0.968, CFI = 0.975, RMSEA = 0.056, and SRMR = 0.036, and the reliability was >0.80 for all factors (Table 2).
2.2.2. Expectancy Value
In order to measure the expectancy value, four questions, each regarding subjective value and expectations for success, were devised based on the Self- and Task-Perception Questionnaire developed by Eccles et al. [] that was adapted by Park et al. [] to suit the Korean culture. The CFA for expectancy value demonstrated that the fit indices were χ2 = 70.9, df = 19, TLI = 0.956, CFI = 0.970, RMSEA = 0.080, and SRMR = 0.050, and the reliability was >0.80 for all factors (Table 2).
2.2.3. Challenge
Five single-factor questions to measure the challenge were devised based on the Student Perceptions of Classroom Quality challenge scale developed by Gentry et al. in 2004, which was adapted by Lee et al. [] to suit the Korean culture and the questionnaire items that Sim et al. [] verified regarding suitability for athletes. The CFA for the challenge revealed that the fit indices were χ2 = 36.8, df = 9, TLI = 0.986, CFI = 0.977, RMSEA = 0.076, and SRMR = 0.018, and the reliability was >0.90 for all factors (Table 2). Thus, the measures of perception of error, expectancy value, and challenge applied in this study were found to satisfy the construct validity, and the reliability in terms of internal consistency was also found to be high.
2.3. Data Analysis
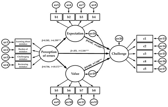
The data collected in this study were processed using Jamovi 2.0 (IBM, New York, NY, USA) and AMOS 23.0 (IBM, New York, NY, USA), and the significance level was set to 0.05. Frequency analysis was performed to investigate demographic characteristics, and the CFA and Cronbach’s ɑ coefficient were calculated to examine the validity and reliability of the scales. Furthermore, the basic assumption of normality (skewness ± 3, kurtosis ± 7) [] was reviewed prior to the SEM, and the hypothesis was verified by sequentially reviewing the measurement and structural models. Correlation analysis was performed to verify the discriminant validity of the perception of errors (learning about mistakes, the burden of mistakes, challenging mistakes, reviewing mistakes), expectation (expectation for success), value (subjective values), and challenge. All correlation coefficients were judged to not overlap the concept of variables when the multicollinearity criterion was less than 0.80 []. The bootstrap [] method was used to verify whether the indirect effect (mediation effect) of the expectancy value in the relationship between perception of error and sense of challenge was statistically significant. At this time, 2000 repetitions were conducted, and statistical significance was confirmed at a bias-corrected 95% confidence interval. Since the mediation effect established in this study corresponds to a multiple mediation model, each indirect effect must be estimated separately. However, only the bootstrapping of the AMOS total indirect effect is presented as an estimate []. In order to solve this, the Phantom Model approach was applied as follows: the Phantom Model includes phantom variables in the model to estimate indirect effects and restricts the non-standardized coefficients of the original model to be the same as those of the Phantom Model so that the total effect of this model can be estimated as the indirect effect of the original model (Figure 1). Furthermore, the coefficients of the original model are fixed even if they are converted to the Phantom Model. Hence, even if the Phantom Model is input to the set path model, the fit indices of χ2, df, TLI, CFI, RMSEA, and SRMR are equally calculated []. For the statistical significance of the mediation effects, the bootstrapping method with a bias-corrected 95% confidence interval was applied [], and a Phantom Model was established to estimate individual indirect effects [].

Figure 1.
Structural equation modeling (SEM) analysis results. uv = unobserved variables, Pe = perception of errors, Ex = expectation, Va = values.
3. Results
3.1. Normality Test
Since the estimation of the measurement and structural models were set using the ML estimation in this study, normality, which is the basic assumption of ML estimation, was reviewed (Table 3). Hence, skewness was observed to be between −0.085 and 0.304, and kurtosis ranged from −0.964 to 0.618, indicating that the threshold was satisfied [].

Table 3.
Normality test.
3.2. Correlation Analysis
Correlation analysis was performed to verify the discriminant validity between major variables (Table 4). The detailed results of the correlation analysis are as follows: learning about mistakes, a subfactor of perception of error, was positively correlated with expectations for success (r = 0.312, p < 0.01), subjective values (r = 0.448, p < 0.01), and challenge (r = 0.501, p < 0.01). Challenging mistakes, a subfactor in the perception of error, was positively correlated with expectations for success (r = 0.299, p < 0.01), subjective values (r = 0.532, p < 0.01), and challenge (r = 0.573, p < 0.01). Burden of mistakes, a subfactor of perception of error, was positively correlated with subjective values (r = 0.098, p < 0.05), although it did not have a significant effect on expectations for success and challenge. Furthermore, reviewing mistakes, a subfactor of perception of error, was positively correlated with expectations for success (r = 0.197, p < 0.01), subjective values (r = 0.464, p < 0.01), and challenge (r = 0.502, p < 0.01). Expectations for success and subjective values, which are subfactors of expectancy value, were positively correlated with challenge (r = 0.701, p < 0.01) (r = 0.440, p < 0.01), respectively. Moreover, all correlations between major variables were below the multicollinearity criterion of 0.80, indicating no multicollinearity problem [].

Table 4.
Analysis of correlation between variables.
3.3. Validation of the Measurement Model
Based on the report by Anderson et al. [], measurement model validation was performed before structural model validation. The fit indices were as follows: χ2 = 238.885, df = 0.98, TLI = 0.959, CFI = 0.966, RMSEA = 0.058, and SRMR = 0.052 (Table 5), indicating a satisfactory fit of the measurement model. The standardization coefficient in which the latent variable explained the measured variable was ≥0.733, suggesting an excellent explanatory power of the measured variable [].

Table 5.
Measurement model path.
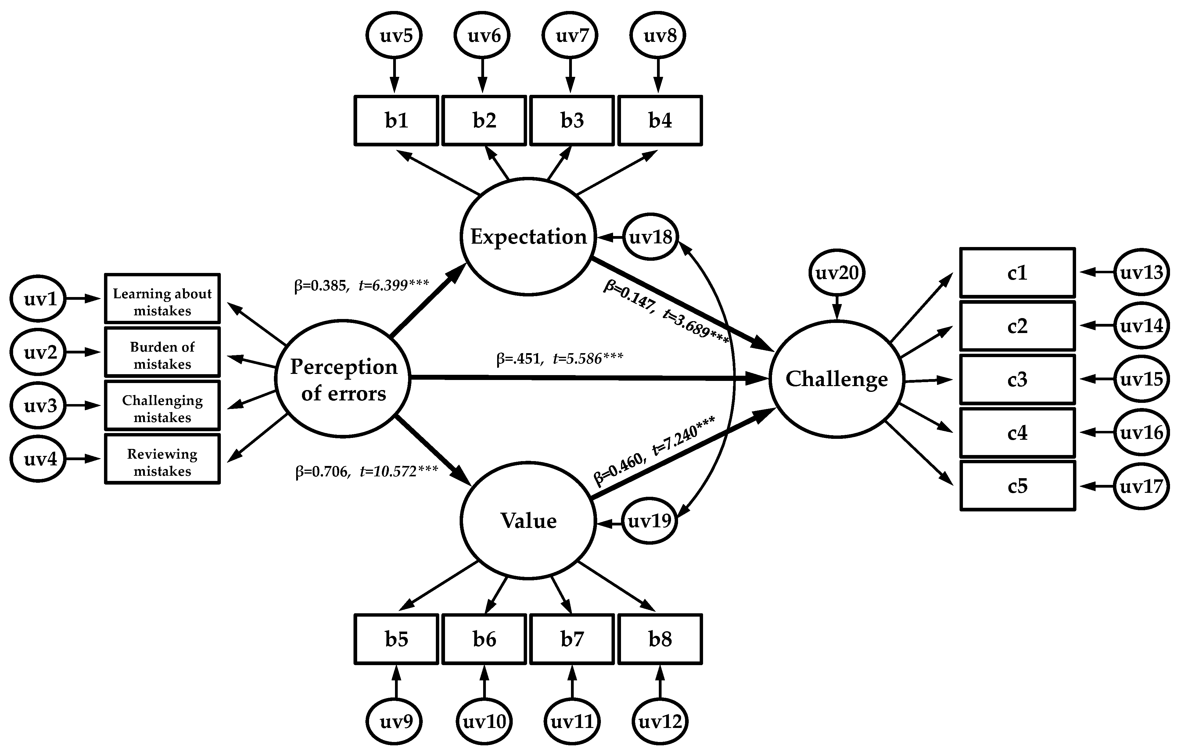
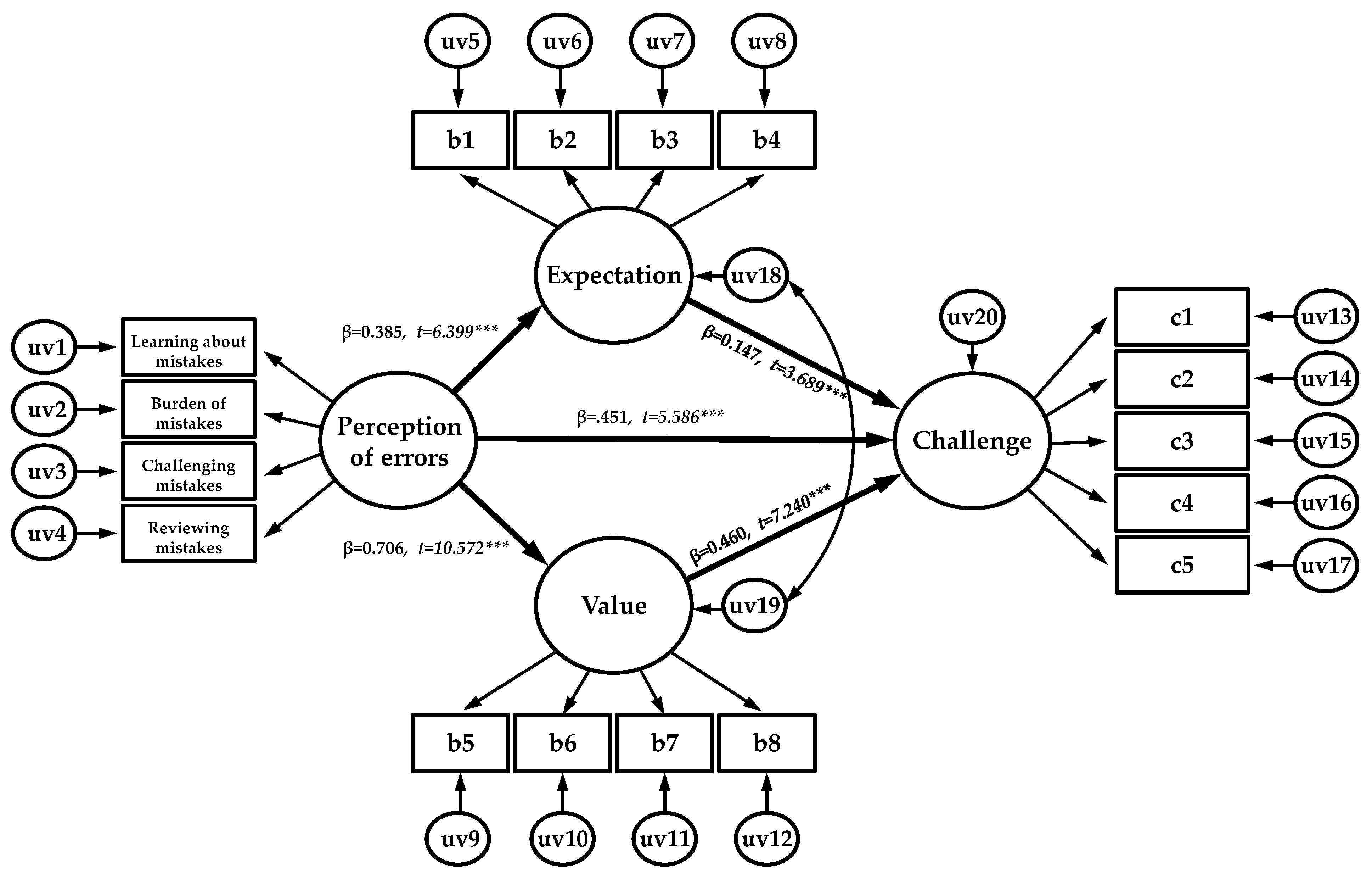
3.4. Validation of the Structural Model
In order to test our hypothesis regarding the causal relationship between perception of error, expectancy value, and challenge, a statistical model with the perception of error as an exogenous variable, expectancy value as an endogenous variable, and challenge as an endogenous and final dependent variable, was constructed (Figure 2), and structural model validation was conducted (Table 6). The fit indices of the model were subsequently as follows: χ2 = 238.885, df = 0.98, TLI = 0.959, CFI = 0.966, RMSEA = 0.058, and SRMR = 0.052, indicating that the fit criteria were met []. The specific hypothesis test results were as follows: an examination of the effect of perception of error on expectancy revealed that perception of error had a significant positive effect on expectancy (β = 0.385, p < 0.001). Examination of the effect of perception of error on value revealed that perception of error had a significant positive effect on value (β = 0.706, p < 0.001). Examination of the effect of perception of error on challenge revealed that perception of error had a significant positive effect on challenge (β = 0.367, p < 0.001). Examining the result of expectancy and value on challenge revealed that both expectancy and value had significant effects on the challenge (β = 0.147, p < 0.001) (β = 0.460, p < 0.001), respectively.

Figure 2.
Structural equation modeling (SEM) analysis results. χ2 = 238.885, df = 98, TLI = 0.959, CFI = 0.966, RMSEA = 0.058, SRMR = 0.052. *** p < 0.001. uv = unobserved variables.

Table 6.
Structural equation modeling (SEM) analysis result.
Based on the above results, perception of error was identified as an antecedent variable that promoted expectancy value and challenge, and expectancy value functioned as a mediating variable that could directly or indirectly affect or be affected by the perception of error. Thus, the path effect of the three variables (perception of error, expectancy-error, and challenge) had a significant effect, verifying the statistical significance of the indirect effect (mediation effect).
3.5. Validation of Mediation Effect Using Phantom Variables
As a result of analyzing individual indirect effects and statistical significance by applying the Phantom Model in this study (Table 7), expectancy (p < 0.003) and value (p < 0.001) were both significant in terms of the relationship between perception of error and challenge. Therefore, perception of error may not only directly affect the challenge but also indirectly affect it through a mediating effect on expectations for success and subjective values. Hence, recognizing the perception of error as an accompanying opportunity for growth is important to enhance the expectancy value and challenge in young Taekwondo athletes.

Table 7.
Individual indirect effect verification results using the Phantom Model.
4. Discussion
This study set the expectancy value as a mediating variable in the relationship between perception of error and challenge by analyzing data from 423 young Taekwondo athletes to investigate the relationship between the three variables (perception of error, expectancy value, and challenge). We identified perception of error as an antecedent variable that promoted expectancy value and challenge, and the expectancy value was considered a variable that affected and was affected by the perception of error and challenge. Furthermore, perception of error not only had a direct effect on the challenge but also explained the challenge through a mediating effect on the expectation for success and subjective values.
Examining the effect of perception of error on expectancy revealed that the perception of error increased expectations at a significant level. This supports the results of previous studies, which reported that a positive perception of error acts as a mechanism to promote the expectations for success [,]. Anshel and Moran [,] mentioned the importance of a positive mindset because failure and mistakes are essential experiences to achieving victory. This can be interpreted in the same context as the research results, which argued that mistakes are an accompanying step in athletes’ success. However, young athletes may have difficulty in perceiving mistakes positively because even if the coach emphasizes the importance of a positive perception of error for young athletes, expecting change can be difficult unless the psychological characteristics of the athletes change. Moreover, owing to the competitive nature of sports, being compared to other athletes can lead to a more negative view of mistakes. Thus, coaches should consider both the individual characteristics of the players and the circumstantial aspects for the young athletes to recognize their mistakes as a positive aspect, and efforts should be made to improve the athletes’ perception of error by creating a process-oriented atmosphere rather than a competition-oriented atmosphere.
Examining the effect of perception of error revealed that it increased values at a significant level. This supports the results of previous studies, which reported that perception of error and subjective values were closely related [,,]. Kim et al. [] reported significant individual differences in value depending on whether the direction of interpreting a mistake was positive or negative, and Weiner [] suggested that if a mistake was interpreted negatively, the value of continuing with training was also reduced. Therefore, if mistakes are perceived negatively, the value of participation or maintenance of training is reduced, eventually decreasing performance or motivation. Thus, coaches should understand which factors the athletes place more value on and provide informational feedback accordingly. Efforts should further be made to promote the correct values that athletes should pursue by providing feedback that incorporates the values pursued, focusing on individual skill proficiency rather than solely on victory. A learning approach toward acceptance of mistakes rather than avoidance should be encouraged
Examining the effect of perception of error on the challenge revealed that perception of error increased the challenge at a significant level. This supports the results of previous studies, which reported that a positive perception of error acted as a mechanism to promote the desire for challenge [,,]. Dweck et al. [] mentioned the importance of perceiving mistakes positively to promote the desire for challenge. Since the latter acts as a factor in alleviating athletes’ slumps, it can be interpreted in the same context as the research results of Gray [], who argued the importance of perceiving mistakes as an opportunity for growth. Hence, it is important for athletes to perceive their mistakes positively to cultivate a desire for challenge []. This is because the perception of error is known to be deeply related to self-efficacy, which is closely related to the challenge. Increasing the athletes’ self-efficacy can be interpreted as an important factor that can improve the perception of error in a positive direction. Therefore, competent coaching ability is required to reduce the burden of mistakes through the experience of success by presenting an appropriate level of task difficulty to the athletes and cultivating a desire for challenge by encouraging an active attitude.
Examining the effect of expectation on the challenge revealed that expectation increased the challenge at a significant level. This supports the results of previous studies, which reported that positive expectations for success served as a psychological mechanism to foster a challenging attitude toward tasks [,,]. Butler et al. [] reported that expectations for success and challenging attitude were very closely related to each other and could be interpreted in the same context as the research results of Bali et al. [], who argued that constant challenge was important to achieve one’s selected goals in competitive sports. Furthermore, aiming for a positive attitude is important because the expectation for success can give meaning to an individual’s experiential domain and promote motivation for participation in tasks [,]. The expectation for success can therefore induce the intrinsic motivation of Taekwondo athletes, thereby encouraging a challenging attitude toward a task. Therefore, coaches must identify factors that lower the psychological attributes through systematic consultation with the athletes in advance, to allow them to form positive psychological attributes and training methods for increasing their performance. Young athletes need the ability to examine their own mistakes through video analysis of training and game situations.
Examining the effect of value on the challenge demonstrated that value increased the challenge at a significant level. This supports the results of previous studies, which reported that value acted as a factor in increasing intrinsic motivation [,]. This result can be interpreted in the same context as the research results of Cox et al. [], who reported that athletes’ sense of identity acted as a factor promoting various positive values (performance, interest, and usefulness). Thus, the athletes’ sense of identity fosters positive values, through which they can persevere even in challenging situations.
Considering the path effect of expectations and values, they could be considered the main factors in determining athletes’ challenge. Weiss [] argued that these two factors determined the level of commitment of athletes. Thus, it is important for coaches to help athletes establish positive expectations and correct values for performance. This study, in which expectancy and value were identified as significant variables in the relationship between perception of error and challenge, also supports this result. Moreover, perception of error had a particularly greater indirect effect on the challenge when mediated by values compared to when mediated by expectations. This suggests that the process by which perception of error affects the challenge, the value of the task to be challenged, and whether it arouses interest to play more important roles than the expectation of being able to complete the task well.
Our study had the following limitations: although the sample of this study was representative of youth Taekwondo players, convenience sampling had to be carried out due to difficulties in running and conducting the competition. In a follow-up study, it is necessary to use random sampling to reflect the general characteristics of youth Taekwondo players’ careers. In addition, although the perception of errors explained expectation, value, and challenge, this study did not consider variables that could reinforce the perception of errors or conduct interviews with coaches or players. Due to the limited discussion on how to increase the recognition of mistakes, it is necessary to consider various variables that explain it in follow-up studies while conducting qualitative research that can determine them phenomenologically.
5. Conclusions
The following hypotheses were verified by applying SEM based on the collected data: first, examining the effect of perception of error on expectancy confirmed that the perception of error had a positive effect on expectancy. Second, perception of error had a positive effect on value. Third, examining the effect of perception of error on the challenge confirmed that perception of error had a positive effect on the challenge. Fourth, examining the effect of expectancy on the challenge confirmed that expectancy had a positive effect on the challenge. Fifth, examining the effect of values on the challenge confirmed that values had a positive effect on the challenge. Last, the expectancy value had a significant mediation effect on the relationship between the perception of error and challenge. Therefore, a positive perception of error not only raises expectancy value but also enhances the challenge.
Author Contributions
Conceptualization, Y.K.S. and E.C.S.; methodology, Y.K.S. and E.C.S.; software, E.C.S.; validation, Y.K.S. and M.-S.H.; formal analysis, E.C.S.; investigation, H.H.K. and J.H.S.; resources, J.H.S.; data curation, E.C.S.; writing—original draft preparation, Y.K.S., E.C.S. and M.-S.H.; writing—review and editing, M.-S.H.; visualization, Y.K.S. and M.-S.H.; supervision, Y.K.S.; project administration, E.C.S. and M.-S.H.; funding acquisition, Y.K.S. and M.-S.H. All authors have read and agreed to the published version of the manuscript.
Funding
This research received no external funding.
Institutional Review Board Statement
The study was conducted according to the guidelines of the Declaration of Helsinki.
Informed Consent Statement
Informed consent was obtained from all subjects involved in the study. Written informed consent was also obtained from the subjects and parents to publish this paper.
Data Availability Statement
The authors declare that all data and materials are available to be shared on a formal request.
Conflicts of Interest
The authors declare no conflict of interest.
References
- Studies on Nurses’ Engagement in Error-Related Learning Activities, University of Regensburg, Germany. Available online: chrome-extension://efaidnbmnnnibpcajpcglclefindmkaj/https://epub.uni-regensburg.de/10748/1/diss_veroeff_endversion.pdf (accessed on 31 December 2008).
- Fiori, C.; Zuccheri, L. An experimental research on error patterns in written subtraction. Educ. Stud. Math. 2005, 60, 323–331. [Google Scholar] [CrossRef]
- Rybowiak, V.; Garst, H.; Frese, M.; Batinic, B. Error Orientation Questionnaire (EOQ): Reliability, validity, and different language equivalence. Int. J. Ind. Occup. Organ. Psychol. Behav. 1999, 20, 527–547. [Google Scholar] [CrossRef]
- Wuttke, E.; Seifried, J. Learning from Errors at School and at Work; Verlag Barbara Budrich: Leverkusen, Germany, 2012. [Google Scholar]
- Joung, W.; Hesketh, B.; Neal, A. Using “War Stories” to train for adaptive Performance: Is it Better to Learn from Error or Success? Appl. Psychol. 2006, 55, 282–302. [Google Scholar] [CrossRef]
- Santagata, R. Practices and beliefs in mistake-handling activities: A video study of Italian and US mathematics lessons. Teach. Teach. Educ. 2005, 21, 491–508. [Google Scholar] [CrossRef]
- Lee, S.; Kwon, S.; Kim, Y.S.; Lee, D. The effect of adolescent athletes’ achievement goal orientation and perception of error on their sport-confidence. Int. J. Sports Sci. Coach. 2020, 16, 646–657. [Google Scholar] [CrossRef]
- Weinberg, R.S.; Robert, S.; Gould, D. Foundations of Sport and Exercise Psychology, 7th ed.; Human Kinetics: Champaign, IL, USA, 2018; ISBN 978-1492570592. [Google Scholar]
- Kim, S.Y.; Sim, Y. Relationship among perception of errors, burnout and withdrawal motivation in high school Taekwondo athletes. Taekwondo J. Kukkiwon 2020, 11, 81–100. [Google Scholar] [CrossRef]
- Sim, Y.-K.; Seo, E.-C.; Kim, U. Relationship among achievement goal, perception of errors and grit of Taekwondo athletes in middle and high schools. J. World Soc. Taekwondo Cult. 2020, 11, 269–284. [Google Scholar] [CrossRef]
- Kim, M.H.; Marulis, L.M.; Grammer, J.K.; Morrison, F.J.; Gehring, W.J. Motivational processes from expectancy-value theory are associated with variability in the error positivity in young children. J. Exp. Child Psychol. 2017, 155, 32–47. [Google Scholar] [CrossRef] [Green Version]
- Anshel, M.H.; Mark, H. In Praise of Failure: The Value of Overcoming Mistakes in Sports and in Life; Rowman & Littlefield Publishers: Washington, DC, USA, 2016; ISBN 1442251573. [Google Scholar]
- Burlot, F.; Richard, R.; Joncheray, H. The life of high-level athletes: The challenge of high performance against the time constraint. Int. Rev. Sociol. Sport 2018, 53, 234–249. [Google Scholar] [CrossRef]
- Eccles, J.S.; Wigfield, A. From expectancy-value theory to situated expectancy-value theory: A developmental, social cognitive, and sociocultural perspective on motivation. Contemp. Educ. Psychol. 2020, 61, 101859. [Google Scholar] [CrossRef]
- Cox, A.E.; Whaley, D.E. The influence of task value, expectancies for success, and identity on athletes’ achievement behaviors. J. Appl. Sport Psychol. 2004, 16, 103–117. [Google Scholar] [CrossRef]
- Gao, Z.; Lee, A.M.; Harrison, L. Understanding students’ motivation in sport and physical education: From the expectancy-value model and self-efficacy theory perspectives. Quest 2008, 60, 236–254. [Google Scholar] [CrossRef]
- Csikszentmihalyi, M. Flow: The Psychology of Optimal Experience, 1st ed.; Harper Perennial Modern Classics: New York, NY, USA, 2008. [Google Scholar]
- Von Culin, K.R.; Tsukayama, E.; Duckworth, A.L. Unpacking grit: Motivational correlates of perseverance and passion for long-term goals. J. Posit. Psychol. 2014, 9, 306–312. [Google Scholar] [CrossRef] [PubMed]
- Siong, C.N.; Wah, T.E.; Kuan, G.; Yi, T.P. Adolescent athletes’ expectancy beliefs, task values and types of motivation in sports. Pertanika J. Soc. Sci. Hum. 2019, 27, 193–206. [Google Scholar]
- Kline, R.B. Principles and Practice of Structural Equation Modeling, Fourth Edition (Methodology in the Social Sciences), 4th ed.; The Guilford Press: New York, NY, USA, 2015. [Google Scholar]
- Seo, E.-C.; Sim, Y. Item goodness verification of real perception scale using Rasch model: For Taekwondo athletes. J. World Soc. Taekwondo Cult. 2020, 11, 265–279. [Google Scholar]
- Park, J.; Kim, K.-H. Understanding the relationships between athletic identity and achievement behavior using expectancy-value model: Multi-group analysis across sport type and career. Korean Soc. Sport Psychol. 2012, 23, 181–196. [Google Scholar]
- Lee, S.; Chae, Y. The effects of students’ perceptions of classroom on self-regulations strategy use, persistent intention, and achievement in a context of online science gifted education program. J. Gift. Educ. 2016, 26, 365–387. [Google Scholar]
- Sim, Y.; Seo, E. Item goodness-of-fit and reality acceptance of challenge scale for elite athletes. Korean J. Wellness 2021, 16, 204–209. [Google Scholar] [CrossRef]
- Shrout, P.E.; Bolger, N. Mediation in experimental and nonexperimental studies: New procedures and recommendations. Psychol. Methods 2002, 7, 422–445. [Google Scholar] [CrossRef]
- Macho, S.; Ledermann, T. Estimating, testing, and comparing specific effects in structural equation models: The phantom model approach. Psychol. Methods 2011, 16, 34–43. [Google Scholar] [CrossRef]
- Anderson, J.C.; Gerbing, D.W. Structural equation modeling in practice: A review and recommended two-step approach. Psychol. Bull. 1988, 103, 411–423. [Google Scholar] [CrossRef]
- Schoemaker, P.J.H. Brilliant Mistakes: Finding Success on the Far Side of Failure; Wharton School Press: Philadelphia, PA, USA, 2011; ISBN 1613630123. [Google Scholar]
- Moran, A. Sport and Exercise Psychology: A Critical Introduction; Routledge: London, UK, 2013; ISBN 9780203127650. [Google Scholar]
- Kapur, M. Examining productive failure, productive success, unproductive failure, and unproductive success in learning. Educ. Psychol. 2016, 51, 289–299. [Google Scholar] [CrossRef]
- Weiner, B. The development of an attribution-based theory of motivation: A history of ideas. Educ. Psychol. 2010, 45, 28–36. [Google Scholar] [CrossRef]
- Subramanyam, V. Building self-confidence in athletes. Indian J. Posit. Psychol. 2013, 4, 372. [Google Scholar]
- Dweck, C.S.; Walton, G.M.; Cohen, G.L. Academic Tenacity: Mindsets and Skills that Promote Long-Term Learning; Bill & Melinda Gates Foundation: Seattle, WA, USA, 2014; ISBN 979-8605466086. [Google Scholar]
- Gray, R. Embodied perception in sport. Int. Rev. Sport Exerc. Psychol. 2014, 7, 72–86. [Google Scholar] [CrossRef]
- Shin, J.; Kim, M.-S.; Choi, B.; Park, J.; Kim, J.-B. The effects of creative self-efficacy on perception of errors and creative performance: The moderating role of challenge goal. J. Creat. Educ. 2018, 18, 1–21. [Google Scholar] [CrossRef]
- Barrell, J.J.; Ryback, D. Psychology of Champions: How to Win at Sports and Life with the Focus Edge of Super-Athletes; Praeger Publishers: Westport, CT, USA, 2008; ISBN 9780313354373. [Google Scholar]
- Butler, R. Sports Psychology in Action, 1st ed.; CRC Press: Boca Raton, FL, USA, 2020; ISBN 978-0750624367. [Google Scholar]
- Bali, A. Psychological factors affecting sports performance. Int. J. Phys. Educ. Sport. Heal. 2015, 1, 92–95. [Google Scholar]
- Eccles, J.C. Evolution of the Brain: Creation of the Self, 1st ed.; Routledge: London, UK, 2005. [Google Scholar]
- Goldman, J.; Heddy, B.C.; Cavazos, J. First-generation college students’ academic challenges understood through the lens of expectancy value theory in an introductory psychology course. Teach. Psychol. 2020, 49, 37–48. [Google Scholar] [CrossRef]
- Clement, D.; Arvinen-Barrow, M.; Fetty, T. Psychosocial responses during different phases of sport-injury rehabilitation: A qualitative study. J. Athl. Train. 2015, 50, 95–104. [Google Scholar] [CrossRef] [Green Version]
- Putwain, D.; Remedios, R.; Symes, W. The appraisal of fear appeals as threatening or challenging: Frequency of use, academic self-efficacy and subjective value. Educ. Psychol. 2016, 36, 1670–1690. [Google Scholar] [CrossRef]
- Weiss, W.M. Sport commitment profiles: The role of expectancies for success and task value. J. Sport Behav. 2020, 43, 245–469. [Google Scholar]
Publisher’s Note: MDPI stays neutral with regard to jurisdictional claims in published maps and institutional affiliations. |
© 2022 by the authors. Licensee MDPI, Basel, Switzerland. This article is an open access article distributed under the terms and conditions of the Creative Commons Attribution (CC BY) license (https://creativecommons.org/licenses/by/4.0/).